Sponsor: Alexion Pharma GmbH
Indication: For the treatment of adult patients with anti-acetylcholine receptor antibody-positive generalized Myasthenia Gravis
This multi-part report includes:
AChEI
acetylcholinesterase inhibitor
AChR
acetylcholine receptor
AE
adverse event
CDEC
CADTH Canadian Drug Expert Committee
CI
confidence interval
DB
double blind
EQ-5D-5L
5-Level EQ-5D
EQ VAS
EQ visual analogue scale
FAS
full analysis set
gMG
generalized myasthenia gravis
HRQoL
health-related quality of life
ICU
intensive care unit
IPW
inverse propensity weighting
IST
immunosuppressive therapy
ITC
indirect treatment comparison
IVIg
IV immunoglobulin
LSM
least squares mean
MAIC
matching-adjusted indirect comparison
MCMC
Markov chain Monte Carlo
mFAS
modified full analysis set
MG
myasthenia gravis
MG-ADL
Myasthenia Gravis Activities of Daily Living
MG-QoL15
Myasthenia Gravis Quality of Life 15-item scale
MG-QoL15r
Myasthenia Gravis Quality of Life 15-item scale - Revised
MGC
Myasthenia Gravis Composite
MGFA
Myasthenia Gravis Foundation of America
MGFA-PIS
Myasthenia Gravis Foundation of America Post-intervention Status
MID
minimal important difference
MMRM
mixed model of repeated measures
MMT
manual muscle test
Neuro-QoL
Quality of Life in Neurological Disorders
NMD4C
The Neuromuscular Disease Network for Canada
OL
open label
OR
odds ratio
PE
plasma exchange
PP
plasmapheresis
PPS
per-protocol set
QMG
Quantitative Myasthenia Gravis
RCT
randomized controlled trial
SAE
serious adverse event
SD
standard deviation
SEM
standard error of the mean
VAS
visual analogue scale
WDAE
withdrawal due to adverse event
An overview of the submission details for the drug under review is provided in Table 1.
Item | Description |
|---|---|
Drug product | Ravulizumab (Ultomiris) for injection, 10 mg/mL and 100 mg/mL concentrate for solution for IV infusion |
Indication | For the treatment of adult patients with anti-AChR antibody–positive gMG |
Reimbursement request | As per indication |
Health Canada approval status | NOC |
Health Canada review pathway | Standard |
NOC date | January 6, 2023 |
Sponsor | Alexion Pharma GmbH |
AChR = acetylcholine receptor; gMG = generalized myasthenia gravis; NOC = Notice of Compliance.
Source: Sponsor’s drug reimbursement review submission for ravulizumab.1
Myasthenia gravis (MG) is an autoimmune disease in which antibodies against acetylcholine receptors (AChRs) or functionally associated molecules in the neuromuscular junction disrupt nerve impulse conduction, resulting in localized or generalized skeletal muscle weakness.2 In a minority of patients, symptoms remain restricted exclusively to the eyes (ocular MG), while most patients either are diagnosed with or progress within a few years to generalized myasthenia gravis (gMG), which affects the bulbar and other muscles.2,3 Symptoms of gMG include eyelid drooping and double vision, altered facial expression, difficulty chewing and swallowing food, difficulty speaking, and in patients with more severe disease, problems with limb movement and breathing;2,3 collectively, symptoms negatively impact health-related quality of life (HRQoL).4 The disease has a fluctuating natural history: MG exacerbation (an increase in symptoms in patients who were previously asymptomatic or minimally symptomatic) and myasthenic crisis (muscle weakness causing life-threatening difficulties with breathing and swallowing and requiring ventilator support) can occur gradually or without warning.5 In Canada, the incidence of MG is approximately 23 cases per 1 million population annually and its prevalence is approximately 263 cases to 320 cases per 1 million population.6-8 According to the clinical experts consulted by CADTH for this review, the prevalence worldwide, based on an average of epidemiological studies, may be slightly lower (approximately 100 cases to 200 cases per 1 million population).
According to the clinical experts consulted by CADTH for this review, gMG is initially treated symptomatically with acetylcholinesterase inhibitors (AChEIs) such as pyridostigmine. If this provides insufficient symptom relief, immunosuppressive therapy (IST) with corticosteroids is administered. Maximal responses typically occur 2 months to 6 months later, after which the slow tapering of corticosteroids is begun. In patients who do not respond to corticosteroids, who have significant comorbidities such that long-term corticosteroid treatment is contraindicated, or in whom doses of corticosteroids cannot be tapered, treatment with a steroid-sparing immunosuppressant and/or immunomodulatory drugs — including rituximab — may be initiated; access to steroid-sparing ISTs and rituximab varies by jurisdiction. Patients with severe gMG are often started on all 3 of pyridostigmine, corticosteroids, and a steroid-sparing drug simultaneously. In patients with moderate to severe gMG, IV immunoglobulin (IVIg), plasma exchange (PE), or plasmapheresis (PP) may be administered, either at the time of IST initiation, or to treat MG exacerbation or myasthenic crisis. Critical care, including intensive care unit (ICU) admission and ventilator support, may also be required for patients experiencing myasthenic crisis. Surgery (thymectomy) may also be considered in a small group of patients. As MG symptoms improve, doses of AChEIs, corticosteroids, and then other ISTs are reduced and the frequency of IVIg, PE, or PP is reduced until the minimal maintenance therapy required for remission is identified. Patients whose symptoms persist despite treatment with adequate doses of corticosteroids, other ISTs, and/or chronic IVIg, PE, or PP and patients for whom the doses or frequencies of these therapies cannot be reduced are considered to have refractory gMG (approximately 10% to 15% of patients). Patients with refractory gMG who are anti-AChR antibody–positive may soon be candidates for the complement inhibitor eculizumab. Eculizumab was recommended for reimbursement with conditions in 2020.9 However, funding is not yet in place; negotiation concluded without an agreement in December 2022.10
According to the clinical experts, the goal of treatment in most patients with gMG is to reduce disease symptoms as well as the adverse effects of MG therapy and to allow the patient to function and work normally with good HRQoL. Other goals of treatment include avoiding MG exacerbations and myasthenic crisis, minimizing hospitalizations and ICU admissions, and reducing the numbers and doses of therapies required for symptom control. The clinical experts consulted by CADTH for this review stated that most patients with gMG (more than 80%) will respond well to currently available treatments; although these cannot cure the disease, excellent symptom control is achieved in most patients and prognosis is generally good in terms of muscle strength and function as well as HRQoL. However, many of the patients with MG who respond well to currently available treatments in terms of their MG symptoms still experience treatment-related side effects, which may be severe.
Ravulizumab is a monoclonal antibody and terminal complement inhibitor that is supplied as a 10 mg/mL or 100 mg/mL concentrate and administered at a maintenance dosage of 3,000 mg to 3,600 mg by IV infusion every 8 weeks. The drug underwent standard review at Health Canada and received a Notice of Compliance on January 6, 2023. The relevant Health Canada indication is “for the treatment of adult patients with anti-AChR antibody–positive generalized Myasthenia Gravis (gMG).” The sponsor’s reimbursement request is the same as the Health Canada indication. The drug was previously reviewed by CADTH “for the treatment of adult patients with paroxysmal nocturnal hemoglobinuria (PNH)” and received a positive reimbursement recommendation from the CADTH Canadian Drug Expert Committee (CDEC) on March 2, 2022.11 Ravulizumab was also previously reviewed by CADTH “for the treatment of adult and pediatric patients one month of age and older with atypical hemolytic uremic syndrome (aHUS) to inhibit complement-mediated thrombotic microangiopathy (TMA)” and received a draft recommendation for reimbursement with conditions from CDEC on October 26, 2022.12
The objective of this report was to perform a systematic review of the beneficial and harmful effects of ravulizumab for the treatment of adult patients with anti-AChR antibody–positive gMG.
The information in this section is a summary of input provided by the patient groups that responded to CADTH’s call for patient input, by the clinician groups that responded to CADTH’s call for clinician input, and from clinical experts consulted by CADTH for the purpose of this review.
One patient group, Muscular Dystrophy Canada, provided input for this review. Information was collected from 149 individuals impacted by MG through a health care experience survey and semistructured phone or virtual interviews. These individuals consisted of 92 (61.7%) women and 57 (38.3%) men from all provinces of Canada, including 9 respondents from Quebec and 29 patients with a confirmed diagnosis of anti-AChR antibody–positive gMG; ages ranged from 23 years to 75 years. Half of patients (50%) recounted difficulties with MG diagnosis, including delays, misdiagnoses, and costs incurred. The patient group input highlighted the negative impacts of MG on daily activities and HRQoL, including fatigue and sleep disruptions, lack of strength and mobility, decreased independence and social participation, eyesight problems, difficulties with speech and swallowing, loss of employment and financial hardships, and mental health burdens for family members. The input also highlighted the potential benefits and side effects of currently available treatments, including prednisone (depression, weight gain, diabetes), pyridostigmine (diarrhea, nausea, jumpy legs), thymectomy (painful recovery), and IVIg (inconvenience of hospital administration). Respondents indicated that currently available therapies may decrease MG exacerbations but not their overall impact on HRQoL. Only 1 respondent had experience with ravulizumab and felt it had been helpful in improving their symptoms. Respondents identified an unmet need for new treatments that can decrease the intensity of MG exacerbations, allow them to maintain independence, and prevent hospitalization. Patients also desired treatments with minimal side effects and convenient administration (e.g., once daily oral administration, easy to swallow, fast onset, long duration of action, low cost) but indicated they would be willing to accept the side effects of new therapies that better control the consequences of MG.
Input was provided by 2 clinical specialists with expertise in the diagnosis and management of patients with anti-AChR antibody–positive gMG. The clinical experts explained that in some patients with gMG, symptom control can only be achieved by the chronic administration of IVIg every 1 to 4 weeks or cannot be achieved with any standard treatment (refractory gMG). For these patients, there are very few remaining options, including complement inhibitors. Some patients also experience side effects of currently available treatments that necessitate permanent discontinuation of the drug. The clinical experts stated that additional treatments are needed with more rapid onset of action, longer-lasting benefits, improved efficacy in patients with refractory gMG, and fewer side effects. According to the clinical experts, ravulizumab has a similar mechanism of action to eculizumab, which is rarely used and only in patients with refractory gMG; because of their distinct mechanism of action, ravulizumab and eculizumab may be used in combination with standard treatments. The clinical experts felt that there might also be a rationale for the use of either ravulizumab or eculizumab early in the disease course in patients with more severe disease in addition to or instead of other options (e.g., AChEIs, IST, IVIg, PE or PP), but acknowledged that at the moment, there are limited data to justify this approach. The clinical experts stated that because currently available standard treatments are generally effective in most patients, it would be difficult to recommend the early use of ravulizumab unless it was clearly more effective and/or pharmacoeconomically favourable compared with other options.
According to the clinical experts, candidates for ravulizumab (primarily patients with refractory gMG, as well as potentially those with severe but nonrefractory gMG) would be identified through the judgment of an expert neurologist based on clinical evaluation following serologic testing for anti-AChR antibodies and, potentially, following a chest CT to rule out thymoma and thymic carcinoma. The clinical experts stated that although patients with thymoma were excluded from the trials of complement inhibitors, there is no reason to believe that these patients could not benefit from these drugs. Response to ravulizumab would be assessed by monitoring patient symptoms and/or signs on clinical examination (e.g., the Myasthenia Gravis Activities of Daily Living [MG-ADL] assessment and/or Quantitative Myasthenia Gravis [QMG] score every 1 month to 3 months) and via reduction of other MG therapies (especially chronic IVIg). Clinically meaningful responses to ravulizumab would be reflected by improvements in disease symptoms (approximately 2 points for the MG-ADL score and approximately 3 points for the QMG score) as well as by the reduction of other treatments (e.g., chronic IVIg, PE or PP, rituximab) and hospitalizations. The drug would be discontinued in patients who do not achieve clinical improvement or are unable to reduce the numbers and doses of other MG therapies, in patients who experience worsening of MG symptoms requiring additional interventions, in patients who experience serious toxicities such as meningococcal infections, or by patient preference. However, the clinical experts also noted that in some patients, treatment with complement inhibitors, including ravulizumab, could be lifelong if this is required to achieve sustained clinical benefit. Ravulizumab would be prescribed by a neurologist with expertise in managing patients with MG and administered in a hospital setting or at an infusion clinic.
One clinician group, The Neuromuscular Disease Network for Canada (NMD4C), provided input for this review that reflected the views of 4 neurologists with experience in the management of patients with gMG. No major contrary views were presented that diverged from those provided by the clinical experts consulted by CADTH for this review. The clinician group reiterated that standard treatments for gMG are often transiently effective, may require relatively long treatment periods for benefits to be observed, may carry side effects, and may not be effective in all patients. NMD4C indicated that ravulizumab would be unlikely to cause a shift in the standard treatment paradigm for gMG and would be used as an add-on third-line therapy in patients with anti-AChR antibody–positive gMG who are not responsive to AChEIs and IST and require chronic IVIg, or PE or PP. The clinician group noted the more convenient administration of ravulizumab (every 8 weeks) compared with eculizumab (every 2 weeks).
The Formulary Working Group identified the following jurisdictional implementation issues that may impact its ability to implement a recommendation: relevant comparators, considerations for the initiation of therapy, considerations for the continuation or renewal of therapy, considerations for the discontinuation of therapy, considerations for the prescribing of therapy, care provision issues, and system and economic issues. The clinical experts consulted by CADTH for this review weighed evidence from the included study and other clinical considerations to provide responses to drug program implementation questions.
The CHAMPION trial (study identification number ALXN1210-MG-306, N = 175)13,14 was a phase III, double-blind (DB), multicentre, placebo-controlled randomized controlled trial (RCT) with an open-label (OL) extension period of up to 4 years. The primary objective of the CHAMPION trial was to evaluate the safety and efficacy of ravulizumab compared with placebo in complement inhibitor–naive adult patients with gMG. Following screening, adult patients with anti-AChR antibody–positive gMG (patients had to have a Myasthenia Gravis Foundation of America [MGFA] clinical classification15 of class II to class IV, an MG-ADL total score of 6 or more, and be nonthymomatous; there were no requirements for prior treatment experience or its outcome) were enrolled at 85 centres in 13 countries (5 sites in Canada) and randomized 1:1 to receive either a weight-based dose of ravulizumab (n = 86) or a matching placebo (n = 89) for 26 weeks. The primary outcome of the study was change from baseline in the MG-ADL total score at week 26 of the randomized controlled period, while secondary outcomes included the change from baseline in the QMG total score at week 26, the proportion of patients with improvements of 5 points or more in the QMG total score at week 26, the change from baseline in the Myasthenia Gravis Quality of Life 15-item scale – Revised (MG-QoL15r) score at week 26, the change from baseline in the Quality of Life in Neurological Disorders (Neuro-QoL) Fatigue score at week 26, and the proportion of patients with improvements of 3 points or more in the MG-ADL total score at week 26.
Patients’ baseline demographic and disease characteristics were generally well balanced across treatment arms; there were minor imbalances by race, age at MG diagnosis, age at first study drug infusion, MG type at diagnosis (ocular versus generalized), time to gMG from diagnosis among patients whose first presentation was ocular MG, MGFA clinical classification, and prior corticosteroid use. The mean age at first infusion in the overall study population was 55.6 (standard deviation [SD] = 15.2) years and most patients were from North America (45.7%) or Europe (36.6%). Prior to screening, 55.7% of patients had experienced moderate to severe MG (MGFA class IIIb, class IV, or class V), 60.0% of patients had experienced MG exacerbations, 21.7% of patients had experienced MG crises, and 17.1% of patients had required ventilator support. At the study baseline, 23.4% of patients had moderate to severe MG; at the first dose of the study drug, 83 (47.4%) patients were receiving 2 or more ISTs, 74 (42.3%) patients were receiving 1 IST, and 18 (10.3%) patients were receiving no IST.
Key efficacy results during the randomized controlled period of the CHAMPION trial are summarized in Table 2.
At week 26, the least squares mean (LSM) change in the MG-ADL total score in the placebo arm was –1.4 (95% confidence interval [CI], –2.1 to –0.7) versus –3.1 (95% CI, –3.8 to –2.3) in the ravulizumab arm. The LSM difference in MG-ADL total score between the ravulizumab and placebo arms was –1.6 (95% CI, –2.6 to –0.7; P = 0.0009). The adjusted percentage of patients with improvements of at least 3 points in MG-ADL total score at week 26 was 56.7% (95% CI, 44.3% to 68.3%) in the ravulizumab arm and 34.1% (95% CI, 23.8% to 46.1%) in the placebo arm (odds ratio [OR] of at least a 3-point improvement = 2.526; 95% CI, 1.330 to 4.799). The adjusted percentage of patients with improvements of at least 2 points in the MG-ADL total score (a recognized response threshold that indicates clinical improvement) at week 26 was 63.9% (95% CI, 51.7% to 74.6%) in the ravulizumab arm and 53.0% (95% CI, 41.1% to 64.6%) in the placebo arm (OR of at least a 2-point improvement = 1.569; 95% CI, 0.833 to 2.955).
At week 26, the LSM change in the QMG total score in the placebo arm was –0.8 (95% CI, –1.7 to 0.1) versus –2.8 (95% CI, –3.7 to –1.9) in the ravulizumab arm. The LSM difference in QMG total score between the ravulizumab and placebo arms was –2.0 (95% CI, –3.2 to –0.8; P = 0.0009). The adjusted percentage of patients with improvements of at least 5 points in their MG-ADL total score at week 26 was 30.0% (95% CI, 19.2% to 43.5%) in the ravulizumab arm and 11.3% (95% CI, 5.6% to 21.5%) in the placebo arm (OR of at least a 5-point improvement = 3.350; 95% CI, 1.443 to 7.777; P = 0.0052). The adjusted percentage of patients with improvements of at least 3 points in the QMG total score (the estimated minimal important difference [MID]) at week 26 was 44.8% (95% CI, 32.3% to 58.0%) in the ravulizumab arm and 24.2% (95% CI, 15.3% to 36.2%) in the placebo arm (OR of at least a 3-point improvement = 2.544; 95% CI, 1.283 to 5.044).
A total of || patients ||||||| in the placebo arm and | |||||||| ||||||| in the ravulizumab arm were hospitalized. Among these, | |||||||| |||||| in the placebo arm and | |||||||| |||||| in the ravulizumab arm were hospitalized due to MG. Only | ||||||| |||||| in the placebo arm and | |||||||| |||||| in the ravulizumab arm required ventilator support.
The number and dose of existing medications was not an efficacy outcome in the CHAMPION trial. Patients were to maintain stable doses of concomitant MG medications during the randomized controlled period unless there was a compelling medical need.
In the placebo arm, 14 (15.7%) patients required rescue therapy (IVIg = 12 patients; PE or PP and high dose corticosteroids = 1 patient each). In the ravulizumab arm, 8 (9.3%) patients required rescue therapy (IVIg = 5 patients; PE or PP = 2 patients; high dose corticosteroids = 1 patient).
Table 2: Summary of Key Results From the Randomized Controlled Period of the CHAMPION Trial
Outcome | CHAMPION trial Placebo (N = 89) | CHAMPION trial Ravulizumab (N = 86) |
|---|---|---|
Change from baseline in total MG-ADL score at week 26 (FAS) | ||
n | 82 | 78 |
LSM change (95% CI) | –1.4 (–2.1 to –0.7) | –3.1 (–3.8 to –2.3) |
Difference in LSM change (95% CI) | –1.6 (–2.6 to –0.07) | |
P valuea | 0.0009 | |
Proportion of patients with improvements of at least 3 points in MG-ADL score at week 26 (FAS) | ||
n | 82 | 78 |
Adjusted percentage (95% CI) | 34.1% (23.8% to 46.1%) | 56.7% (44.3% to 68.3%) |
OR (95% CI) | 2.526 (1.330 to 4.799) | |
P valueb, c | 0.0049 (nominal) | |
Change from baseline in total QMG score at week 26 (FAS) | ||
n | 78 | 76 |
LSM change (95% CI) | –0.8 (–1.7 to 0.1) | –2.8 (–3.7 to –1.9) |
Difference in LSM change (95% CI) | –2.0 (–3.2 to –0.8) | |
P valuea | 0.0009 | |
Proportion of patients with improvements of at least 3 points in QMG score at week 26 (FAS) | ||
n | 78 | 76 |
Adjusted percentage (95% CI) | 11.3% (5.6% to 21.5%) | 30.0% (19.2% to 43.5%) |
OR (95% CI) | 3.350 (1.443 to 7.777) | |
P valueb | 0.0052 | |
Change from baseline in MG-QoL15r score at week 26 (FAS) | ||
n | 82 | 78 |
LSM change (95% CI) | –1.6 (–3.0 to –0.3) | –3.3 (–4.7 to –1.9) |
Difference in LSM change (95% CI) | –1.7 (–3.4 to 0.1) | |
P valuea | 0.0636 | |
Change from baseline in Neuro-QoL Fatigue score at week 26 (FAS) | ||
n | 82 | 77 |
LSM change (95% CI) | –4.8 (–8.5 to –1.1) | –7.0 (–10.7 to –3.2) |
Difference in LSM change (95% CI) | –2.2 (–6.9 to 2.6) | |
P valuea, c | 0.3734 (nominal) | |
Harms, n (%) (safety population) | ||
AEs | 77 (86.5) | 78 (90.7) |
SAEs | 14 (15.7) | 20 (23.3) |
WDAEs | 3 (3.4) | 2 (2.3) |
Deaths | 0 | 2 (2.3) |
Notable harms, n (%) (safety population) | ||
Infections and infestations | 28 (31.5) | 38 (44.2) |
Meningococcal infections | 0 | 0 |
Infusion reactions | 28 (31.5) | 28 (32.6) |
AE = adverse event; CI = confidence interval; FAS = full analysis set; GLMM = generalized linear mixed model; LSM = least squares mean; MG-ADL = Myasthenia Gravis Activities of Daily Living; MG-QoL15r = Myasthenia Gravis Quality of Life 15-item scale - Revised; MMRM = mixed model of repeated measures; Neuro-QoL = Quality of Life in Neurological Disorders; OR = odds ratio; QMG = Quantitative Myasthenia Gravis; SAE = serious adverse event; WDAE = withdrawal due to adverse event.
aThe P value was derived from a MMRM that included change from baseline at postdosing visits as the response variable, fixed categorical effects of treatment, study visit, and treatment-by-study-visit interaction, the randomization stratification variable of geographical region, and the fixed covariate of baseline score.
bThe P value was derived from a GLMM that included the indicated point responses at postdosing visits as the response variable, fixed categorical effects of treatment, study visit, and treatment-by-study-visit interactions, the randomization stratification variable of geographic region, and a fixed covariate of baseline score as a continuous variable.
cThe P value has not been adjusted for multiple testing (i.e., the type I error rate has not been controlled). These outcomes were tested following a previous nonstatistically significant result in the statistical hierarchy.
Source: CHAMPION Clinical Study Report.13
At week 26, the LSM change in MG-QoL15r score in the placebo arm was –1.6 (95% CI, –3.0 to –0.3) versus –3.3 (95% CI, –4.7 to –1.9) in the ravulizumab arm. The LSM difference in MG-QoL15r score between the ravulizumab and placebo arms was –1.7 (95% CI, –3.4 to 0.1; P = 0.0636).
At week 26, the LSM change in Neuro-QoL Fatigue score in the placebo arm was –4.8 (95% CI, –8.1 to –1.1) versus –7.0 (95% CI, –10.7 to –3.2) in the ravulizumab arm. The LSM difference in Neuro-QoL Fatigue score between the ravulizumab and placebo arms was –2.2 (95% CI, –6.9 to 2.6).
Key harms results during the randomized controlled period of the CHAMPION trial are summarized in Table 2. Most patients (90.7% of ravulizumab-treated patients and 86.5% of placebo-treated patients) experienced adverse events (AEs). The most common AEs were headache (ravulizumab arm = 25.8%; placebo arm = 18.6%), diarrhea (ravulizumab arm = 12.4%; placebo arm = 15.1%), and nausea (ravulizumab arm = 10.1%; placebo arm = 10.5%). A total of 23.3% of ravulizumab-treated patients and 15.7% of placebo-treated patients experienced serious adverse events (SAEs). The most common SAEs were COVID-19 pneumonia (ravulizumab arm = 2.3%; placebo arm = 0%), cellulitis (ravulizumab arm = 0%; placebo arm = 2.2%), transient ischemic attack (ravulizumab arm = 2.3%; placebo arm = 0%), and MG (ravulizumab arm = 0%; placebo arm = 3.4%). Only 2.3% of ravulizumab-treated patients and 3.4% of placebo-treated patients experienced withdrawals due to adverse events (WDAEs). Two (2.3%) patients treated with ravulizumab experienced AEs leading to death. These deaths were due to COVID-19 pneumonia and cerebral hemorrhage (||| |||||| || |||||||| |||| |||||| |||||||||||||| |||||| || ||||| || ||||||||||||||||||| |||||||| | ||||| || ||||||||||||||| |||||||| ||||||||||| ||||||||||. No patients experienced meningococcal infections. | ||||| || ||||| || ||||||||||||||||||| |||||||| || ||||| || ||||||||||||||| |||||||| ||||||||||| |||||||| ||||||||||
There were no major internal validity concerns regarding the CHAMPION trial. Minor baseline imbalances between study arms were viewed as unlikely to be prognostic or to significantly affect the study results. Study discontinuations before completing the randomized controlled period were relatively infrequent (6% to 7% of patients) and missing data for reasons other than discontinuation were relatively rare (1 to 5 patients in each arm, depending on outcome). During the study, concomitant MG therapy was generally similar in both study arms, apart from rescue therapy (IVIg), which was administered more frequently in the placebo arm. Important protocol deviations occurred similarly in both arms and were not viewed as likely to impact the study results. The instruments used to evaluate the primary and secondary efficacy outcomes (MG-ADL, QMG, MG-QoL15r, Neuro-QoL Fatigue) were appropriate and their psychometric properties have been investigated in patients with MG, although no MIDs have been estimated for the MG-QoL15r and Neuro-QoL Fatigue scores. Statistical tests were appropriate overall, power was adequate for the primary analysis, and multiplicity was controlled using a hierarchical testing strategy. Statistical testing for a 3-point or greater improvement in the MG-ADL score and change from baseline in the Neuro-QoL Fatigue score at 26 weeks occurred after a prior nonsignificant result in the statistical hierarchy, so there was an increased risk of type I error. Subgroup analyses identified as being of interest in the CADTH review protocol by MGFA clinical classification and IST at baseline were not adjusted for multiplicity, nor were they specifically powered to detect differences among strata; wide CIs and small numbers of patients within strata reflected imprecision in effect estimates.
According to the clinical experts consulted by CADTH for this review, the demographic and disease characteristics and prior treatment history of patients enrolled in the CHAMPION trial were reflective of the Canadian population of adult patients with anti-AChR antibody–positive gMG that they see in their clinical practice. Although patients with MGFA clinical classifications of class I or class V, patients with MG-ADL scores of less than 6, and patients with thymoma were excluded, the clinical experts stated that a subset of patients with these characteristics could benefit from treatment with ravulizumab, although the results of the trial cannot be generalized to these groups. In addition, changes in concomitant MG therapies would not be generalizable to clinical practice, since changes to these medications were discouraged by the study protocol. However, 2 important external validity issues must be considered in interpreting the results of the CHAMPION study. First, the study enrolled patients with a variety of prior treatment experience and cointerventions at baseline, including patients with no prior IST. There were no specific requirements as to the outcome of prior therapies received and the proportion of the study population with refractory gMG was unknown; however, the clinical experts consulted by CADTH stated that the CHAMPION trial almost certainly would have included some refractory patients, although no subgroup analysis was provided for refractory and nonrefractory patients. According to the clinical experts consulted by CADTH for this review, earlier lines of therapy for nonrefractory MG generally have higher response rates and these patients would be more likely to respond to any therapy compared with patients later in the treatment course (e.g., patients with refractory gMG). Therefore, the results of the CHAMPION trial cannot be directly generalized to any specific line of therapy, including for patients with refractory gMG or patients with severe but nonrefractory gMG. Second, the study was placebo-controlled despite the fact that many of the enrolled patients would have been eligible to receive IST with corticosteroids and steroid-sparing drugs, as well as potentially eculizumab. The study provided no comparative evidence regarding the efficacy of ravulizumab and currently available therapies at various stages of the treatment paradigm for MG, and its results comparing ravulizumab to placebo provided no information regarding the drug’s effectiveness compared with current standard of care.
|||||||| |||||||| ||||||||| |||||||| ||||||||| |||||||||| ||||| ||||| |||||| |||| |||||||| |||||||||||| ||||||||||||| ||||| ||||| |||||||||||||||||| ||||||||| ||||| || ||||||| || |||||||||||| || ||||||||| || |||||| || |||||||| || ||||||||||| |||||||| || |||||||||| || |||||||| |||| || || |||| |||| ||||||||||||||||| ||||||||| |||||||||||||| |||||||||| |||||||| |||| |||||||||||||||||| |||||||| |||||||||| |||||| || |||||||||| ||||||||| ||||||||| || |||||||| |||||||| |||| |||| || ||||||| |||||||| |||||||||||| || ||||||||| | |||||| ||||||||||| || |||||||||
|||||||| |||||| || |||||||| || |||||||||| |||||||||| ||||||||| ||||||| ||||||||| |||||||||| |||||||| || |||||||||| |||||||| || ||||||||||| |||| ||||||| || |||||| ||||||||||| ||||||||| |||| |||||||||| ||||||||| ||||||| ||||||||||| ||||||||| || |||||| ||||||| || ||||||| |||| || |||||||||| |||||| || ||||||| ||||||||| ||||| | |||||||||||| |||||||| || |||| ||||||||||| ||||||| ||||||||||| || |||||||||| || ||||| |||||||| |||||||| |||||| || ||||||||| || |||| |||||| || |||||| ||||||||| |||| ||||||||| ||||| || ||||| |||||||||| |||||||||| |||||||||||| || |||| |||| ||||||||| || |||||||| ||||||||||| |||||||||| |||||| ||||||||| ||||| |||||| |||||||||| |||||| |||||||||| || ||||||| ||||||||||||||||| |||||| ||||||||||| |||| |||||||||| || |||||||| |||||||||||| |||||| |||||||| || ||||||||| ||||||
No evidence on relative safety or harms were presented for review.
The indirect treatment comparisons (ITCs) and comparative observational study submitted were limited by small effective sample size, selection criteria, and demographic differences between included studies and the absence of adjustment for potentially important clinical covariates. The studies used for comparison were not selected following any systematic process and the risk of bias in the reported results for each study was not assessed. No data were available for hospital admissions, the Myasthenia Gravis Composite (MGC) score, the Myasthenia Gravis Foundation of America Post-intervention Status (MGFA-PIS) score, dose reductions of existing medications, rescue therapy, the MG-QoL15r score, or safety data. Although the appropriateness of each of the selected analysis methods varied depending on the evidence available for comparison, no justifications were provided for the selected methods, nor any direction as to which analysis may have been most valid. The results were inconsistent across the various analyses. As such, there remains uncertainty with respect to the efficacy and safety of ravulizumab relative to eculizumab. These analyses provided no information about the efficacy and safety of ravulizumab relative to other relevant comparators, as identified in the CADTH review protocol.
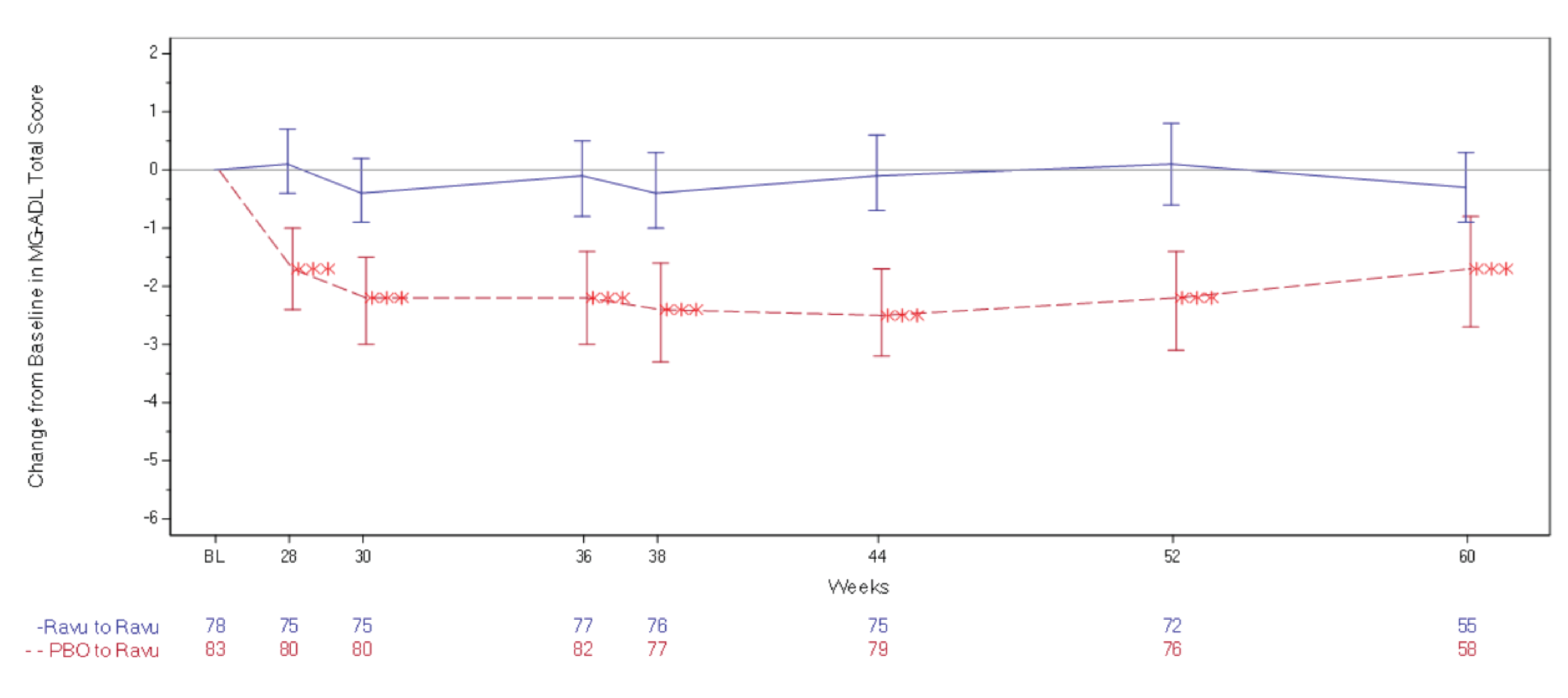
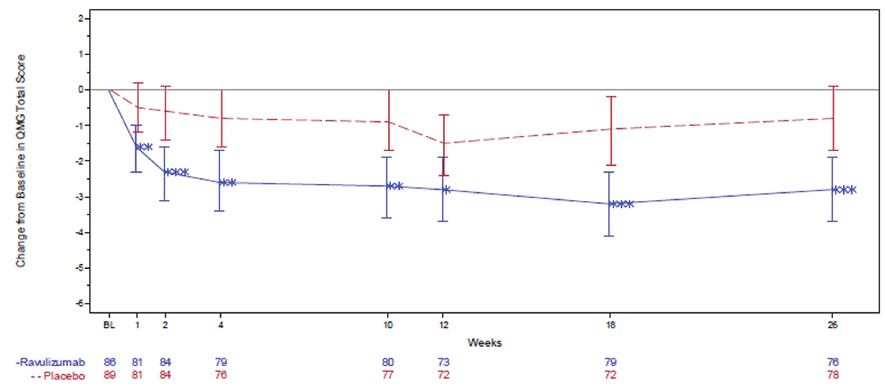
An OL extension study of the CHAMPION trial13 is currently ongoing and 60-week data were available at the time this report was prepared. Overall, 91.0% of patients in the placebo arm and 89.5% of patients in the ravulizumab arm of the randomized controlled period received OL ravulizumab in the extension study. Patients randomized to the placebo arm during the randomized controlled period who switched to OL ravulizumab during the extension period experienced numeric improvements in the MG-ADL total score, QMG total score, MG-QoL15r score, and Neuro-QoL Fatigue score that were sustained over the course of the OL extension period. No new safety signals were identified.
Interpretation of the results from the OL extension period was limited by the absence of a randomized comparison group, which precludes causal conclusions. Since patients and study personnel were aware of the treatment received during the extension period, there is a risk of bias in the measurement of subjective outcomes (i.e., MG-ADL, QMG, MG-QoL15r, Neuro-QoL Fatigue, and subjective harms). As long-term efficacy data were summarized descriptively, the absence of formal statistical analysis precluded definitive conclusions. Based on the number of patients in each treatment arm included in the efficacy analysis from the OL extension period baseline to week 60, the data were immature and there is a risk of bias due to missing outcome data at longer follow-up; the magnitude and direction of bias is unknown. However, it should be noted that the missing data are likely due to the fact that not all patients had reached the week-60 visit by the data cut-off.
Evidence from the CHAMPION trial suggested that the administration of ravulizumab in adult patients with anti-AChR antibody–positive gMG (patients had to have an MGFA clinical classification of class II to class IV, an MG-ADL score of 6 or more, and be nonthymomatous) contributed to statistically significant and potentially clinically meaningful improvements compared with placebo in activities of daily living (the MG-ADL total score) and MG disease severity (the QMG total score and the proportion of patients with improvements of at least 5 points in the QMG total score) after 26 weeks of treatment. Results for other outcomes related to disease severity (the MGC score and MGFA-PIS), MG-related hospitalizations, clinical deterioration and the need for rescue therapy, and HRQoL (MG-QoL15r, Neuro-QoL, and 5-Level EQ-5D [EQ-5D-5L]) were supportive of the preceding results, although the lack of formal statistical analysis precluded definitive conclusions. An ongoing OL extension study (60-week data) suggested that patients who switched from placebo to ravulizumab experienced improvements in the aforementioned outcomes that were sustained over the observation period, although the long-term data were descriptive only and the lack of a randomized control group precluded causal conclusions. The safety profile of ravulizumab in the CHAMPION trial was consistent with that reported in the product monograph. Evidence from sponsor-submitted ITCs and an observational study comparing ravulizumab to eculizumab suggested uncertainty in the relative efficacy of these drugs and was limited by small effective sample size, selection criteria, and demographic differences between included studies and the absence of adjustment for potentially important clinical covariates. None of the available evidence provided a clear picture of the efficacy of ravulizumab for any specific place in the MG therapy paradigm (e.g., patients with refractory gMG or severe but nonrefractory gMG) compared with currently available therapies used at various stages of the treatment paradigm. The evidence from the CHAMPION trial was aligned with some outcomes identified as important to patients with MG, who are seeking new therapies that can decrease the intensity of MG exacerbations, allow them to maintain independence, and prevent hospitalization while having acceptable side effects.
MG is an autoimmune disease in which antibodies against AChRs or functionally associated molecules in the neuromuscular junction disrupt nerve impulse conduction, resulting in localized or generalized skeletal muscle weakness.2 In approximately two-thirds of patients with MG, the disease initially affects the extraocular muscles and in approximately 10% to 20% of these patients, symptoms remain restricted exclusively to the eyes (ocular MG).2,3 The remainder of patients either are diagnosed with or progress within a few years to gMG, which affects the bulbar and other muscles.2,3 Symptoms of gMG include eyelid drooping and double vision, altered facial expression, difficulty chewing and swallowing food, difficulty speaking, and, in patients with more severe disease, problems with limb movement and breathing.2,3 Collectively, symptoms negatively impact HRQoL.4 The disease has a fluctuating natural history: MG exacerbation (an increase in symptoms in patients who were previously asymptomatic or minimally symptomatic) and myasthenic crisis (muscle weakness causing life-threatening difficulties with breathing and swallowing, and requiring ventilator support) can occur gradually or without warning.5 Autoantibodies against AChR, muscle-specific kinase, and lipoprotein receptor-related protein 4 can be detected in approximately 80% of patients, 1% to 10% of patients, and 1% to 3% of patients with gMG, respectively.17 Thymoma is present in approximately 10% to 15% of patients with gMG and is associated with more severe disease.18
Worldwide, the incidence of MG is approximately 4 cases to 30 cases per 1 million population annually and its prevalence is approximately 78 cases to 361 cases per 1 million population.6-8 In Canada, the incidence of MG is approximately 23 cases per 1 million population annually and its prevalence is approximately 263 cases to 320 cases per 1 million population.6-8 According to the clinical experts consulted by CADTH for this review, the prevalence worldwide, based on an average of epidemiological studies, may be slightly lower (approximately 100 cases to 200 cases per 1 million population). Diagnosis of MG and gMG is made by a neurologist based on signs and symptoms in conjunction with serological testing (anti-AChR, -muscle-specific kinase, -and lipoprotein receptor-related protein 4 autoantibodies) and electrophysiological testing. In patients with mild symptoms, the disease may be underdiagnosed.
According to the clinical experts consulted by CADTH for this review, mild to moderate gMG (MGFA15 class II or class IIIa) is initially treated symptomatically with AChEIs (usually pyridostigmine); the onset of benefit occurs in hours to days. If this provides insufficient symptom relief, IST with corticosteroids (usually prednisone) is administered; maximal responses typically occur 2 months to 6 months later, after which the slow tapering of corticosteroids is begun. In patients who do not respond to corticosteroids, who have significant comorbidities such that long-term corticosteroid treatment is contraindicated, or in whom doses of corticosteroids cannot be tapered, treatment with a steroid-sparing immunosuppressant (e.g., azathioprine, mycophenolate mofetil, cyclophosphamide, cyclosporine, tacrolimus, methotrexate) and/or immunomodulatory drugs, including rituximab, may be initiated. The clinical experts explained that the onset of benefit from steroid-sparing drugs occurs in months to years (approximately 9 months to 18 months for azathioprine and mycophenolate). According to the clinical experts, patients with moderate to severe gMG (MGFA class IIIb, class IV, or class V) are often started on all 3 of pyridostigmine, prednisone, and a steroid-sparing drug simultaneously. The clinical experts stated that there is an increasing tendency to use rituximab off label in addition to or in place of steroid-sparing drugs, although access to and reimbursement of rituximab as well as some steroid-sparing drugs varies by jurisdiction. All of the available treatments modify the pathophysiological mechanisms leading to impaired neuromuscular transmission in MG but their relatively nonspecific effects are not restricted to the causative pathogenic autoantibodies. According to the clinical experts, in patients with moderate to severe gMG, especially those who have respiratory or bulbar weakness, IVIg, PE, or PP may be administered in addition to rituximab, either at the time of IST initiation or to treat MG exacerbation or myasthenic crisis. Critical care, including ICU admission and ventilator support, may be required for patients experiencing myasthenic crisis. Surgery (thymectomy) may also be considered in a small group of patients. As MG symptoms improve, doses of AChEIs, corticosteroids, and then other ISTs are reduced and the frequency of IVIg, PE, or PP is reduced until the minimal maintenance therapy required for remission is identified; patients whose symptoms persist despite treatment with adequate doses of corticosteroids, other ISTs, and/or chronic IVIg, PE, or PP or for whom the doses or frequencies of these therapies cannot be reduced are considered to have refractory gMG (approximately 10% to 15% of patients). Patients with refractory gMG who are anti-AChR antibody–positive may soon be candidates for the complement inhibitor eculizumab. A recommendation for reimbursement with conditions was made for eculizumab in 2020,19 although funding is not yet in place; price negotiations concluded without an agreement in December 2022.10 Among these drugs, only some (azathioprine, cyclophosphamide, cyclosporine, IVIg, rituximab, and eculizumab) have been rigorously assessed in RCTs while the remainder have been successfully used to treat MG for decades. Some of the drugs prescribed for gMG are prohibitively expensive unless covered by private or public insurance.
According to the clinical experts, the goal of treatment in most patients with gMG is to reduce disease symptoms as well as adverse effects of MG therapy and to allow the patient to function and work normally with good HRQoL. Other goals of treatment include avoiding MG exacerbations and myasthenic crisis, minimizing hospitalizations and ICU admissions, and reducing the numbers and doses of therapies required for symptom control. The clinical experts consulted by CADTH for this review emphasized that MG is not a degenerative disorder and stated that most patients with gMG (more than 80%) will respond well to currently available treatments; although these treatments cannot cure the disease, excellent symptom control is achieved in most patients and prognosis is generally good in terms of muscle strength and function as well as HRQoL. However, many of the patients with MG who respond well to currently available treatments in terms of their MG symptoms still experience treatment-related side effects, which may be severe.
Key characteristics of ravulizumab and relevant comparators are shown in Table 3. Ravulizumab is a monoclonal antibody that is supplied as a 10 mg/mL or 100 mg/mL concentrate and administered at a maintenance dosage of 3,000 mg to 3,600 mg by IV infusion every 8 weeks.19 Its mechanism of action involves binding to the complement protein C5, inhibiting C5 cleavage and activation, and thereby disrupting deposition of the membrane attack complex at the neuromuscular junction, preventing damage to the synapse; and impairment of neuromuscular transmission.19 The drug is an engineered form of eculizumab bearing 4 amino acid substitutions (fragment antigen-binding region: variable heavy chain domain Y27H and variable heavy chain domain S57H; fragment crystallizable region: M428L and N434S) that result in bound C5 being released and degraded in the lysosome as well as extended serum persistence.20
The relevant Health Canada indication for ravulizumab is “for the treatment of adult patients with anti-AChR antibody–positive generalized Myasthenia Gravis (gMG).” The sponsor’s reimbursement request is the same as the Health Canada indication. The drug underwent standard review at Health Canada for this indication and received a Notice of Compliance on January 6, 2023. The drug also has a Health Canada indication “for the treatment of adult patients with paroxysmal nocturnal hemoglobinuria (PNH);” it was previously reviewed by CADTH for this indication and received a recommendation for reimbursement with conditions from CDEC on March 2, 2022.11 Ravulizumab was also previously reviewed by CADTH “for the treatment of adult and pediatric patients one month of age and older with atypical hemolytic uremic syndrome (aHUS) to inhibit complement-mediated thrombotic microangiopathy (TMA)” and received a draft recommendation for reimbursement with conditions from CDEC on October 26, 2022.12
Table 3: Key Characteristics of Ravulizumab and Other Drugs Used for the Treatment of Generalized Myasthenia Gravis
Characteristic | Ravulizumab | Eculizumab | AChEI (e.g., pyridostigmine) | IST (e.g., corticosteroids, steroid-sparing drugs, rituximab) | IVIg | PE or PP |
|---|---|---|---|---|---|---|
Mechanism of action | Terminal complement inhibitor | Terminal complement inhibitor | Cholinesterase inhibitor | Suppression of production of anti-AChR antibodies | Unknown | Removal of anti-AChR antibodies |
Relevant indicationa | For the treatment of adult patients with anti-AChR antibody–positive gMG | Adult patients with gMG | For the symptomatic treatment of myasthenia gravis | NA | NA | NA |
Route of administration | IV | IV | PO (by mouth) | PO (by mouth), IV | IV | IV |
Recommended dosage |
|
| 60 mg to 1,500 mg per day | Various | 1 g/kg to 2 g/kg administered over 2 days to 5 days | 1 plasma volume to 1.5 plasma volumes daily, usually 5 to 6 exchanges |
Serious adverse effects or safety issues | Infections, including serious meningococcal infections | Infections, including serious meningococcal infections | Increased salivation and fasciculation, diarrhea, nausea, vomiting | Infections, infusion reactions | Infusion reactions | Infections, bleeding, thrombosis, transfusion reactions |
AChEI = acetylcholinesterase inhibitor; AChR = acetylcholine receptor; gMG = generalized myasthenia gravis; IST = immunosuppressive therapy; IVIg = IV immunoglobulin; NA = not applicable; PE = plasma exchange; PO = per os; PP = plasmapheresis.
aRelevant Health Canada–approved indications.
bSupplemental ravulizumab doses of 1,200 mg to 1,800 mg are given following PE or PP and supplemental doses of 600 mg are given following IVIg.
cSupplemental eculizumab doses of 300 mg to 600 mg are given following PE or PP.
Sources: Sponsor’s drug reimbursement review submission for ravulizumab1 and product monographs for ravulizumab,19 eculizumab,21 and pyridostigmine.22
This section was prepared by CADTH staff based on the input provided by a patient group. The original patient group submission can be found at the end of this report.
One patient group, Muscular Dystrophy Canada, provided input for this review. Information was collected from 149 individuals impacted by MG through a health care experience survey and semistructured phone or virtual interviews. These individuals consisted of 92 (61.7%) women and 57 (38.3%) men from all provinces of Canada, including 9 respondents from Quebec and 29 patients with a confirmed diagnosis of anti-AChR antibody–positive gMG; ages ranged from 23 years to 75 years. Half of patients (50%) recounted difficulties with their MG diagnosis, including delays, misdiagnoses, and costs incurred. The patient group input highlighted the negative impacts of MG on daily activities and HRQoL, including fatigue and sleep disruptions, lack of strength and mobility, decreased independence and social participation, eyesight problems, difficulties with speech and swallowing, loss of employment and financial hardships, and mental health burdens for family members. The input also highlighted the potential benefits and side effects of currently available treatments, including prednisone (depression, weight gain, diabetes), pyridostigmine (diarrhea, nausea, jumpy legs), thymectomy (painful recovery), and IVIg (inconvenience of hospital administration). Respondents indicated that currently available therapies may decrease MG exacerbations but not their overall impact on HRQoL. Only 1 respondent had experience with ravulizumab and felt it had been helpful in improving their symptoms. Respondents identified an unmet need for new treatments that can decrease the intensity of MG exacerbations, allow them to maintain independence, and prevent hospitalization. Patients also desired treatments with minimal side effects and convenient administration (e.g., once daily oral administration, easy to swallow, fast onset, long duration of action, low cost) but indicated they would be willing to accept the side effects of new therapies that better control the consequences of MG.
All CADTH review teams include at least 1 clinical specialist with expertise regarding the diagnosis and management of the condition for which the drug is indicated. Clinical experts are a critical part of the review team and are involved in all phases of the review process (e.g., providing guidance on the development of the review protocol, assisting in the critical appraisal of clinical evidence, interpreting the clinical relevance of the results, providing guidance on the potential place in therapy). The following input was provided by 2 clinical specialists with expertise in the diagnosis and management of patients with anti-AChR antibody–positive gMG.
According to the clinical experts consulted by CADTH for this review, in some patients with gMG, symptom control can only be achieved by the chronic administration of IVIg every 1 to 4 weeks, which is both inconvenient for patients and a burden to health care systems. For other patients, symptom control cannot be achieved with any standard treatment (refractory gMG). In these patients, there are very few remaining options, including complement inhibitors (eculizumab, ravulizumab) and neonatal fragment crystallizable receptor inhibitors (currently under review by Health Canada). More commonly, patients experience side effects of currently available treatments (especially corticosteroids, but also steroid-sparing drugs) that necessitate permanent discontinuation of the drug; IST also carries some risk of general immunosuppression with the attendant risk of infection. To achieve sustained clinical benefit, many patients need to take these medications (e.g., corticosteroids, steroid-sparing drugs) for years, if not lifelong. The clinical experts stated that additional treatments are needed with more rapid onset of action, longer-lasting benefits, improved efficacy in patients who don’t respond to standard treatments, and fewer side effects.
The clinical experts consulted by CADTH for this review stated that ravulizumab is a terminal complement inhibitor with a similar mechanism of action to eculizumab, which is rarely used — in part due to high cost — and only in adult patients with refractory anti-AChR antibody–positive gMG. The clinical experts explained that refractory gMG is typically defined as the failure of AChEIs, corticosteroids, and 2 other ISTs to control symptoms when given at adequate doses and durations, or intolerance to these treatments. In these patients, complement inhibitors (eculizumab or ravulizumab) would be added to standard treatment (AChEIs, IST, IVIg, PE or PP), although if treatment is successful, some of these standard drugs may be reduced or discontinued. The clinical experts noted that ravulizumab has a distinct mechanism of action and thus may be used in combination with standard treatments. The clinical experts felt that there might be a rationale for the use of either ravulizumab or eculizumab early in the disease course in patients with more severe disease (MGFA class IIIb, class IV, or class V) in addition to or instead of other options (e.g., AChEIs, IST, IVIg, PE or PP), given their more rapid onset of benefit compared with steroid-sparing drugs and longer duration of temporary benefit before additional treatments are required compared with IVIg, PE, or PP. However, the clinical experts acknowledged that at the moment, there are limited data to justify this approach. According to the clinical experts, it would be appropriate for patients to try other treatments (AChEIs, IST) before initiating ravulizumab because currently available standard treatments are generally effective in most patients. The clinical experts stated that it would be difficult to recommend the early use of ravulizumab unless it was clearly more effective and/or pharmacoeconomically favourable compared with other treatments (e.g., chronic IVIg, PE or PP, rituximab).
According to the clinical experts consulted by CADTH for this review, the misdiagnosis of patients with anti-AChR antibody–positive gMG is uncommon. However, clinicians with limited experience in managing patients with gMG tend to be quick to label patients as refractory to standard therapy, when in fact these treatments may simply require more time to take effect (sometimes many months or even years). The clinical experts also indicated that in patients with severe gMG at initial presentation (e.g., MGFA class IIIb, MGFA class IV, MGFA class V), some neurologists would wish to use a complement inhibitor early in the treatment course (ravulizumab or eculizumab) due to greater clinical need in these patients, although they acknowledged this use falls outside the Health Canada indication for eculizumab. The clinical experts emphasized that determining whether symptoms are truly secondary to refractory or severe gMG, rather than arising from comorbidities or adverse effects of existing therapy, is very challenging; in their experience, up to half of patients who could be labelled as having refractory disease not responding to treatment or severe disease have reasons other than MG for their symptoms. It is not currently possible to predict which adult patients with anti-AChR antibody–positive gMG would be most likely to respond to ravulizumab. Therefore, clinician judgment would be the principal means by which candidates for ravulizumab (primarily patients with refractory gMG, as well as potentially those with severe gMG) would be identified. The clinical experts noted that serologic testing for anti-AChR antibodies would be required to identify eligible patients; complement inhibitors may not be effective in patients who are seronegative for anti-AChR antibodies (because anti-AChR antibody binding by complement and initiation of the complement cascade is mechanistically involved in the disease). A chest CT may also be required to rule out thymoma and thymic carcinoma. However, the clinical experts emphasized that while patients with thymoma were excluded from the pivotal trial, there is no reason they would not be expected to benefit from ravulizumab.
The clinical experts stated that response to ravulizumab would be assessed by monitoring patient symptoms and/or signs on clinical examination. Some clinicians use a standard bedside assessment while others use instruments such as the MG-ADL and QMG scores. Typically, assessments are performed every 1 month to 3 months. According to the clinical experts, clinically meaningful responses would be reflected by improvements in disease symptoms (approximately 2 points for the MG-ADL score and approximately 3 points for the QMG score). In addition, clinically meaningful responses to ravulizumab may be manifested by the reduction of other treatments (especially chronic IVIg, PE or PP, and rituximab) as well as reduced hospitalizations and health care usage even if the clinical status of the patient remained unchanged.
The clinical experts consulted by CADTH for this review stated that ravulizumab would be discontinued in patients who do not achieve clinical improvement or are unable to reduce the numbers and doses of other MG therapies, in patients who experience worsening of MG symptoms requiring additional interventions, in patients who experience serious toxicities such as meningococcal infections, or by patient preference. The clinical experts noted that the current treatment paradigm for gMG involves initiating treatment until improvement occurs, achieving stability and minimal manifestations, and then slowly withdrawing treatment 1 drug at a time. Some neurologists who manage patients with gMG would follow this approach with complement inhibitors as well, likely 1 year to 2 years after treatment initiation. However, the clinical experts also noted that in some patients, treatment with complement inhibitors, including ravulizumab, could be lifelong if this is required to achieve sustained clinical benefit (refer to “Unmet Needs” earlier in this section).
The clinical experts consulted by CADTH for this review stated that treatment with ravulizumab would be initiated and supervised by a neurologist with expertise in managing patients with MG. As stated earlier, it would be difficult for nonexpert neurologists to assess patients with gMG to determine whether the main symptoms leading to the request for coverage of a complement inhibitor are actually secondary to MG; if they are not, treatment with ravulizumab will not succeed, resulting in needless exposure to and unnecessary cost of this treatment. The drug would typically be administered in a hospital setting or at an infusion clinic.
The clinical experts consulted by CADTH for this review noted that while the sponsor’s reimbursement request includes all patients with gMG who are anti-AChR antibody–positive, access may be limited to patients with refractory and/or severe disease. Of these 2 patient subpopulations, the clinical experts felt that there is a greater clinical need for ravulizumab in those with refractory gMG (e.g., any severity including milder MGFA class II myasthenia that does not respond to treatment) compared with those with severe gMG that is not refractory (e.g., newly diagnosed MGFA class IIIb, class IV, or class V myasthenia that remains untreated or undertreated).
This section was prepared by CADTH staff based on the input provided by a clinician group. The original clinician group submission can be found at the end of this report.
One clinician group, NMD4C, provided input for this review that reflected the views of 4 neurologists with experience in the management of patients with gMG. No major contrary views were presented that diverged from those provided by the clinical experts consulted by CADTH for this review. The clinician group reiterated that standard treatments for gMG are often transiently effective, may require relatively long treatment periods for benefits to be observed, may carry side effects, and may not be effective in all patients. NMD4C indicated that ravulizumab would be unlikely to cause a shift in the standard treatment paradigm for gMG and would be used as an add-on therapy in patients with anti-AChR antibody–positive gMG who are not responsive to AChEIs and IST, and who require chronic IVIg, PE, or PP. The clinician group noted the more convenient administration of ravulizumab at every 8 weeks compared with eculizumab at every 2 weeks.
The drug programs provide input on each drug being reviewed through CADTH’s reimbursement review processes by identifying issues that may impact their ability to implement a recommendation. The implementation questions and corresponding responses from the clinical experts consulted by CADTH are summarized in Table 4.
Table 4: Summary of Drug Plan Input and Clinical Expert Response
Issues | Clinical experts’ response |
|---|---|
Relevant comparators | |
FWG noted that the place in therapy of ravulizumab should be considered in light of the choice of comparator in the submitted trial and CDEC’s previous recommendation on eculizumab. Consideration should also be given to drugs used off label for treatment of MG. | For CDEC consideration. |
FWG noted the broad indication and associated reimbursement request for ravulizumab that would allow for use early in therapy. | For CDEC consideration. |
Considerations for initiation of therapy | |
FWG noted that prior therapies required for eligibility should be considered in relation to the place in therapy of ravulizumab. What concurrent therapies should be funded? | Regarding therapies that occupy a similar place in therapy, eculizumab is another terminal complement inhibitor that received a recommendation for reimbursement with conditions; price negotiations concluded without an agreement in December 2022.10 However, eculizumab and ravulizumab would not be used simultaneously. Regarding prior and concurrent therapies, some of the patients who would be candidates for ravulizumab would also be receiving rituximab (access to which varies by jurisdiction) and/or chronic IVIg. Most patients who would be candidates for ravulizumab would have previously received — and potentially would be concurrently receiving — pyridostimine, corticosteroids, and/or steroid-sparing drugs such as azathioprine. |
FWG noted that consistency with initiation criteria associated with other drugs in the same therapeutic space, specifically eculizumab, should be considered. How should initiation criteria compare to other drugs in this space such as eculizumab? | Ravulizumab would be used by clinicians in a similar manner as eculizumab, so similar initiation criteria would apply for both drugs. |
Considerations for continuation or renewal of therapy | |
FWG noted that consistency with renewal criteria associated with other drugs in the same therapeutic space, specifically eculizumab, should be considered. | For CDEC consideration. |
Considerations for discontinuation of therapy | |
FWG noted that consistency with discontinuation criteria associated with other drugs in the same therapeutic space, specifically eculizumab, should be considered. | For CDEC consideration. |
Considerations for prescribing of therapy | |
FWG noted that ravulizumab requires less frequent administration than eculizumab. | For CDEC consideration. |
FWG noted that ravulizumab would be administered at an infusion clinic or in a hospital. | For CDEC consideration. |
FWG noted that access to specialists may be a concern in some areas. | For CDEC consideration. |
FWG noted that consistency with prescribing criteria associated with other drugs in the same therapeutic space, specifically eculizumab, should be considered. | For CDEC consideration. |
Care provision issues | |
FWG noted that drug preparation, storage, administration, and/or dispensing would occur in infusion clinics or in a hospital setting. | For CDEC consideration. |
FWG noted that meningococcal vaccination is required before treatment with ravulizumab, and that IV administration is required. | For CDEC consideration. |
System and economic issues | |
FWG noted that earlier interventions required for eligibility may have considerable budget impact. Would ravulizumab be given in combination with other drugs? | Yes, in most patients, ravulizumab would be administered along with a variable combination of pyridostigmine, corticosteroids, steroid-sparing drugs such as azathioprine, and IVIg. Some patients may also be receiving rituximab. However, if treatment with ravulizumab is successful, some of these drugs may be reduced or discontinued. |
FWG noted that there may be additional costs to be considered (other than those related to care provision as detailed previously) because IV infusion requires administration at an infusion clinic or a hospital setting. (Note: The sponsor stated that it would support ravulizumab administration through a patient support program, resulting in no additional costs to drug programs and the public health care system.) | For CDEC consideration. |
CDEC = CADTH Canadian Drug Expert Committee; FWG = Formulary Working Group; IVIg = IV immunoglobulin; MG = myasthenia gravis.
The clinical evidence included in this review of ravulizumab is presented in 3 sections. The first section, the systematic review, includes pivotal studies provided in the sponsor’s submission to CADTH and Health Canada, as well as those studies that were selected according to an a priori protocol. The second section includes indirect evidence from the sponsor and any indirect evidence selected from the literature that met the selection criteria specified in the review. The third section includes sponsor-submitted long-term extension studies and any additional relevant studies that were considered to address important gaps in the evidence included in the systematic review.
To perform a systematic review of the beneficial and harmful effects of ravulizumab for the treatment of adult patients with anti- AChR antibody–positive gMG.
Studies selected for inclusion in the systematic review included pivotal studies provided in the sponsor’s submission to CADTH and Health Canada, as well as those meeting the selection criteria presented in Table 5. Outcomes included in the CADTH review protocol reflect outcomes considered to be important to patients, clinicians, and drug plans.
Of note, the systematic review protocol presented as follows was established before the granting of a Notice of Compliance from Health Canada.
Table 5: Inclusion Criteria for the Systematic Review
Criteria | Description |
|---|---|
Patient population | Adult patients (aged 18 years or older) with gMG who are positive for anti-AChR antibody Subgroups:
|
Intervention | Ravulizumab alone or in combination with other treatments (IV infusion over approximately 0.5 hours to 2 hours):
|
Comparators | Any of the following, alone or in combination:
|
Outcomes | Efficacy outcomes:
Harms outcomes:
|
Study design | Published and unpublished phase III and phase IV RCTs |
AChEI = acetylcholinesterase inhibitor; AChR = acetylcholine receptor; AE = adverse event; EQ-5D-5L = 5-Level EQ-5D; gMG = generalized myasthenia gravis; HRQoL = health-related quality of life; ICU = intensive care unit; IST = immunosuppressive therapy; IVIg = IV immunoglobulin; MG = myasthenia gravis; MG-ADL = Myasthenia Gravis Activities of Daily Living; MG-QoL15r = Myasthenia Gravis Quality of Life 15-item scale - Revised; MGC = Myasthenia Gravis Composite; MGFA-PIS = Myasthenia Gravis Foundation of America Post-intervention Status; Neuro-QoL = Quality of Life in Neurological Disorders; PE = plasma exchange; PP = plasmapheresis; QMG = Quantitative Myasthenia Gravis; RCT = randomized controlled trial; SAE = serious adverse event; WDAE = withdrawal due to adverse event.
The literature search for clinical studies was performed by an information specialist using a peer-reviewed search strategy according to the PRESS Peer Review of Electronic Search Strategies checklist.23
Published literature was identified by searching the following bibliographic databases: MEDLINE All (1946–) via Ovid and Embase (1974–) via Ovid. All Ovid searches were run simultaneously as a multifile search. Duplicates were removed using Ovid deduplication for multifile searches, followed by manual deduplication in Endnote. The search strategy consisted of both controlled vocabulary, such as the US National Library of Medicine’s MeSH (Medical Subject Headings), and keywords. The main search concepts were Ultomiris (ravulizumab). Clinical trials registries were searched: the US National Institutes of Health’s ClinicalTrials.gov, the WHO’s International Clinical Trials Registry Platform search portal, Health Canada’s Clinical Trials Database, and the European Union Clinical Trials Register.
No filters were applied to limit the retrieval by study type. Retrieval was not limited by publication date or by language. Conference abstracts were excluded from the search results. Refer to Appendix 1 for the detailed search strategies.
The initial search was completed on November 22, 2022. Regular alerts updated the search until the meeting of CDEC on March 22, 2023.
Grey literature (literature that is not commercially published) was identified by searching relevant websites from the Grey Matters: A Practical Tool For Searching Health-Related Grey Literature checklist.24 Included in this search were the websites of regulatory agencies (US FDA and European Medicines Agency). Google was used to search for additional internet-based materials. Refer to Appendix 1 for more information on the grey literature search strategy.
These searches were supplemented by reviewing bibliographies of key papers and through contacts with appropriate experts. In addition, the manufacturer of the drug was contacted for information regarding unpublished studies.
Two CADTH clinical reviewers independently selected studies for inclusion in the review based on titles and abstracts, according to the predetermined protocol. Full-text articles of all citations considered potentially relevant by at least 1 reviewer were acquired. Reviewers independently made the final selection of studies to be included in the review, and differences were resolved through discussion.
No studies were identified from the literature for inclusion in the systematic review, while 2 reports of a single study were identified from other sources (Figure 1). The included study is summarized in Table 6.
Figure 1: Flow Diagram for Inclusion and Exclusion of Studies
Note: The publication of the CHAMPION trial (Vu et al. [2022])14 was not identified in the literature search because the journal in which it appeared, NEJM Evidence, was not indexed in MEDLINE or Embase at the time the search was conducted.
Table 6: Details of the Included Study
Detail | CHAMPION study |
|---|---|
Designs and populations | |
Study design | Phase III, placebo-controlled, multicentre, DB RCT |
Locations | 85 centres in 13 countries (Canada, Czech Republic, Denmark, France, Germany, Israel, Italy, Japan, the Netherlands, South Korea, Spain, Switzerland, and the US) |
Patient randomization dates | March 2019 to November 2020 |
Data cut-off | May 11, 2021 |
Database lock | June 30, 2021 |
Randomized (N) | 175 |
Inclusion criteria |
|
Exclusion criteria |
|
Drugs | |
Intervention | Ravulizumab (loading dosage on day 1, maintenance dosage on day 15 and q.8.w. thereafter) by IV infusion over approximately 2 hours:
Supplemental dosing with approximately half of the previous dose received within 4 hours of PE or PP, or with 600 mg within 4 hours of IVIg |
Comparator | Placebo (doses and schedules as stated previously) |
Duration | |
Phase | |
Screening | Up to 4 weeks |
DB treatment (randomized controlled period) | 26 weeks |
OL treatment (OL extension period) | Up to 4 years |
Outcomes | |
Primary end point | Change from baseline in MG-ADL at week 26 of the randomized controlled period |
Secondary and exploratory end points | Secondary:
Exploratory:
Other:
|
Notes | |
Publications | Vu et al. (2022)14 |
AChR = acetylcholine receptor; DB = double-blind; EQ-5D-5L = 5-Level EQ-5D; IST = immunosuppressive therapy; IVIg = IV immunoglobulin; MG = myasthenia gravis; MG-ADL = Myasthenia Gravis Activities of Daily Living; MG-QoL15r = Myasthenia Gravis Quality of Life 15-item scale - Revised; MGC = Myasthenia Gravis Composite; MGFA = Myasthenia Gravis Foundation of America; MGFA-PIS = Myasthenia Gravis Foundation of America Post-intervention Status; Neuro-QoL = Quality of Life in Neurological Disorders; OL = open-label; PD = pharmacodynamics; PE = plasma exchange; PK = pharmacokinetics; PP = plasmapheresis; q.8.w. = every 8 weeks; QMG = Quantitative Myasthenia Gravis; RCT = randomized controlled trial.
Note: One additional report was included (CHAMPION Clinical Study Report).
Sources: CHAMPION Clinical Study Report13 and Vu et al. (2022).14
Key characteristics of the CHAMPION trial are shown in Table 6 and a summary of its design is shown in Figure 2. The CHAMPION trial (study identification number ALXN1210-MG-306, N = 175)13,14 was a phase III, DB, multicentre, placebo-controlled RCT with an OL extension period of up to 4 years. Note that only results from the randomized controlled period are described in the Systematic Review (Pivotal and Protocol Selected Studies) section of this report, while results from the OL extension period are summarized in the Other Relevant Evidence section. The primary objective of the CHAMPION trial was to evaluate the safety and efficacy of ravulizumab compared with placebo in complement inhibitor–naive adult patients with gMG.
Following screening, adult patients with anti-AChR antibody–positive gMG were enrolled at 85 centres in 13 countries (primarily North America and Europe; there were 5 sites in Canada) and randomized 1:1 to receive either a weight-based dose of ravulizumab or a matching placebo for 26 weeks. Randomization was stratified by region (North America, Europe, Asia-Pacific, and Japan). The randomized controlled portion of the trial is complete (the data cut-off date was May 11, 2021, and the database was locked on June 30, 2021) and the OL extension is ongoing. The study was funded by the sponsor.
Figure 2: Overall Design of the CHAMPION Trial
DB = double-blind; LD = loading dosage; MD = maintenance dosage; OL = open-label; q8w = every 8 weeks.
Note: In the original study protocol, OL treatment with ravulizumab could continue for up to 2 years. In May 2021, a protocol amendment was made to allow for OL treatment for up to 4 years.
Source: CHAMPION Clinical Study Report.13
The eligibility criteria for the CHAMPION trial are shown in Table 6. Adult patients (aged 18 years or older) with a confirmed diagnosis of anti-AChR antibody–positive MG, an MGFA clinical classification of class II to class IV, and an MG-ADL total score of 6 or more were eligible if they were on stable doses of AChEIs, corticosteroids, and steroid-sparing drugs, and received meningococcal vaccination. Patients with active or untreated thymoma or a history of thymic carcinoma, thymic malignancy, thymectomy, or meningococcal infection were excluded, as were patients previously treated with complement inhibitors. Patients who received IVIg or PE within 4 weeks of randomization or rituximab within 6 months before screening were also excluded. Note that the eligibility criteria did not include any stipulations regarding prior treatment experience or its outcome, in contrast with the REGAIN study of eculizumab, in which only patients with refractory gMG were eligible.
The baseline demographic characteristics of patients in the CHAMPION trial are shown in Table 7. Approximately half of patients (50.9%) were female. In the ravulizumab arm, approximately three-quarters of patients (77.9%) were white, while 17.4% were Asian and 2.3% were Hispanic or Latino. In the placebo arm, approximately two-thirds of patients (68.5%) were white, while 18.0% were Asian and 5.6% were Hispanic or Latino. The mean age at first infusion was 53.3 (SD = 16.05) years in the placebo arm and 58.0 (SD = 13.82) years in the ravulizumab arm. Most patients were from either North America (45.7%) or Europe (36.6%).
Table 7: Summary of Demographic and Baseline Characteristics in the CHAMPION Trial — Full Analysis Set
Characteristic | Placebo (N = 89) | Ravulizumab (N = 86) |
|---|---|---|
Sex, n (%) | ||
Male | 44 (49.4) | 42 (48.8) |
Female | 45 (50.6) | 44 (51.2) |
Ethnicity, n (%) | ||
Not Hispanic or Latino | 78 (87.6) | 79 (91.9) |
Not reported | 5 (5.6) | 3 (3.5) |
Hispanic or Latino | 5 (5.6) | 2 (2.3) |
Unknown | 1 (1.1) | 2 (2.3) |
Race, n (%) | ||
White | 61 (68.5) | 67 (77.9) |
Asian | 16 (18.0) | 15 (17.4) |
Not reported | 5 (5.6) | 2 (2.3) |
Black or African American | 4 (4.5) | 2 (2.3) |
American Indian or Alaska Native | 1 (1.1) | 0 |
Other | 1 (1.1) | 0 |
Unknown | 1 (1.1) | 0 |
Native Hawaiian or other Pacific Islander | 0 | 0 |
Age at first infusion (years) | ||
Mean (SD) | 53.3 (16.05) | 58.0 (13.82) |
Median (range) | 55.0 (20 to 82) | 61.5 (19 to 79) |
Age category at first infusion (years), n (%) | ||
18 years to 65 years | 65 (73.0) | 56 (65.1) |
> 65 years | 24 (27.0) | 30 (34.9) |
Baseline weight (kg) | ||
Mean (SD) | 90.9 (29.45) | 91.6 (23.37) |
Median (range) | 89.0 (44.1 to 185.0) | 91.7 (40.0 to 165.8) |
Baseline weight (kg) category, n (%) | ||
≥ 40 kg to < 60 kg | 11 (12.4) | 7 (8.1) |
≥ 60 kg to < 100 kg | 47 (52.8) | 47 (54.7) |
≥ 100 kg | 31 (34.8) | 32 (37.2) |
Region for randomization stratification, n (%) | ||
North America | 40 (44.9) | 40 (46.5) |
Europe | 33 (37.1) | 31 (36.0) |
Asia-Pacific | 9 (10.1) | 9 (10.5) |
Japan | 7 (7.9) | 6 (7.0) |
SD = standard deviation.
Source: CHAMPION Clinical Study Report.13
The baseline disease characteristics of patients in the CHAMPION trial are shown in Table 8. The mean age at diagnosis was 43.7 (SD = 19.04) years in the placebo arm and 48.6 (SD = 18.54) years in the ravulizumab arm, while the mean time elapsed from MG diagnosis to enrolment in the overall study population was 9.9 (SD = 9.27) years. Approximately one-third of patients (32.6%) in the placebo arm and approximately one-quarter of patients (24.4%) in the ravulizumab arm had ocular MG at diagnosis. Among patients whose first presentation was ocular MG, the mean time to gMG was 24.1 (SD = 54.0) months in the placebo arm and 15.2 (SD = 31.2) months in the ravulizumab arm. Prior to screening, approximately half of patients (55.7%) had experienced moderate to severe MG (MGFA class IIIb, class IV, or class V), 60.0% of patients had experienced MG exacerbations, 24.4% of patients had experienced MG crises, and 17.1% of patients had required ventilator support. The total number of prior MG exacerbations was 100 in the placebo arm and 169 in the ravulizumab arm. At the study baseline, 18.0% of patients in the placebo arm and 29.1% of patients in the ravulizumab arm had moderate to severe MG (MGFA class IIIb or class IV). The mean baseline MG-ADL and QMG total scores in the overall study population were 9.0 (SD = 2.46) and 14.7 (SD = 5.22), respectively.
Table 8: Summary of Baseline Disease Characteristics in the CHAMPION Trial — Full Analysis Set
Characteristic | Placebo (N = 89) | Ravulizumab (N = 86) |
|---|---|---|
Age (years) at MG diagnosis | ||
Mean (SD) | 43.7 (19.04) | 48.6 (18.54) |
Median (range) | 44.8 (12 to 81) | 50.4 (12 to 77) |
Years from MG diagnosis to informed consent | ||
Mean (SD) | 10.0 (8.90) | 9.8 (9.68) |
Median (range) | 7.6 (0.5 to 36.1) | 5.7 (0.5 to 39.5) |
Type of first MG clinical presentation, n (%) | ||
Ocular MG | 29 (32.6) | 21 (24.4) |
gMG | 60 (67.4) | 65 (75.6) |
Time to gMG, if first presentation was ocular MG (months) | ||
n | 28 | 20 |
Mean (SD) | 24.1 (54.01) | 15.2 (31.20) |
Median (range) | 6.0 (1.0 to 288.0) | 3.0 (1.0 to 120.0) |
Maximum MGFA clinical classification before screening, n (%) | ||
Class IIa | 10 (11.2) | 12 (14.0) |
Class IIb | 8 (9.0) | 12 (14.0) |
Class IIIa | 23 (25.8) | 12 (14.0) |
Class IIIb | 18 (20.2) | 24 (27.9) |
Class IVa | 9 (10.1) | 5 (5.8) |
Class IVb | 12 (13.5) | 12 (14.0) |
Class V | 9 (10.1) | 8 (9.3) |
Baseline MGFA clinical classification, n (%) | ||
Class IIa | 24 (27.0) | 22 (25.6) |
Class IIb | 15 (16.9) | 17 (19.8) |
Class IIIa | 34 (38.2) | 22 (25.6) |
Class IIIb | 11 (12.4) | 19 (22.1) |
Class IVa | 4 (4.5) | 2 (2.3) |
Class IVb | 1 (1.1) | 4 (4.7) |
Baseline MG-ADL total score | ||
Mean (SD) | 8.9 (2.30) | 9.1 (2.62) |
Median (range) | 9.0 (6.0 to 15.0) | 9.0 (6.0 to 24.0) |
Baseline QMG total score | ||
Mean (SD) | 14.5 (5.26) | 14.8 (5.21) |
Median (range) | 14.0 (2.0 to 27.0) | 15.0 (6.0 to 39.0) |
Ventilator support any time before screening, n (%) | ||
Yes | 13 (14.6) | 17 (19.8) |
No | 76 (85.4) | 69 (80.2) |
MG exacerbation, including crisis events before screening, n (%) | ||
Yes | 57 (64.0) | 58 (67.4) |
No | 32 (36.0) | 28 (32.6) |
Total number of patients with MG exacerbations before screening | ||
n (%) | 53 (59.6) | 52 (60.5) |
Total number of patients taking MG medications at time of MG exacerbations | ||
n (%) | 51 (57.3) | 47 (54.7) |
Total number of MG exacerbations before screening | ||
n | 169 | 100 |
Total patient-years before screeninga | ||
Total patient-years | 887.0 | 846.8 |
Rate of MG exacerbations | ||
Number per 100 patient-years | 19.1 | 11.8 |
Total number of patients with MG crisis events before screeningb | ||
n (%) | 17 (19.1) | 21 (24.4) |
Total number of patients taking MG medications at time of MG crisis eventsb | ||
n (%) | 17 (19.1) | 19 (22.1) |
Total number of MG crisis events before screeningb | ||
n | 33 | 35 |
Rate of MG crisis eventsb | ||
Number per 100 patient-years | 3.7 | 4.1 |
gMG = generalized myasthenia gravis; MG = myasthenia gravis; MG-ADL = Myasthenia Gravis Activities of Daily Living; MGFA = Myasthenia Gravis Foundation of America; QMG = Quantitative Myasthenia Gravis; SD = standard deviation.
aTotal patient-years was defined as follows: ([informed consent date minus MG diagnosis date] plus 1) divided by 365.25.
bEvents of MG crisis before screening were documented based on the patient’s medical history.
Source: CHAMPION Clinical Study Report.13
Prior MG treatments in the CHAMPION trial are shown in Table 9. All patients had received prior MG therapy, nearly all patients had received pyridostigmine (93.1%), approximately three-quarters of patients (76.6%) had received corticosteroids, and approximately three-quarters of patients (77.1%) had received steroid-sparing ISTs. In the placebo arm, 80.9% of patients had previously received corticosteroids compared to 72.1% of patients in the ravulizumab arm. Nearly half of patients (43.4%) had received IVIg, approximately one-fifth of patients had received PE or PP (19.4%), and only 6.3% of patients had received rituximab.
Within 2 years before screening, 110 (62.9%) patients had received 2 or more ISTs, 56 (32.0%) patients had received 1 IST, and 9 (5.1%) patients had received no IST. At the first dose of study drug, 83 (47.4%) patients were receiving 2 or more ISTs, 74 (42.3%) patients were receiving 1 IST, and 18 (10.3%) patients were receiving no IST.
Table 9: Summary of Prior Myasthenia Gravis Treatments in the CHAMPION Trial — Safety Set
Treatmenta | Placebo (N = 89) | Ravulizumab (N = 86) |
|---|---|---|
Patients with any prior medication, n (%) | 89 (100.0) | 86 (100.0) |
Parasympathomimetics, n (%) | 83 (93.3) | 80 (93.0) |
Pyridostigmine bromide | 70 (78.7) | 66 (76.7) |
Pyridostigmine | 11 (12.4) | 14 (16.3) |
Immunosuppressants, n (%) | 71 (79.8) | 64 (74.4) |
Mycophenolate mofetil | 29 (32.6) | 28 (32.6) |
Azathioprine | 32 (36.0) | 23 (26.7) |
Tacrolimus | 13 (14.6) | 9 (10.5) |
Cyclosporine | 5 (5.6) | 7 (8.1) |
Corticosteroids for systemic use, n (%) | 72 (80.9) | 62 (72.1) |
Prednisone | 49 (55.1) | 41 (47.7) |
Prednisolone | 22 (24.7) | 20 (23.3) |
Methylprednisolone sodium succinate | 4 (4.5) | 5 (5.8) |
Immunoglobulins, n (%) | 40 (44.9) | 36 (41.9) |
Immunoglobulins NOS | 28 (31.5) | 22 (25.6) |
Immunoglobulin, human normal | 11 (12.4) | 13 (15.1) |
Other antineoplastic drugs, n (%) | 5 (5.6) | 6 (7.0) |
Rituximab | 5 (5.6) | 6 (7.0) |
PE or PP, n (%)b | 19 (21.3) | 15 (17.4) |
NOS = not otherwise specified; PE = plasma exchange; PP = plasmapheresis.
aTreatments used in 5% or more of patients in either treatment group are listed.
bPP or PE within 2 years before screening.
Source: CHAMPION Clinical Study Report.13
Patients received a body weight-based loading dose of ravulizumab (10 mg/mL concentrate) on day 1 as per the following:
40 kg or greater but less than 60 kg — 2,400 mg, with a minimum infusion time of 1.9 hours
60 kg or greater but less than 100 kg — 2,700 mg, with a minimum infusion time of 1.7 hours
100 kg or greater — 3,000 mg, with a minimum infusion time of 1.8 hours.
Subsequently, patients received body weight-based maintenance doses of ravulizumab on day 15 and every 8 weeks (± 2 days) thereafter during the randomized controlled period (week 10 and week 18) as per the following:
40 kg or greater but less than 60 kg — 3,000 mg, with a minimum infusion time of 2.3 hours
60 kg or greater but less than 100 kg — 3,300 mg, with a minimum infusion time of 2.0 hours
100 kg or greater — 3,600 mg, with a minimum infusion time of 2.2 hours.
Supplemental doses of ravulizumab were administered if IVIg, PE, or PP rescue therapy was provided on nondosing days (no supplemental drug was given if rescue therapy was provided prior to study drug administration on a dosing day). Supplemental ravulizumab was administered within 4 hours of each PE or PP session or within 4 hours of the completion of each IVIg cycle. A fixed dose of 600 mg of ravulizumab was administered following IVIg (minimum infusion time 0.4 hours to 0.5 hours). Patients received a body weight-based supplemental dose of ravulizumab following PE or PP as per the following:
40 kg or greater but less than 60 kg — most recent dose being 2,400 mg, therefore supplemental dose of 1,200 mg, with minimum infusion time of 1.0 hour; most recent dose being 3,000 mg, therefore supplemental dose of 1,500 mg, with minimum infusion time of 1.2 hours
60 kg or greater but less than 100 kg — most recent dose being 2,700 mg, therefore supplemental dose of 1,500 mg, with minimum infusion time of 1.0 hour; most recent dose being 3,300 mg, therefore supplemental dose of 1,800 mg, with minimum infusion time of 1.1 hours
100 kg or greater — most recent dose being 3,000 mg, therefore supplemental dose of 1,500 mg, with minimum infusion time of 1.0 hour; most recent dose being 3,600 mg, therefore supplemental dose of 1,800 mg, with minimum infusion time of 1.1 hours.
The matching placebo, consisting of a sterile clear solution in an identically packaged 30 mL vial, was administered on the same schedule. All investigative site personnel, sponsor staff, designees, staff directly associated with the conduct of the study, and patients were blinded to treatment assignment.
The matching placebo, consisting of a sterile clear solution in an identically packaged 30 mL vial, was administered on the same schedule. All investigative site personnel, sponsor staff, designees, staff directly associated with the conduct of the study, and patients were blinded to treatment assignment.
Allowed concomitant medications included AChEIs, immunosuppressive drugs (corticosteroids, azathioprine, mycophenolate, methotrexate, tacrolimus, cyclosporine, cyclophosphamide), and rescue therapy with IVIg, PE, or PP. Patients who entered the study receiving AChEIs were to maintain the dose and schedule unless there was a compelling medical need; AChEIs were withheld for at least 10 hours prior to QMG and MGC assessments. Patients who entered the study receiving corticosteroids or IST were to maintain the dose and schedule; dose changes needed to be authorized by the sponsor and corticosteroid dose increases could not exceed the dose at baseline. Disallowed concurrent medications included rituximab and eculizumab (or other complement inhibitors).
Rescue therapy with IVIg, PE, or PP could be administered for clinical deterioration, defined per protocol as 1 of the following:
an MG crisis (respiratory muscle weakness severe enough to necessitate intubation or delay extubation following surgery, often accompanied by severe bulbar muscle weakness)
a significant symptomatic worsening to a score of 3 points or a 2-point worsening from baseline on any 1 of the individual MG-ADL items other than double vision or eyelid droop
patient health would be in jeopardy if rescue therapy were not given, in the opinion of the investigator or investigator-designated physician.
A list of efficacy end points identified in the CADTH review protocol that were assessed in the CHAMPION trial is provided in Table 10. These end points are briefly summarized as follows (categorized according to the end points identified in the CADTH review protocol). A detailed discussion and critical appraisal of the outcome measures and their measurement properties is provided in Appendix 2.
Table 10: Summary of Outcomes of Interest Identified in the CADTH Review Protocol
Outcome measure | CHAMPION study |
|---|---|
Change from baseline in MG-ADL25 at week 26 of the randomized controlled period | Primary |
Change from baseline in QMG26 total score at week 26 | Secondary |
Improvement of at least 5 points in the QMG26 total score from baseline at week 26 | Secondary |
Change from baseline in the MG-QoL15r27 score at week 26 | Secondary |
Change from baseline in Neuro-QoL13 Fatigue score at week 26 | Secondary |
Improvement of at least 3 points in the MG-ADL25 total score from baseline at week 26 | Secondary |
Change from baseline in the MGC28 score at week 26 | Exploratory |
MGFA-PIS15 at week 26 | Exploratory |
Change from baseline in EQ-5D-5L29 at week 26 | Exploratory |
Change from baseline in MG-ADL25 subcomponent scores (bulbar, limbs, respiratory, and ocular) at week 26 | Exploratory |
Change from baseline in QMG26 subcomponent scores (bulbar, limbs, respiratory, and ocular) at week 26 | Exploratory |
Incidence of hospitalizations and MG-related hospitalizations, including need for ventilator support | Exploratory |
Incidence of clinical deterioration and MG crisis | Exploratory |
EQ-5D-5L = 5-Level EQ-5D; MG = myasthenia gravis; MG-ADL = Myasthenia Gravis Activities of Daily Living; MG-QoL15r = Myasthenia Gravis Quality of Life 15-item scale - Revised; MGC = Myasthenia Gravis Composite; MGFA-PIS = Myasthenia Gravis Foundation of America Post-intervention Status; Neuro-QoL = Quality of Life in Neurological Disorders; QMG = Quantitative Myasthenia Gravis.
Source: CHAMPION Clinical Study Report.13
The MG-ADL25 is an 8-item patient-reported outcome measure assessing MG symptoms and functional activities related to activities of daily living and produces a total score ranging from 0 to 24, where higher scores indicate greater severity of symptoms and a more significant impact on daily living. Each of the 8 subcomponents is scored from 0 to 3, where higher scores indicate greater severity of symptoms and greater impact on daily living. The recall period is the preceding 7 days. The validity of the MG-ADL instrument in patients with MG was demonstrated by strong correlations with MGC and Myasthenia Gravis Quality of Life 15-item scale (MG-QoL15) scores as well as with physician impression of change. Reliability was demonstrated by high test-retest concordance and responsiveness to change was demonstrated by correlations between improvements in MG-ADL total score, improvements in MG-QoL15 score, and physician impression of change. Although no MID has been estimated, an improvement of approximately 2 points in the total MG-ADL score is a recommended response threshold that indicates clinical improvement at the level of individual patients with MG. No MIDs have been estimated for the subcomponent scores. Change from baseline in MG-ADL total score at week 26 of the randomized controlled period was the primary outcome of the CHAMPION trial, while the proportion of patients experiencing improvements of at least 3 points in MG-ADL total score at week 26 was a secondary outcome. Change from baseline in MG-ADL subcomponent scores (bulbar, limbs, respiratory, and ocular) at week 26 was an exploratory outcome.
The QMG26 is a 13-item direct physician assessment scoring system that quantifies MG disease severity, based on impairments of body functions and structures; it produces a total QMG score ranging from 0 to 39, where higher scores indicate greater disease severity. Each of the 13 subcomponents is scored from 0 to 3, where higher scores indicate greater disease severity. The validity of the QMG instrument in patients with MG was demonstrated by correlations with the manual muscle test (MMT); reliability was demonstrated by high internal consistency and test-retest concordance, and responsiveness to change was demonstrated by correlations between improvements in QMG total score and physician impression of change, as well as evidence from clinical trials of IVIg and cyclosporine showing greater improvements in the active arms compared with the placebo arms. An MID of approximately 3 points has been estimated at the level of individual patients with MG. No MIDs have been estimated for the subcomponent scores. Change from baseline in QMG total score at week 26 of the randomized controlled period and the proportion of patients with improvements of at least 5 points in QMG total score at week 26 were secondary outcomes of the CHAMPION trial. Change from baseline in QMG subcomponent scores (bulbar, limbs, respiratory, and ocular) at week 26 was an exploratory outcome.
The MGC28 is a 10-item instrument that measures the symptoms and signs of MG based on physician examination and patient history. The total score ranges from 0 to 50, where higher scores indicate more severe impairments. The validity of the MGC instrument in patients with MG was demonstrated by strong correlations with the MG-QoL15 score, MG-ADL total score, and MMT score; reliability was demonstrated by high internal consistency and test-retest concordance. Responsiveness to change of the MGC score has not been assessed in patients with MG. A 3-point improvement in the MGC score reflects a meaningful improvement at the level of individual patients with MG. MGC was an exploratory outcome in the CHAMPION trial.
The MGFA-PIS15 is designed to assess the clinical state of patients with MG after they have received treatment. It provides the physician’s global assessment of the patient’s clinical status. MGFA-PIS does not have an evaluative purpose and is aimed at stratifying patients based on disease severity and locations of symptoms; therefore, its measurement properties (validity, reliability, responsiveness to change, and MID) are unknown. MGFA-PIS at week 26 was an exploratory outcome in the CHAMPION trial.
The incidence and duration of hospitalizations and MG-related hospitalizations, including requirement for ventilator support, was an exploratory outcome in the CHAMPION trial. Information on ICU admissions was not available.
Change in concomitant MG medications was not an efficacy outcome in the CHAMPION trial but this information was collected during the trial.
The frequency of clinical deterioration and need for rescue therapy (IVIg, PE, or PP) was an exploratory outcome in the CHAMPION trial.
The MG-QoL1530 is a 15-item questionnaire that allows clinicians to estimate a patient’s MG-specific HRQoL. The MG-QoL15 score ranges from 0 to 60, with higher scores representing worse HRQoL. MG-QoL15r27 is a revised version of the MG-QoL15, in which 3 items from the original MG-QoL15 scale were reworded to improve the instrument’s clinimetric properties and face and content validity. The validity of the original MG-QoL15 instrument was demonstrated by strong correlations with MGC score and the physical and mental components of the Short Form (36) Health Survey, as well as moderate correlations with the QMG total score, MG-ADL total score, and the MMT. The reliability of the original MG-QoL15 instrument was demonstrated by high internal consistency and test-retest concordance, while responsiveness to change has not been studied. The validity of the revised MG-QoL15r instrument was demonstrated by correlations with the MG-ADL total score, QMG total score, MGC score, and MGFA clinical classification. The reliability of the revised MG-QoL15r instrument was demonstrated by high internal consistency, while responsiveness to change was demonstrated by correlations between changes in the MG-QoL15r score and changes in the QMG total score, MG-ADL total score, and MGC score. The MID has not been estimated for either the original or revised instrument. Change from baseline in the MG-QoL15r score at week 26 of the randomized controlled period was a secondary outcome in the CHAMPION trial.
The Neuro-QoL13 Fatigue score is a patient-reported, generic, 19-item survey of fatigue. Scores range from 19 to 95, where higher scores indicate greater fatigue and greater impact of MG on activities. The measurement properties of the Neuro-QoL Fatigue score have only been studied in patients with refractory gMG participating in the REGAIN trial of eculizumab. The validity of the Neuro-QoL Fatigue score in patients with refractory gMG was demonstrated by strong correlations with MG-QoL15 scores, while variable (strong to weak) correlations were observed between the Neuro-QoL Fatigue score, MG-ADL total score, and QMG total score. The reliability and responsiveness to change in the Neuro-QoL Fatigue assessment in patients with MG have not been investigated. The MID has not been estimated in patients with MG. Change from baseline in the Neuro-QoL Fatigue score at week 26 of the randomized controlled period was a secondary outcome in the CHAMPION trial.
The EQ-5D-5L29 is a generic preference-based HRQoL instrument, consisting of the EQ visual analogue scale (EQ VAS) and a composite index score. EQ VAS scores range from 0 (worst imaginable health) to 100 (best imaginable health), while index scores range from less than 0 (negative values representing worse than dead, which is scored as 0) to 1 (full health), with higher scores representing higher health utility. The measurement properties of the EQ-5D-5L instrument have not been studied in patients with MG and the MID has not been estimated. Change from baseline in EQ-5D-5L at week 26 of the randomized controlled period was an exploratory outcome in the CHAMPION trial.
Harms outcomes included treatment-emergent AEs, SAEs, AEs leading to infusion interruption, WDAEs, and deaths. AEs that began or worsened on or after the start of protocol therapy until the end of the randomized controlled period (week 26, 8 weeks after the last study drug infusion) were captured. The only AE of special interest was meningococcal infection. AEs were defined as any untoward medical occurrence and were coded according to Medical Dictionary for Regulatory Activities version 24.031 and graded according to the National Cancer Institute’s Common Terminology Criteria for Adverse Events version 5.0.32
Statistical analysis of efficacy outcomes in the CHAMPION trial is summarized in Table 11. No interim analyses were planned and the primary analysis was to be conducted once the last patient completed the randomized controlled period, the database was locked, and the study was unblinded.
Table 11: Statistical Analysis of Efficacy End Points in the CHAMPION Trial
End point | Position in statistical hierarchy | Statistical model | Adjustment factors | Handling of missing data | Sensitivity analyses |
|---|---|---|---|---|---|
Change from baseline in MG-ADL at week 26 of the randomized controlled period | 1 (2-sided alpha = 0.05) | MMRM (FAS) with comparison of LSMs | Fixed categorical effects of treatment, study visit, treatment-by-study-visit interaction, and the randomization stratification variable of geographic region; fixed covariate of baseline MG-ADL total score |
|
|
Change from baseline in QMG total score at week 26 | 2 (2-sided alpha = 0.05) | As per primary analysis | As per primary analysis (using baseline QMG total score) | As per primary analysis |
|
Improvement of at least 5 points in the QMG total score from baseline at week 26 | 3 (2-sided alpha = 0.05) |
| Fixed categorical effects of treatment, study visit, treatment-by-study-visit interaction, and the randomization stratification variable of geographic region; fixed covariate of baseline QMG total score | MAR assumption (GLMM) |
|
Change from baseline in the MG-QoL15r score at week 26 | 4 (2-sided alpha = 0.05) | As per primary analysis | As per primary analysis (using baseline MG-QoL15r score) | As per primary analysis |
|
Change from baseline in Neuro-QoL Fatigue score at week 26 | 5 (2-sided alpha = 0.05) | As per primary analysis | As per primary analysis (using baseline Neuro-QoL Fatigue score) | As per primary analysis |
|
Improvement of at least 3 points in the MG-ADL total score from baseline at week 26 | 6 (2-sided alpha = 0.05) |
| Fixed categorical effects of treatment, study visit, treatment-by-study-visit interaction, and the randomization stratification variable of geographic region; fixed covariate of baseline MG-ADL total score | MAR assumption (GLMM) |
|
Change from baseline in the MGC score at week 26 | Not included | As per primary analysis | As per primary analysis (using baseline MGC score) | As per primary analysis | None |
MGFA-PIS at week 26 | Not included | Proportional OR of the cumulative proportions over the ordinal categories (starting from the best outcome) | None | CCA | None |
Change from baseline in EQ-5D-5L at week 26 | Not included | As per primary analysis | As per primary analysis (using baseline EQ-5D-5L index and EQ VAS score) | As per primary analysis | None |
Change from baseline in MG-ADL subcomponent scores (bulbar, limbs, respiratory, and ocular) at week 26 | Not included | As per primary analysis | As per primary analysis (using baseline MG-ADL subcomponent scores) | As per primary analysis | None |
Change from baseline in QMG subcomponent scores (bulbar, limbs, respiratory, and ocular) at week 26 | Not included | As per primary analysis (using baseline QMG subcomponent scores) | As per primary analysis | None | |
Incidence of hospitalizations and MG-related hospitalizations | Not included |
| Treatment group, region | MAR assumption | None |
Incidence of clinical deterioration and MG crisis | Not included |
| Treatment group, region | MAR assumption | None |
CCA = complete case analysis; EQ VAS = EQ visual analogue scale; EQ-5D-5L = 5-Level EQ-5D; FAS = full analysis set; GLMM = generalized linear mixed model; LSM = least squares mean; MAR = missing at random; mFAS = modified full analysis set; MG = myasthenia gravis; MG-ADL = Myasthenia Gravis Activities of Daily Living; MG-QoL15r = Myasthenia Gravis Quality of Life 15-item scale - Revised; MGC = Myasthenia Gravis Composite; MGFA-PIS = Myasthenia Gravis Foundation of America Post-intervention Status; MMRM = mixed model of repeated measures; MNAR = missing not at random; Neuro-QoL = Quality of Life in Neurological Disorders; OR = odds ratio; PPS = per-protocol set; QMG = Quantitative Myasthenia Gravis.
Source: CHAMPION Clinical Study Report.13
The planned sample size of approximately 160 patients (randomized 1:1 to receive ravulizumab or placebo, stratified by region) was selected to ensure at least 90% nominal power to reject the null hypotheses of no treatment difference for the primary and secondary end points at a 2-sided alpha level of 0.05 and based on a t-statistic for 2 independent samples. Power calculations were based on longitudinal change from baseline in the MG-ADL total score observed in the REGAIN trial;33 the difference between the eculizumab and placebo arms in mean change (95% CI) from baseline to week 26 in the MG-ADL total score was estimated to be –1.9 (–3.27 to 0.55) and the estimated common SD was 3.7. It was assumed that the CHAMPION trial would provide similar results. A simulation-based approach was also used to verify sample size calculations. A large number of virtual datasets were generated in which 160 patients (80 patients in the ravulizumab arm and 80 patients in the placebo arm) each had a baseline MG-ADL total score and longitudinal change in the MG-ADL total score generated according to the treatment-specific variance-covariance structure from the REGAIN study. The empirical power was calculated as the proportion of simulations that rejected the null hypothesis using the analytical techniques described as follows. Power calculations for secondary outcomes were not provided.
Type I error was controlled using a closed-loop hierarchical testing strategy to limit the overall 2-sided type I error rate to alpha being equal to 0.05. Between the primary and secondary efficacy outcomes, and within the secondary outcomes, a sequential hypothesis testing procedure was used for multiplicity adjustment. The primary outcome (change in the MG-ADL total score from baseline to week 26) was tested first, followed by 5 secondary outcomes in the following order: (1) change in QMG total score from baseline to week 26, (2) proportion of patients with improvements of at least 5 points in the QMG total score from baseline to week 26, (3) change in the MG-QoL15r score from baseline to week 26, (4) change in the Neuro-QoL Fatigue score from baseline to week 26, and (5) the proportion of patients with improvements of at least 3 points in the MG-ADL total score from baseline to week 26. All null hypotheses were tested at alpha being equal to 0.05. If statistical significance was not achieved for an end point within the hierarchy, subsequent end points in the prespecified order were not to be considered statistically significant and all P values were considered nominal. Exploratory efficacy outcomes were not included in the hierarchical testing strategy and statistical tests of these outcomes were not adjusted for multiplicity.
For the primary analysis of change from baseline in the MG-ADL total score at week 26, the LSM change in the ravulizumab and placebo arms (full analysis set [FAS]) was compared via the LSM difference using the mixed model of repeated measures (MMRM) method. The model included MG-ADL change from baseline as the response variable, fixed categorical effects of treatment, study visit, and treatment-by-study-visit interaction, the randomization stratification variable of geographical region, and the fixed covariate of baseline MG-ADL total score. An unstructured covariance matrix was used to model correlations among repeated measurements within each patient. If this analysis failed to converge, the following structures were tested and the final covariance structure determined using the Akaike information criterion: first-order autoregressive, compound symmetry, and Toeplitz method. For the primary analysis, missing data were not imputed.
The secondary outcomes of change from baseline in the QMG total score, MG-QoL15r score, and Neuro-QoL Fatigue score at week 26 were analyzed as per the primary analysis (using the baseline values of each score as fixed covariates). For the secondary outcomes of the proportions of patients with improvements from baseline of at least 3 points in the MG-ADL total score and of at least 5 points in the QMG total score at week 26, the proportions of patients with various point reductions were analyzed using the generalized linear mixed model method. The models included the MG-ADL 3-point and QMG 5-point responses at postdosing visits as response variables, fixed categorical effects of treatment, study visit, and treatment-by-study visit interactions, the randomization stratification variable of geographic region, and a fixed covariate of baseline MG-ADL total score or QMG total score as continuous variables. An unstructured covariance matrix was used to model the correlations among repeated measurements within each patient; if the analysis failed to converge, a first-order autoregressive structure in which the highest correlation assumed between visits that were closest in time was used. ORs of treatment effect along with 2-sided 95% CIs and P values were calculated.
The exploratory outcomes of changes from baseline in MG-ADL subcomponent scores, QMG subcomponent scores, the MGC score, and the EQ-5D-5L VAS and index score at week 26 were analyzed as per the primary analysis. For the exploratory outcome of MGFA-PIS at week 26, descriptive and summary statistics were presented; in addition, the proportional OR of the cumulative proportions of patients within ordinal categories was calculated. For the exploratory outcomes of incidence of hospitalization, MG-related hospitalization, clinical deterioration, and MG crisis, descriptive and summary statistics were presented; in addition, ORs were calculated using logistic regression models that included treatment group and geographical region.
For all analyses, baseline was defined as the last available assessment before the first study drug infusion. If the day 1 assessment was missing, the last screening assessment was used.
Sensitivity analyses of the primary outcome only included a placebo-based analysis and a tipping point analysis. In the placebo-based analysis, for patients who discontinued treatment, responses after treatment discontinuation in both arms were imputed using multiple imputation, based on the responses observed for the placebo arm. Markov chain Monte Carlo (MCMC) imputation was used to fill in the intermittent missing values; subsequently, multiple imputation was performed at each visit sequentially using a regression method obtained from placebo-treated patients with terms for baseline MG-ADL total score and the randomization stratification variable of geographic region. For the tipping point analysis, a search was conducted for a tipping point that reversed the study conclusion from being favourable to ravulizumab to being unfavourable. MCMC imputation was used to fill in the intermittent missing values; subsequently, imputations were performed for missing change observations at every visit sequentially for ravulizumab-treated patients, assuming that they received the treatment effect minus a shift parameter delta. The adjustment was applied to the first unobserved outcome from ravulizumab. After obtaining complete datasets for multiple shift parameters, the complete datasets were used in MMRM analysis and an overall test statistic was obtained for each shift value. Multiple shift parameters were tested until the inference concluded that statistical significance disappeared.
Sensitivity analyses of both the primary and secondary outcomes included identical MMRM analyses conducted in the per-protocol set (PPS) and the modified full analysis set (mFAS) as well as MMRM analysis excluding randomization stratification region and MMRM analysis including rescue therapy received in the model.
Subgroup analyses were performed for all secondary outcomes as per the primary analysis using an MMRM, except with an additional subgroup covariate by treatment interaction. The following subgroups were prespecified in the statistical analysis plan: geographic region (Asia-Pacific, Europe, Japan, or North America), sex (male or female), race (Asian, white, or other), age at first study drug infusion (18 years to 65 years or older than 65 years), IST use at baseline (corticosteroids only, corticosteroids and IST, IST only, or none), time from diagnosis to informed consent (median time or less versus greater), baseline MGFA classification (class II, class III, or class IV), and baseline body weight (40 kg or greater but less than 60 kg, 60 kg or greater but less than 100 kg, or 100 kg or greater). Of the prespecified subgroups, IST use at baseline and baseline MGFA classification were identified as being of interest in the CADTH review protocol. The study was not specifically powered to evaluate differences in outcomes among the individual strata.
The FAS included all patients who received at least 1 dose of the study drug; patients were analyzed according to the treatment they were randomized to receive, regardless of the treatment received. The PPS included all patients in the FAS without any major protocol deviations during the randomized controlled period and who met the following criteria:
did not miss any doses of the study drug during the randomized controlled period
met the following inclusion criteria that might affect efficacy —
were diagnosed with MG at least 6 months before screening
had a confirmed MG diagnosis
were MGFA class II to class IV
had stable doses of MG treatments during the time periods specified per protocol
did not meet the following exclusion criteria that might affect efficacy —
had active or untreated thymoma or a history of thymic carcinoma or thymic malignancy
had a history of thymectomy, thymectomy, or any thymic surgery within 12 months of screening
had clinical features consistent with MG crisis, MG exacerbation, or clinical deterioration during screening
had taken prohibited medications during the time periods specified per protocol
had previous treatment with a complement inhibitor
had participated in another interventional treatment study or used any experimental therapy within the time period specified per protocol
had no major protocol deviations as described below that might affect efficacy —
did not receive incorrect randomized treatment
did not take AChEIs within 10 hours before QMG and MGC measurements at baseline and week 26
did not receive rescue therapy on day 1
did not have changes in background MG medication per protocol
did not have unblinding of treatment allocation by the investigator.
The mFAS included all patients in the FAS who were not impacted by COVID-19 during the randomized controlled period. The safety set included all patients who received at least 1 dose of study drug; patients were analyzed according to the treatment they actually received, and must have received that treatment for the entire duration of the randomized controlled period.
Patient disposition in the CHAMPION trial is summarized in Table 12. Among 242 patients screened, 175 (72.3%) patients were randomized and 67 (27.7%) patients were screen failures. The most common reasons for screen failure were not having a positive serologic test for anti-AChR antibodies (25 [10.3%] patients) and an MG-ADL score of less than 6 (16 [6.6%] patients). All of the 175 randomized patients were treated with the study drug.
Thirteen of 175 (7.4%) randomized patients withdrew from the study before completing the randomized controlled period (6 patients in the placebo arm and 7 patients in the ravulizumab arm). The most common reasons for discontinuation were patient decision (3 patients), physician decision (3 patients), death (2 patients), and AEs (2 patients). Overall, 158 (90.3%) patients entered the OL extension period.
Table 12: Patient Disposition in the CHAMPION Trial
Characteristic | Placebo | Ravulizumab |
|---|---|---|
Screened, N | 242 | |
Randomized, N (%) | 89 (100.0) | 86 (100.0) |
Treated, n (%) | 89 (100.0) | 86 (100.0) |
Discontinued from study, n (%) | 6 (6.7) | 7 (8.1) |
Reason for discontinuation, n (%) | ||
Death | 0 | 2 |
Patient decision | 1 (1.1) | 2 (2.3) |
Noncompliance | 0 | 1 (1.2) |
Physician decision | 2 (2.2) | 1 (1.2) |
AE | 2 (2.2) | 0 |
Protocol violation | 0 | 1 (1.2) |
Other | 1 (1.1) | 0 |
Entered OL extension period, n (%) | 81 (91.0) | 77 (89.5) |
FAS, N | 89 | 86 |
mFAS, N | 85 | 80 |
PPS, N | 79 | 76 |
Safety set, N | 89 | 86 |
AE = adverse event; FAS = full analysis set; mFAS = modified full analysis set; OL = open-label; PPS = per-protocol set.
Source: CHAMPION Clinical Study Report.13
Important protocol deviations in the CHAMPION trial are summarized in Table 13. Overall, 41 (23.4%) patients had important protocol deviations. The most common important protocol deviations were related to investigational product (12 [6.9%] patients; 11 patients had missed or mistimed doses), study procedures or tests (15 [8.6%] patients; 9 patients received AChEIs within 10 hours of QMG or MGC assessments), and safety reporting (11 [6.3%] patients; all were due to delayed reporting of SAEs).
Table 13: Patients With Important Protocol Deviations During the Randomized Controlled Period in the CHAMPION Trial — Full Analysis Set
Deviation, n (%) | Placebo (N = 89) | Ravulizumab (N = 86) | ||
|---|---|---|---|---|
Overall | COVID-19– related | Overall | COVID-19–related | |
At least 1 deviation | 21 (23.6) | 7 (7.9) | 20 (23.3) | 3 (3.5) |
Eligibility and entry criteria | 0 | 0 | 2 (2.3) | 0 |
Investigational product | 8 (9.0) | 5 (5.6) | 4 (4.7) | 3 (3.5) |
Concomitant medication | 1 (1.1) | 0 | 2 (2.3) | 0 |
Informed consent | 0 | 0 | 3 (3.5) | 0 |
Study procedures or tests | 8 (9.0) | 3 (3.4) | 7 (8.1) | 1 (1.2) |
Randomization | 1 (1.1) | 0 | 0 | 0 |
Safety reporting | 6 (6.7) | 0 | 5 (5.8) | 0 |
Source document | 1 (1.1) | 1 (1.1) | 0 | 0 |
Source: CHAMPION Clinical Study Report.13
Treatment exposure in the CHAMPION study is summarized in Table 14. Study drug adherence was 100% in 94.4% of patients in the placebo arm and 96.5% of patients in the ravulizumab arm.
Exposure to concomitant MG therapies in the CHAMPION study is summarized in Table 15. Almost all patients (174 of 175 [99.4%] patients) received concomitant MG therapy during the trial. Approximately three-quarters of patients (78.7%) in the placebo arm and approximately five-sixths of patients (83.7%) in the ravulizumab arm received concomitant pyridostigmine. Approximately two-thirds (70.8%) of both patients in the placebo arm and the ravulizumab arm (64.1%) received concomitant ISTs. Approximately three-quarters of patients (74.2%) in the placebo arm and approximately two-thirds of patients (66.3%) in the ravulizumab arm received corticosteroids. In the placebo arm, 13 (14.6%) patients received IVIg and 1 (1.1%) patient received PE or PP rescue therapy. In the ravulizumab arm, 5 (5.8%) patients received IVIg and 2 (2.3%) patients received PE or PP rescue therapy.
Table 14: Exposure to Study Drug During the Randomized Controlled Period of the CHAMPION Trial — Full Analysis Set
Variable | Placebo (N = 89) | Ravulizumab (N = 86) |
|---|---|---|
Study duration from informed consent, daysa | ||
Mean (SD) | 198.9 (27.40) | 202.5 (22.61) |
Median (range) | 205.0 (60.0 to 218.0) | 205.0 (40.0 to 240.0) |
Treatment duration, daysb | ||
Mean (SD) | 176.5 (27.20) | 179.6 (22.39) |
Median (range) | 183.0 (46.0 to 201.0) | 183.0 (14.0 to 222.0) |
Total dose administered (mg) | ||
Mean (SD) | 3.4 (31.80)c | 12,758.5 (1,946.72) |
Median (range) | 0.0 (0.0 to 300.0)c | 12,600.0 (2,700.0 to 20,400.0) |
Number of infusions per patient | ||
Mean (SD) | 4.1 (1.21) | 4.0 (0.77) |
Median (range) | 4.0 (1.0 to 12.0) | 4.0 (1.0 to 8.0) |
Total number of patients who received supplemental doses | ||
n (%) | 12 (13.5) | 7 (8.1) |
Total number of patients with any missed infusions | ||
n (%) | 5 (5.6) | 3 (3.5) |
Total number of patients with an infusion interruption | ||
n (%) | 5 (5.6) | 10 (11.6) |
Study drug adherence, n (%)d | ||
≥ 100% | 84 (94.4) | 83 (96.5) |
≥ 90% to < 100% | 1 (1.1) | 0 |
≥ 80% to < 90% | 3 (3.4) | 0 |
≥ 70% to < 80% | 1 (1.1) | 1 (1.2) |
≥ 60% to < 70% | 0 | 0 |
≥ 50% to < 60% | 0 | 1 (1.2) |
≥ 40% to < 50% | 0 | 1 (1.2) |
SD = standard deviation.
aStudy duration is the date of completion of the randomized controlled period or discontinuation minus the date of informed consent, plus 1.
bTreatment duration is the date of completion of randomized controlled period or discontinuation minus the first study drug infusion date, plus 1.
cOne patient in the placebo group received a dose of ravulizumab on day 15.
dCalculation of drug compliance was defined to reflect the percentage of time during the randomized controlled period that the patient was considered to have complete terminal complement inhibition. Percentage compliance is equal to 100% minus the sum (percentage of time patients were noncompliant with scheduled doses during the randomized controlled period [excluding day 183 infusion]).
Source: CHAMPION Clinical Study Report.13
Table 15: Summary of Concomitant Myasthenia Gravis Treatments During the Randomized Controlled Period in the CHAMPION Trial — Safety Set
Treatmenta | Placebo (N = 89) | Ravulizumab (N = 86) |
|---|---|---|
Patients with any concomitant medication, n (%) | 89 (100.0) | 85 (98.8) |
Parasympathomimetics, n (%) | 70 (78.7) | 72 (83.7) |
Pyridostigmine bromide | 58 (65.2) | 57 (66.3) |
Pyridostigmine | 10 (11.2) | 13 (15.1) |
Immunosuppressants, n (%) | 63 (70.8) | 56 (65.1) |
Mycophenolate mofetil | 24 (27.0) | 23 (26.7) |
Azathioprine | 22 (24.7) | 18 (20.9) |
Tacrolimus | 11 (12.4) | 8 (9.3) |
Cyclosporine | 4 (4.5) | 6 (7.0) |
Corticosteroids for systemic use, n (%) | 66 (74.2) | 57 (66.3) |
Prednisone | 43 (48.3) | 36 (41.9) |
Prednisolone | 22 (24.7) | 21 (24.4) |
Immunoglobulins, n (%) | 13 (14.6) | 5 (5.8) |
Immunoglobulins NOS | 9 (10.1) | 3 (3.5) |
Immunoglobulin, human normal | 4 (4.5) | 2 (2.3) |
PE or PP, n (%) | 1 (1.1) | 2 (2.3) |
NOS = not otherwise specified; PE = plasma exchange; PP = plasmapheresis.
aTreatments used in 5% or more of patients in either treatment group are listed.
Source: CHAMPION Clinical Study Report.13
Only those efficacy outcomes and analyses of subgroups identified in the review protocol are reported as follows. Refer to Appendix 3 for detailed efficacy data (sensitivity and subgroup analyses of primary and secondary outcomes).
Change from baseline in the MG-ADL total score at week 26 of the randomized controlled period was the primary outcome of the CHAMPION trial. Change from baseline in the MG-ADL total score during the randomized controlled period and at week 26 is shown in Figure 3 and Table 16. At week 26, the LSM change in the MG-ADL total score in the placebo arm was –1.4 (95% CI, –2.1 to –0.7) versus –3.1 (95% CI, –3.8 to –2.3) in the ravulizumab arm. The LSM difference in the MG-ADL total score between the ravulizumab and placebo arms was –1.6 (95% CI, –2.6 to –0.7; P = 0.0009).
Sensitivity analyses were consistent with the primary analysis (refer to Appendix 3). Subgroup analyses of IST use at baseline and MGFA clinical classification were prespecified in the CHAMPION trial and were identified as being of interest in the CADTH review protocol. The LSM difference in changes from baseline in MG-ADL total score at week 26 were consistent with the main analysis for all subgroups (refer to Appendix 3). The LSM difference in changes from baseline in MG-ADL subcomponent scores at week 26 of the randomized controlled period numerically favoured ravulizumab for respiratory and ocular subcomponents and, to a lesser extent, bulbar and limb subcomponents (refer to Appendix 3).
Figure 3: Change From Baseline in MG-ADL Total Score During the Randomized Controlled Period of the CHAMPION Trial — Full Analysis Set
BL = baseline; MG-ADL = Myasthenia Gravis Activities of Daily Living.
Note: Baseline was defined as the last available assessment value before the first study drug infusion. Nominal P values are indicated as follows: * indicates a P value of less than 0.05, ** indicates a P value of less than 0.01, and *** indicates a P value of less than 0.001. Note that only the test of change from baseline at week 26 was part of the statistical hierarchy; for the other time points, there was an increased risk of type I error.
Source: CHAMPION Clinical Study Report.13
Table 16: Change From Baseline to Week 26 of the Randomized Controlled Period in MG-ADL Total Score in the CHAMPION Trial — Full Analysis Set
Statistic | Placebo (N = 89) | Ravulizumab (N = 86) | LSM difference (ravulizumab vs. placebo) | P value |
|---|---|---|---|---|
n | 82 | 78 | –1.6 (0.49) | 0.0009 |
LSM change or difference (SEM) | –1.4 (0.37) | –3.1 (0.38) | ||
95% CI for LSM change or difference | –2.1 to –0.7 | –3.8 to –2.3 | –2.6 to –0.7 |
CI = confidence interval; LSM = least squares mean; MG-ADL = Myasthenia Gravis Activities of Daily Living; SEM = standard error of the mean; vs. = versus.
Source: CHAMPION Clinical Study Report.13
The proportion of patients with improvements of at least 3 points in the MG-ADL total score at week 26 of the randomized controlled period was a secondary (hierarchically tested) outcome of the CHAMPION trial. Note that this outcome was tested after a prior nonsignificant result of the hierarchical testing procedure and, thus, P values were considered nominal. The proportion of patients with various point reductions in their MG-ADL total score from baseline to week 26 is shown in Figure 4. The adjusted percentage of patients with improvements of at least 3 points in their MG-ADL total score at week 26 was 56.7% (95% CI, 44.3% to 68.3%) in the ravulizumab arm and 34.1% (95% CI, 23.8% to 46.1%) in the placebo arm (OR of at least a 3-point improvement = 2.526; 95% CI, 1.330 to 4.799).
Sensitivity analyses in the PPS and mFAS were consistent with the main analysis (refer to Appendix 3). Subgroup analyses of IST use at baseline and MGFA clinical classification were prespecified in the CHAMPION trial and were identified as being of interest in the CADTH review protocol. The ORs of at least a 3-point improvement in the MG-ADL total score at week 26 were consistent with the main analysis for all subgroups (refer to Appendix 3).
The proportion of patients with improvements of at least 2 points in their MG-ADL total score (a recognized response threshold that indicates clinical improvement) at week 26 was 63.9% (95% CI, 51.7% to 74.6%) in the ravulizumab arm and 53.0% (95% CI, 41.1% to 64.6%) in the placebo arm (OR of at least a 2-point improvement = 1.569; 95% CI, 0.833 to 2.955).
Figure 4: Proportion of Patients With Various Point Reductions in MG-ADL Total Score at Week 26 — Full Analysis Set
MG-ADL = Myasthenia Gravis Activities of Daily Living.
Note: Baseline was defined as the last available assessment value before the first study drug infusion. Nominal P values shown on the left were from tests either following a nonsignificant result of an earlier test in the sequential testing order of the statistical hierarchy (MG-ADL improvements of 3 points or more) or outside of the statistical hierarchy (other thresholds). As a result, there was an increased risk of type I error.
Source: CHAMPION Clinical Study Report.13
Change from baseline in the QMG total score at week 26 of the randomized controlled period was a secondary (hierarchically tested) outcome of the CHAMPION trial. Change from baseline in the QMG total score during the randomized controlled period and at week 26 is shown in Figure 5 and Table 17. At week 26, the LSM change in the QMG total score in the placebo arm was –0.8 (95% CI, –1.7 to 0.1) versus –2.8 (95% CI, –3.7 to –1.9) in the ravulizumab arm. The LSM difference in the QMG total score between the ravulizumab and placebo arms was –2.0 (95% CI, –3.2 to –0.8; P = 0.0009).
Sensitivity analyses were consistent with the primary analysis (refer to Appendix 3). Subgroup analyses of IST use at baseline and MGFA clinical classification were prespecified in the CHAMPION trial and were identified as being of interest in the CADTH review protocol. The LSM differences in changes from baseline in the QMG total score at week 26 were consistent with the main analysis for all subgroups (refer to Appendix 3).
Figure 5: Change From Baseline in QMG Total Score During the Randomized Controlled Period — Full Analysis Set
BL = baseline; QMG = Quantitative Myasthenia Gravis.
Note: Baseline was defined as the last available assessment value before the first study drug infusion. Nominal P values are indicated as follows: * indicates a P value of less than 0.05, ** indicates a P value of less than 0.01, and *** indicates a P value of less than 0.001. Note that only the test of change from baseline at week 26 was part of the statistical hierarchy; for the other time points, there was an increased risk of type I error.
Source: CHAMPION Clinical Study Report.13
Table 17: Change From Baseline to Week 26 of the Randomized Controlled Period in QMG Total Score in the CHAMPION Trial — Full Analysis Set
Statistic | Placebo (N = 89) | Ravulizumab (N = 86) | LSM difference (ravulizumab vs. placebo) | P value |
|---|---|---|---|---|
n | 78 | 76 | –2.0 (0.59) | 0.0009 |
LSM change or difference (SEM) | –0.8 (0.45) | –2.8 (0.46) | ||
95% CI for LSM change or difference | –1.7 to 0.1 | –3.7 to –1.9 | –3.2 to –0.8 |
CI = confidence interval; LSM = least squares mean; QMG = Quantitative Myasthenia Gravis; SEM = standard error of the mean; vs. = versus.
Source: CHAMPION Clinical Study Report.13
The proportion of patients with improvements of at least 5 points in the QMG total score at week 26 of the randomized controlled period was a secondary (hierarchically tested) outcome of the CHAMPION trial. The proportion of patients with various point reductions in the QMG total score from baseline to week 26 is shown in Figure 6. The adjusted percentage of patients with improvements of at least 5 points in the QMG total score at week 26 was 30.0% (95% CI, 19.2% to 43.5%) in the ravulizumab arm and 11.3% (95% CI, 5.6% to 21.5%) in the placebo arm (OR of at least a 5-point improvement = 3.350; 95% CI, 1.443 to 7.777; P = 0.0052).
Sensitivity analyses in the PPS and mFAS were consistent with the main analysis (refer to Appendix 3). Subgroup analyses of IST use at baseline and MGFA clinical classification were prespecified in the CHAMPION trial and were identified as being of interest in the CADTH review protocol. The ORs of at least a 5-point improvement in the QMG total score at week 26 were consistent with the main analysis for all subgroups (refer to Appendix 3).
The proportion of patients with improvements of at least 3 points in the QMG total score (the estimated MID) at week 26 was 44.8% (95% CI, 32.3% to 58.0%) in the ravulizumab arm and 24.2% (95% CI, 15.3% to 36.2%) in the placebo arm (OR = 2.544; 95% CI, 1.283 to 5.044).
Figure 6: Proportion of Patients With Various Point Reductions in QMG Total Score at Week 26 — Full Analysis Set
QMG = Quantitative Myasthenia Gravis.
Note: Baseline was defined as the last available assessment value before the first study drug infusion. Apart from QMG improvements of 5 points or more, nominal P values for other thresholds shown on the left were from tests outside of the statistical hierarchy, so there was an increased risk of type I error.
Source: CHAMPION Clinical Study Report.13
|||||| |||| |||||||| || || ||||| || |||| || || || |||||||||| |||||||||| |||||| || || ||||||||||| ||||||| || || |||||||| |||||| |||||| |||| |||||||| || || ||||| |||||| || |||||||||| |||||||||| |||||| || || |||| || || ||||| | Figure 7 ||| Table 18 | || |||| || || || |||||| || || ||||| ||||| || || ||||||| || |||| |||| || |||| || ||||| |||||| |||| |||| || |||| || ||||| || || ||||||||||| |||| || || |||||||||| || ||||| ||||||| || ||||||||||| || ||||||| |||| || |||| |||| || |||| || |||||
||| ||||| || |||||| ||||||||||| || |||||| || || || ||||| ||||| ||||||| || || || || |||||| ||||| || || ||||||||||| || |||||| |||||| ||||| || || ||||||| || ||||| | ||||| |||| | |||||||||| |||||||||| |||||| || || |||||||| |||||| || || |||||||||| |||||||||||||| || ||||||||| || || ||||||||| || || ||||| || ||||||||||| ||||||| || | ||||||||||| |||| |||||||| || | ||||||||||| ||||||| |||| |||| || |||||||| ||||||||||||| |||||| |||| |||||||||||| |||||||||||
|||| |||||||||| || ||||| |||||||| |||| || ||||||||||| |||||| |||||||||||||||| |||||||| || ||||||| || || |||| ||||||||| |||||||||| ||||| ||||| || ||||| ||||| |||| ||||||||| ||||||| |||||||| || ||||||||| || |||||||| | | |||||| || || ||||||| |||| |||| ||||| ||||| |||| || |||| || | ||||||||||| ||||||||| || ||||| || || ||||||||| |||| || |||| ||||||||||||||| |||||||| |||||||| ||||| |||||||
Note: This figure has been redacted at the request of the sponsor.
||||||||| | |||||||||| |||| | |||||||||||||| |||| | |||||||||||||||||||||||||||||||| | ||||||| |
|---|---|---|---|---|
|||| |||||| | |||| |||||| | |||| |||||| | |||| |||||| | ||||| |
||| ||||| | |||| |||||| | |||| |||||| | ||
||| || | ||| | |||| || |||| | |||| || |||| | |||| || |||| |
| ||||||||||| ||||||||| || ||||| |||||||| |||| || |||||| ||||||| ||||| || ||||||||||| |||||| |||||||||| | ||||||||| ||||| || || |||||||||| |||| || || |||| || || ||||||||||| ||||||||| || ||||| || || ||||||||| |||| || |||| ||||||||||||||| |||||||| |||||||| ||||| |||||||||
Note: This table has been redacted at the request of the sponsor.
|||||||| || |||| || || || |||||||||| |||||||||| |||||| || || ||||||||||| ||||||| || || |||||||| |||||| || ||||||||||| || |||||||| ||||||||| || |||||||| |||||||| || |||| || | ||||| | Figure 8 || | ||||||| |||| |||| || |||||||| |||||||| || |||||||| ||||||| ||||||||||||||| ||||| |||||||| || || || ||||||| ||||||| ||||||||||||||| ||||| | ||||||||| ||||||| || |||| || ||||| ||||||| || || ||||||||||| |||| ||||| || |||||||| |||||||| || |||||||| ||||||| ||||||||||||||| ||||| |||||||| || | || ||||||| ||||||| ||||||||||||||| ||||| || ||||||||| ||||||| | |||| | ||||| ||||||| || || || ||||||||| || ||||||||| ||||||||||||||||||||| |||||||||||| | |||||||| | || |||| || || || |||||
||| ||||| || |||||| ||||||||||| || ||||||||||| || |||||||| || |||| |||||||| || |||||||| ||||||||| || |||||||| ||||||| ||||||||||||||| |||||||| || || || ||||||| ||||||| ||||||||||||||| |||||||||| || |||||| || |||| || || || |||||||||| |||||||||| |||||| || | |||||||| |||||| || || ||||||| || ||||| |||||| ||||||||||| ||||| |||||||| |||||||| || |||||||| ||||||| |||||||||||||| || ||||||||||| |||| |||||||| |||| |||||| ||||||||| || ||||| |||||||| |||| || ||||||||||| || |||||| ||||||| |||||||| || ||||||||||| || |||||||||| || |||| |||||||| |||| || |||||||| ||||||||||||| |||||| |||| |||||||||||| |||||||||||||||| |||||||||| || ||||| |||||||| |||| |||||||| ||||||||||| |||||| |||||||||| || |||||||| ||||||||||||||||| ||||||||||||| |||||||| || || |||||||||| || ||||||||||||| ||||||||||||||||||| |||||||| |||||||| ||||| |||||||
Note: This figure has been redacted at the request of the sponsor.
Hospitalization during the randomized controlled period, including MG-related hospitalization, was an exploratory outcome of the CHAMPION trial. Information on hospitalization during the randomized controlled period is shown in Table 19. | ||||| || || |||||||| ||||||| || || ||||||| || || || |||||||| ||||||| || || ||||||||||| || |||| ||||||||||||| ||||| |||||| ||||| |||||||| |||||| || || ||||||| || || ||||| |||||||| |||||| || || ||||||||||| | |||| |||||||||||| | || || |||| || ||||||| |||||| || || ||||||| || || || |||||||| |||||| || || ||||||||||| || |||||||| |||||||||| ||||||||
|||||||| | |||||||||| |||| | |||||||||||||| |||| |
|---|---|---|
||||| |||||| || |||||||| ||||||||||||| | ||| | || |||||| | || |||||| |
• |||||||||| ||||||||||||||||| | | ||||| | | ||||| |
o |||||||||||||||| ||| ||||| |||| ||||||||||||||| | | ||||| | | ||||| |
o |||||||| |||||||||| |||||||||||| | | ||||| | | ||||| |
||| ||||| |||||||| |||| || ||||||||||| ||||||||||||||||| || ||||||||||||||| || |||||| |||||||||||| |||||||| |||||||| ||||| |||||||
Note: This table has been redacted at the request of the sponsor.
Change in MG medications was not an efficacy outcome in the CHAMPION trial, although this information was collected. Note that patients were to maintain stable doses of concomitant MG medications during the randomized controlled period unless there was a compelling medical need. ||||||||||| || || |||||||||| ||||||| |||||| || |||||||||| |||||||||| |||||| || ||||| | Table 20 | |||||||| || |||||||| ||||||| |||||||| |||||||||| ||||||| |||||| || |||||||||| |||||||||| ||||||| || |||| |||||| |||||||||| |||||| || || ||||||||||||||| |||||| || |||||||| || || ||||||| || || |||| || |||||||| || || ||||||||||| ||||| ||||||| || ||||||| ||||||||||||||| || ||||| |||| |||| ||||||||||| |||| ||||||| ||||||| || |||||||| |||||||||| || ||||||||||||| ||||||| || |||||||||| || |||||||||| |||| || |||| ||||| |||||
|||||||| | |||||||||| |||| | |||||||||||||| |||| |
|---|---|---|
||||| |||||| || |||||||| ||||||||| || |||||||||| |||||||| |||| | | |||||| | | |||||| |
||||||||||||||||||||| ||| | ||
||| | | |||||| | | |||||| |
|||||||||||| | | |||||| | | |||||| |
||||||||| | | |||||| | | |||||| |
||||||||| | | |||||| | | |||||| |
||||||||||||||||||| |||| | ||
||| | | |||||| | | |||||| |
|||||||||||| | | |||||| | | |||||| |
||||||||| | | ||||| | | ||||| |
||||||||| | | ||||| | | ||||| |
||||||||||||||| || |||||||| |||| |||| | ||
||| | | ||||| | | ||||| |
|||||||||||| | | |||||| | | |||||| |
||||||||| | | ||||| | | ||||| |
||||||||| | | ||||| | | ||||| |
|||||||||||||||| |||| | ||
||| | | |||||| | | ||||| |
| ||||||||||| ||||||||||||||| |||||||| |||||||| ||||| |||||||
Note: This table has been redacted at the request of the sponsor.
Clinical deterioration and the need for rescue therapy was an exploratory outcome in the CHAMPION trial. Information on clinical deterioration and rescue therapy administered during the randomized controlled period is shown in Table 21. Overall, ||||| of patients in the placebo arm and ||||| of patients in the ravulizumab arm reported clinical deterioration, while 16.9% of patients in the placebo arm and 9.3% of patients in the ravulizumab arm reported clinical deterioration as per protocol criteria. In the placebo arm, 14 (15.7%) patients required rescue therapy |||||| || ||||||||| || || || || |||| |||| |||||||||||||||| |||||||| |||||| In the ravulizumab arm, 8 (9.3%) patients required rescue therapy |||||| |||||||||| || || || ||||||||| |||| |||| |||||||||||||||| ||||||||||
Table 21: Clinical Deteriorations and Rescue Therapies During the Randomized Controlled Period of the CHAMPION Trial — Full Analysis Set
Variable | Placebo (N = 89) | Ravulizumab (N = 86) |
|---|---|---|
Total number of patients reporting clinical deterioration, n (%) | | |||||| | | |||||| |
Total number of patients reporting clinical deterioration as per protocol criteria, n (%) | 15 (16.9) | 8 (9.3) |
MG crisis | 1 (1.1) | 0 |
Significant symptomatic worseninga | 5 (5.6) | 1 (1.2) |
Rescue therapy, for health in jeopardy | 12 (13.5) | 7 (8.1) |
Total number of patients requiring rescue therapy, n (%) | 14 (15.7) | 8 (9.3) |
|||| |||| ||||||||||||||| | | ||||| | | ||||| |
| || | | | ||||| | | ||||| |
|||| | | |||||| | | ||||| |
IVIg = IV immunoglobulin; MG = myasthenia gravis; PE = plasma exchange; PP = plasmapheresis.
aOne patient in the ravulizumab group experienced a clinical deterioration under the per-protocol criteria of significant symptomatic worsening, which was also reported as a serious adverse event of MG crisis.
Source: CHAMPION Clinical Study Report.13
Change from baseline in the MG-QoL15r score at week 26 of the randomized controlled period was a secondary (hierarchically tested) outcome in the CHAMPION trial. Change from baseline in the MG-QoL15r score during the randomized controlled period and at week 26 is shown in Figure 9 and Table 22. At week 26, the LSM change in the MG-QoL15r score in the placebo arm was –1.6 (95% CI, –3.0 to –0.3) versus –3.3 (95% CI, –4.7 to –1.9) in the ravulizumab arm. The LSM difference in the MG-QoL15r score between the ravulizumab and placebo arms was –1.7 (95% CI, –3.4 to 0.1; P = 0.0636).
||||||||||| |||||||| || | || || |||| |||| |||||||||| |||| || |||| |||||||| || |||||||| || |||||||| |||||||| || | || || |||||||| || |||| |||||||| |||||||||||||| |||| ||||||||||||| || || |||||||| ||||| || |||| |||||||||| || || |||||||| || || ||||| |||||| ||||||||| || || ||||||||||| || ||||||||| ||||| || |||| || |||| |||||||||| |||| || |||| |||||||| || || ||||||||| |||| |||||||| |||
Figure 9: Change From Baseline in the MG-QoL15r Score During the Randomized Controlled Period — Full Analysis Set
BL = baseline; MG-QOL15r = Myasthenia Gravis Quality of Life 15-item scale - Revised.
Note: Baseline was defined as the last available assessment value before the first study drug infusion. Nominal P values are indicated as follows: * indicates a P value of less than 0.05. Note that only the test of change from baseline at week 26 was part of the statistical hierarchy; for the other time points, there was an increased risk of type I error.
Source: CHAMPION Clinical Study Report.13
Table 22: Change From Baseline to Week 26 of the Randomized Controlled Period in MG-QoL15r Score in the CHAMPION Trial — Full Analysis Set
Statistic | Placebo (N = 89) | Ravulizumab (N = 86) | LSM difference (ravulizumab vs. placebo) | P value |
|---|---|---|---|---|
n | 82 | 78 | –1.7 (0.89) | 0.0636 |
LSM change or difference (SEM) | –1.6 (0.70) | –3.3 (0.71) | ||
95% CI for LSM change or difference | –3.0 to –0.3 | –4.7 to –1.9 | –3.4 to 0.1 |
CI = confidence interval; LSM = least squares mean; MG-QoL15r = Myasthenia Gravis Quality of Life 15-item scale - Revised; SEM = standard error of the mean; vs. = versus.
Source: CHAMPION Clinical Study Report.13
Change from baseline in the Neuro-QoL Fatigue score at week 26 of the randomized controlled period was a secondary (hierarchically tested) outcome in the CHAMPION trial. Note that this outcome was tested after a prior nonsignificant result of the hierarchical testing procedure and, thus, P values were considered nominal. Change from baseline in the Neuro-QoL Fatigue score during the randomized controlled period and at week 26 is shown in Figure 10 and Table 23. At week 26, the LSM change in the Neuro-QoL Fatigue score in the placebo arm was –4.8 (95% CI, –8.1 to –1.1) versus –7.0 (95% CI, –10.7 to –3.2) in the ravulizumab arm. The LSM difference in the Neuro-QoL Fatigue score between the ravulizumab and placebo arms was –2.2 (95% CI, –6.9 to 2.6).
||||||||||| |||||||| || || || || |||| |||| |||||||||| |||| || |||| |||||||| |||| |||||||| || |||||||| |||||||| || || || || |||||||| || |||| |||||||| |||||||||||||| |||| ||||||||||||| || || |||||||| ||||| || |||| |||||||||| || || |||||||| || || ||||| |||||| ||||||||| || || |||||||||| || ||||||| |||| |||||||| || ||||||||| ||||||| ||||| || |||| || || |||||||||| |||| || |||| |||||||| | |||||||||| |||| |||||||| |||
Change from baseline in EQ VAS at week 26 of the randomized controlled period was an exploratory outcome of the CHAMPION trial. |||||| |||| |||||||| || |||||||| || |||||| | |||||||||| |||||||||| |||||| || || |||| || || ||||| | Figure 11 ||| Table 24 | || |||| || || || |||||| || |||||||| || || || ||||||| || || |||| || |||| || |||| |||||| || |||| | |||| || |||| || || ||||||||||| |||| || || |||||||||| || |||||||| | ||||| ||||||| || ||||||||||| || ||||||| |||| || || |||| | |||| || |||||
Figure 10: Change From Baseline in Neuro-QoL Fatigue Score During the Randomized Controlled Period — Full Analysis Set
BL = baseline; Neuro-QoL = Quality of Life in Neurological Disorders.
Note: Baseline was defined as the last available assessment value before the first study drug infusion. Note that only the test of change from baseline at week 26 was part of the statistical hierarchy, but was tested following subsequent failure of the hierarchy; the other time points were not part of the hierarchy. For all of these tests, there was an increased risk of type I error.
Source: CHAMPION Clinical Study Report.13
Table 23: Change From Baseline to Week 26 of the Randomized Controlled Period in Neuro-QoL Fatigue Score in the CHAMPION Trial — Full Analysis Set
Statistic | Placebo (N = 89) | Ravulizumab (N = 86) | LSM difference (ravulizumab vs. placebo) | P value |
|---|---|---|---|---|
n | 82 | 77 | –2.2 (2.42) | 0.3734a |
LSM change or difference (SEM) | –4.8 (1.87) | –7.0 (1.92) | ||
95% CI for LSM change or difference | –8.5 to –1.1 | –10.7 to –3.2 | –6.9 to 2.6 |
CI = confidence interval; LSM = least squares mean; Neuro-QoL = Quality of Life in Neurological Disorders; SEM = standard error of the mean; vs. = versus.
aThis test was undertaken after a prior nonsignificant result in the statistical hierarchy; there was an increased risk of type I error.
Source: CHAMPION Clinical Study Report.13
||| ||||| || |||||| ||||||||||| || |||||| || |||||||| || ||||| ||||||| || || || || |||||| ||||| || || ||||||||||| || |||||| | ||||| || || ||||||| || ||||| |||||| ||||| |||| || |||||||||| |||||||||| |||||| || || |||||||| |||||| || || |||||||||| |||||||||||||| || ||||||||| || || ||||||||| || |||||||| || || ||||||||||| ||||||| || || ||||||||||| |||| |||||||| || || ||||||||||| ||||||| |||| |||| || |||||||| ||||||||||||| |||||| |||| |||||||||||| ||||||||||| || || |||| || ||||||||||| |||||||||| ||||||||| ||||||||| |||| ||||||||||||||||| |||||||||| || ||||| |||||||| |||| || ||||||| |||||| |||||||||||| |||||||| || ||||||| || || |||| ||||||||| |||||||||| ||||| ||||| || ||||| ||||| |||| ||||||||| |||| |||| ||||| ||||| |||| || |||| || || ||||||||||| ||||||||| || ||||| || || ||||||||| |||| || |||| ||||||||||||||| |||||||| |||||||| ||||| |||||||
Note: This figure has been redacted at the request of the sponsor.
||||||||| | |||||||||| |||| | |||||||||||||| |||| | |||||||||||||||||||||||||||||||| | ||||||| |
|---|---|---|---|---|
||| |||||| | ||| |||||| | ||| |||||| | ||| |||||| | |||||| |
||| ||||| | ||| |||||| | ||| |||||| | ||
||| || || ||| | |||| || ||| | |||| || ||| | |||| || ||| |
| ||||||||||| ||||||||| || ||||| |||||||| |||| | |||||| ||||||| ||||| || ||||||||| ||||| || || ||||| || ||||||| |||||| |||||||||| |||| || || |||| || || ||||||||||| ||||||||| || ||||| || || ||||||||| |||| || |||| ||||||||||||||| |||||||| |||||||| ||||| |||||||||
Note: This table has been redacted at the request of the sponsor.
Change from baseline in the EQ-5D-5L index score at week 26 of the randomized controlled period was an exploratory outcome of the CHAMPION trial. |||||| |||| |||||||| || |||||||| ||||| ||||| |||||| | |||||||||| |||||||||| |||||| || || |||| || || ||||| Figure 12 ||| Table 25 | || |||| | || || |||||| || |||||||| ||||| ||||| || || ||||||| || ||||| |||| || ||||| || ||||| |||||| |||| |||| || |||| || ||||| || || ||||||||||| |||| || || |||||||||| || |||||||| ||||| ||||| ||||||| || ||||||||||| || ||||||| |||| || |||| |||| | |||| || ||||||
||| ||||| || |||||| ||||||||||| || |||||| || |||||||| ||||| ||||| ||||| ||||||| || || || || |||||| ||||| || || ||||||||||| || |||||| || ||||| || || ||||||| || ||||| |||||| ||||| |||| || |||||||||| |||||||||| |||||| || || |||||||| |||||| || || |||||||||| |||||||||||||| || ||||||||| || || ||||||||| || |||||||| ||||| ||||| | ||||||||||| ||||||| || || ||||||||||| |||| |||||||| || || ||||||||||| ||||||| |||| |||| || |||||||| ||||||||||||| |||||| |||| |||||||||||| ||||||||||| || || |||| || ||||||||||| |||||||||| ||||||||| ||||||||| |||| ||||||||||||||||| |||||||||| || |||| |||||||| |||||||||| |||||||| || ||||||| || || |||| ||||||||| |||||||||| ||||| ||||| || ||||| ||||| |||| ||||||||| ||||||| |||||||| || ||||||||| || |||||||| | | ||||||| |||| |||| ||||| ||||| |||| || |||| || || ||||||||||| |||||||||| |||| |||| ||||| ||||| |||| || |||| || || ||||||||||| ||||||||| || ||||| || || ||||||||| |||| || |||| ||||||||||||||| |||||||| |||||||| ||||| ||||||
Note: This figure has been redacted at the request of the sponsor.
||||||||| | |||||||||| |||| | |||||||||||||| |||| | |||||||||||||||||||||||||||||||| | ||||||| |
|---|---|---|---|---|
||||| ||||||| | ||||| ||||||| | ||||| ||||||| | |||| ||||||| | |||||| |
||| ||||| | ||||| ||||||| | |||| ||||||| | ||
||| || || ||| | ||||| || |||| | |||| || |||| | ||||| || |||| |
| ||||||||||| ||||||||| || ||||| |||||||| |||| || |||||| ||||||| ||||| || ||||||||| ||||| || || |||||||||| |||| | || |||| || || ||||||||||| ||||||||| || ||||| || || ||||||||| |||| || |||| ||||||||||||||| |||||||| |||||||| ||||| |||||||
Note: This table has been redacted at the request of the sponsor.
Only those harms identified in the review protocol are reported as follows. Refer to Table 26 for detailed harms data.
During the randomized controlled period, most patients (78 [90.7%] ravulizumab-treated patients and 77 [86.5%] placebo-treated patients) experienced AEs. The most common AEs were headache (ravulizumab arm = 16 patients, 18.6%; placebo arm = 23 patients, 25.8%), diarrhea (ravulizumab arm = 13 patients, 15.1%; placebo arm = 11 patients, 12.4%), and nausea (ravulizumab arm = 9 patients, 10.5%; placebo arm = 9 patients, 10.1%).
During the randomized controlled period, 20 (23.3%) ravulizumab-treated patients and 14 (15.7%) placebo-treated patients experienced SAEs. The most common SAEs were COVID-19 pneumonia (ravulizumab arm = 2 patients, 2.3%; placebo arm = 0 patients, 0%), cellulitis (ravulizumab arm = 0 patients, 0%; placebo arm = 2 patients, 2.2%), transient ischemic attack (ravulizumab arm = 2 patients, 2.3%; placebo arm = 0 patients, 0%), and MG (ravulizumab arm = 0 patients, 0%; placebo arm = 3 patients, 3.4%).
During the randomized controlled period, 5 (5.8%) ravulizumab-treated patients and 3 (3.4%) placebo-treated patients experienced AEs leading to infusion interruption. In the ravulizumab arm, AEs leading to infusion interruption included vascular pain, infusion site extravasation, syncope, abdominal pain, and coccygodynia (1 patient or 1.2% each). In the placebo arm, AEs leading to infusion interruption included infusion reaction (2 patients or 2.2%), anxiety (1 patient or 1.1%), and back pain (1 patient or 1.1%). All infusions were completed.
During the randomized controlled period, 2 (2.3%) ravulizumab-treated patients and 3 (3.4%) placebo-treated patients experienced WDAEs. In ||| ||||||||||| |||| ||||| |||||||| |||||||| |||| ||||| || |||||||| ||||||||| || ||||||| |||||| || || ||||||| |||| ||||| |||||||| |||||||| |||| ||||| || |||||||| ||||||||| || ||||||| ||||||
During the randomized controlled period, 2 (2.3%) patients treated with ravulizumab experienced AEs leading to death. These deaths were due to COVID-19 pneumonia and cerebral hemorrhage (the latter in a patient with atrial fibrillation). There were no AEs leading to death in the placebo arm.
|||||| || |||||||||| |||||||||| ||||||| ||||| || ||||||||||||||||||| |||||||| || ||||| || ||||||||||||||| |||||||| ||||||||||| ||||||||||| No patients experienced meningococcal infections during the randomized controlled period. |||||| || |||||||||| |||||||||| ||||||| ||||| || ||||||||||||||||||| |||||||| || ||||| || ||||||||||||||| |||||||| ||||||||||| |||||||| ||||||||||
Table 26: Summary of Harms in the CHAMPION Trial — Safety Set
Outcome | CHAMPION trial Placebo (N = 89) | CHAMPION trial Ravulizumab (N = 86) |
|---|---|---|
Patients with ≥ 1 AE | ||
n (%) | 77 (86.5) | 78 (90.7) |
Common AEs, n (%)a | ||
Headache | 23 (25.8) | 16 (18.6) |
Diarrhea | 11 (12.4) | 13 (15.1) |
Nausea | 9 (10.1) | 9 (10.5) |
Patients with ≥ 1 SAE | ||
n (%) | 14 (15.7) | 20 (23.3) |
Common SAEs, n (%)b | ||
COVID-19 pneumonia | 0 | 2 (2.3) |
Cellulitis | 2 (2.2) | 0 |
Transient ischemic attack | 0 | 2 (2.3) |
MG | 3 (3.4) | 0 |
|||||||| |||| || ||||||| || |||||||| |||||||||||| | ||
| ||| | | ||||| | | ||||| |
||| ||||||| || |||||||| ||||||||||||| |||| | ||
|||||||| |||||||| | | ||||| | | ||||| |
||||||| | | ||||| | | ||||| |
|||| |||| | | ||||| | | ||||| |
|||||||| |||| | | ||||| | | ||||| |
|||||||| |||| ||||||||||||| | | ||||| | | ||||| |
||||||| | | ||||| | | ||||| |
||||||||| |||| | | ||||| | | ||||| |
|||||||||| | | ||||| | | ||||| |
Patients with WDAEs | ||
n (%) | 3 (3.4) | 2 (2.3) |
|||||| |||| | ||
|||||||| |||||||| | | ||||| | | ||||| |
|||| |||| | | ||||| | | ||||| |
|||||||| |||| ||||| | | ||||| | | ||||| |
|||||||| ||||||||| | | ||||| | | ||||| |
Patients with AEs leading to death | ||
n (%) | 0 | 2 (2.3) |
AEs leading to death, n (%) | ||
COVID-19 | 0 | 1 (1.2) |
Cerebral hemorrhage | 0 | 1 (1.2) |
||||||| ||||| | ||
|||||||||| || |||||||||||| | | |||||| | | |||||| |
|||||||| | | ||||| | | ||||| |
||||||| ||||| ||||||||| | | ||||| | | ||||| |
||||||||||| | | |||||| | | ||||| |
||||||||||||||| | | |||||| | | ||||| |
||||||||| | | |||||| | | ||||| |
||||| ||||||||||| ||||| ||||||||| | | |||||| | | ||||| |
|||||||| ||||||||| | | |||||| | | ||||| |
|||||| |||| ||||||||| | | |||||| | | ||||| |
||||||||||||||| | | |||||| | | ||||| |
||||||||||||||| ||||| | | |||||| | | ||||| |
|||||| |||||| | | |||||| | | ||||| |
||||||||| | | |||||| | | ||||| |
||||||||| | | |||||| | | ||||| |
||||| ||||| | | ||||| | | ||||| |
|||||||||| | | ||||| | | ||||| |
|||||||||| | | ||||| | | ||||| |
Meningococcal infections | 0 | 0 |
|||||||| ||||||||| | | |||||| | | |||||| |
AE = adverse event; MG = myasthenia gravis; SAE = serious adverse event; WDAE = withdrawal due to adverse event.
aAEs occurring in 10% or more of patients in either treatment group are listed.
bSAEs occurring in 2 or more patients in either treatment group are listed.
Source: CHAMPION Clinical Study Report.13
The CHAMPION trial was a phase III, DB, placebo-controlled RCT (N = 175) with an OL extension period of up to 4 years conducted in adult patients with anti-AChR antibody–positive gMG (patients had to have an MGFA clinical classification of class II to class IV, an MG-ADL total score of 6 or more, and be nonthymomatous) with no requirements for prior treatment experience or its outcome. The relatively small size of the trial was expected because of the relative rarity of MG. Only the evidence from the randomized controlled period was included in the systematic review section of this report. The basic features of the study design (methods for randomization, allocation concealment, and blinding) were appropriate to minimize bias and confounding.
Randomization in the CHAMPION trial appeared generally successful in balancing baseline demographic and disease characteristics between study arms. Minor baseline imbalances between arms (e.g., by race, age at MG diagnosis, age at first study drug infusion, MG type at diagnosis [ocular versus generalized], time to gMG from diagnosis among patients whose first presentation was ocular MG, MGFA clinical classification, prior corticosteroid use) were viewed by the clinical experts consulted by CADTH for this review as unlikely to be prognostic or to significantly affect the study results. Study discontinuations before completing the randomized controlled period were relatively infrequent (6% to 7% of patients) and both the rate and reasons for discontinuation were similar in both arms. Missing data for reasons other than discontinuation were relatively rare (1 to 5 patients in each arm, depending on outcome) and therefore unlikely to contribute to bias. There was no indication from the efficacy or harms data that the unblinding of patients or study personnel had occurred.
During the study, concomitant MG therapy was generally similar in both study arms, apart from rescue therapy (IVIg), which was administered more frequently in the placebo arm. |||||||| ||||| || |||||||| || ||||||||| |||||||| |||||||||| |||||| || |||||||||| |||||||||| ||||||| ||||| |||||||| |||| ||||||| ||||||||| || |||| |||| || ||||||||| ||||||| || |||||| || |||||||| ||||| || |||| || || || |||||| |||||| || ||||| || ||||||||||| || |||| || |||||| || || |||||||| ||||||| ||||||||| || ||||| || |||| |||||| || |||||| || |||||| || ||||| |||||||. The instruments used for evaluation in the primary and secondary efficacy outcomes of the CHAMPION trial (MG-ADL, QMG, MG-QoL15r, Neuro-QoL Fatigue) were appropriate and their psychometric properties have been investigated in patients with MG, although no MIDs have been estimated for the MG-QoL15r and Neuro-QoL Fatigue scores, or for subcomponents of the MG-ADL and QMG.
Several statistical issues should be considered when interpreting the results of the CHAMPION trial. Statistical tests were appropriate overall, power was adequate for the primary analysis, and multiplicity was controlled using a hierarchical testing strategy. However, statistical hypothesis testing failed at the third test in the hierarchy (MG-QoL15r) and for all other outcomes positioned later in the hierarchy, as well as those not included in the hierarchy, type I error was not controlled. In the primary MMRM analysis, missing data were not imputed and were treated as MAR. However, the placebo-based and tipping point sensitivity analyses of the primary outcome (change in MG-ADL total score at week 26) used MCMC imputation to replace missing data, and were consistent with the main analysis. Of note, although the imbalanced use of rescue therapy (IVIg) was not accounted for in the statistical analyses, this would be expected to bias against ravulizumab since rescue therapy was administered more often in the placebo arm. |||||||| |||||||| || |||| |||||||| |||||||||||||| || || || |||||||| |||| |||||||||||| || || ||||||||||| |||||||| ||||| |||||||| |||| |||| || |||||||| || |||||||||||| || |||| |||| |||||||||||| ||||||| || |||||| ||||||||||| ||||| ||||||| |||| |||||||||| ||||||||| || ||||| ||||||| || |||||||| |||||| |||||| ||||||||| ||||||||||||
According to the clinical experts consulted by CADTH for this review, the demographic and disease characteristics and prior treatment history of patients enrolled in the CHAMPION trial were reflective of the Canadian population of adult patients with anti-AChR antibody–positive gMG that they see in their clinical practice. The clinical experts felt that the study eligibility criteria would be expected to result in the recruitment of a study population reflective of Canadian clinical practice for the treatment of MG, and noted that the eligibility criteria for MGFA class (class II to class IV) and MG-ADL total score (6 or more) would select appropriately for patients with symptomatic gMG most in need of intervention. The clinical experts emphasized that although patients with thymoma were excluded from the study, thymomatous MG is often more severe and these patients would be expected to potentially derive benefit from complement inhibitors, including ravulizumab. Similarly, the clinical experts stated that a subset of patients with MGFA class I or class V and MG-ADL scores of less than 6 who were excluded from the trial would be suitable for treatment. Specifically, the clinical experts relayed that patients with ocular MG or mild symptoms can still be refractory to other therapies, and patients with MGFA class V (on a ventilator) who have no contraindications would potentially benefit from ravulizumab. However, the results of the trial cannot be directly generalized to these groups of patients. In addition, changes in concomitant MG therapies would not be generalizable to clinical practice, as changes to these medications were discouraged by the study protocol.
Ravulizumab dosing in the CHAMPION trial was aligned with the Health Canada–approved dosing. The outcomes assessed in the primary and secondary efficacy analyses (activities of daily living, disease severity, HRQoL) were identified as important by patient group input, although the outcomes of MG exacerbation and hospitalization were exploratory and occurred infrequently in the study. Due to the low number of events and lack of formal statistical testing, no definitive conclusions could be reached for these outcomes. The duration of follow-up of the randomized controlled period (26 weeks) was considered sufficient by the clinical experts consulted by CADTH for this review to address the primary and secondary efficacy outcomes. The cointerventions and background care in the study were similar to those received by patients with MG living in Canada according to the clinical experts consulted by CADTH for this review.
Two important external validity issues must be considered when interpreting the results of the CHAMPION study. First, the study enrolled patients with a variety of prior treatment experience and cointerventions at baseline, including patients with no prior IST (no prior IST within 2 years before screening = 5.1%; no IST at baseline = 8.0%; no IST at first dose = 10.3%) and patients who had received or were receiving only 1 IST (within 2 years before screening = 32.0%; at first dose of study = 42.3%). There were no specific requirements as to the outcome of prior therapies received and the proportion of the study population with refractory gMG was unknown. While the clinical experts consulted by CADTH stated that the CHAMPION trial almost certainly would have included some refractory patients, there was no subgroup analysis conducted for these patients. According to the clinical experts consulted by CADTH for this review, earlier lines of therapy for nonrefractory MG generally have higher response rates and these patients would be more likely to respond to any therapy compared with patients later in the treatment course (e.g., refractory gMG). Therefore, the results of the CHAMPION trial cannot be directly generalized to any specific line of therapy, including to patients with refractory gMG who are currently the target population for treatment with complement inhibitors, according to the clinical experts consulted by CADTH for this review. In addition, the results cannot be directly generalized to the treatment of patients with severe but nonrefractory gMG who would be potential candidates for therapy according to the clinical experts consulted by CADTH for this review.
The second important external validity issue relates to relevant comparators. The clinical experts consulted by CADTH relayed that patients with refractory gMG currently have very few treatment options other than chronic IVIg, PE or PP, and potentially rituximab; as such, clinical trials of investigational therapies in this population must be placebo-controlled. By contrast, the CHAMPION trial enrolled a study population of patients with a variety of prior IST experience, as noted earlier — including patients who would be eligible to receive IST with corticosteroids and steroid-sparing drugs, as well as potentially IVIg, PE or PP, rituximab, or eculizumab (assuming some patients had refractory gMG). The study provided no comparative evidence regarding the efficacy of ravulizumab and currently available therapies at various stages of the treatment paradigm for MG, and its results comparing ravulizumab to placebo provided no information regarding ravulizumab’s effectiveness compared with the current standard of care.
The objective of this section is to summarize and appraise the evidence from ITCs and observational evidence for the relative effects and safety of ravulizumab for the treatment of adult patients with anti-AChR antibody–positive gMG. The aim is to fill a gap created by the absence of clinical trials providing direct head-to-head evidence of ravulizumab versus eculizumab.
A focused literature search for ITCs dealing with MG was run in MEDLINE All (1946‒) on November 22, 2022. No limits were applied to the search. Records identified by the search were screened independently by 2 reviewers for eligibility. No published ITCs were identified in the literature search from CADTH comparing ravulizumab to comparators of interest based on inclusion criteria in this clinical report.
A single sponsor-submitted ITC report16 was reviewed for this submission. The report included 2 ITCs (a Bucher ITC and a matching-adjusted indirect comparison [MAIC]) and 1 observational study in which propensity score weighting was used to adjust for confounding.
The purpose of the sponsor-submitted ITCs and observational study was to estimate the comparative efficacy of ravulizumab and eculizumab for the treatment of individuals with anti-AChR antibody–positive gMG.
No systematic literature review was undertaken by the sponsor to identify eligible studies. No formal eligibility criteria were applied with respect to the selection of studies for inclusion within the ITC. No details were provided on the data abstraction process, screening process, or quality assessment of included studies. No date was provided for when trials were assessed.
In total, 2 studies were identified by the sponsor to be included in their analysis. The CHAMPION study14 compared the relative efficacy and safety of ravulizumab to placebo, and the REGAIN study33 compared the relative efficacy and safety of eculizumab to placebo. No studies were reported to be identified and subsequently excluded. Patient-level data were available for all patients within the 2 trials. The primary outcomes of interest for the indirect comparisons and observational study were MG-ADL and QMG total scores, while secondary outcomes of interest were MG-ADL ocular, bulbar, respiratory, and limb subdomain scores as well as Neuro-QoL Fatigue scores, EQ-5D-5L index scores, and EQ VAS scores.
||| ||| ||||||||||| ||||||||||||| ||||| |||||||| |||||||||| || |||||| |||||||| ||| |||||||||| ||| ||||||| ||||||||| | |||||||| |||| ||| | ||||||||||||| ||||| ||||| |||||||||| ||||| ||||||||| || |||||| ||| |||||||||||| ||| ||| |||||||| || ||||||||| |||| || ||| | |||||||||| |||||||||| |||| ||||| || ||| ||||||| || || |||||||| |||||||||| || ||||||||||| || ||||||| ||||||| ||| ||||||| |||||||| || |||||||||||| |||||||| ||||||||||| |||||||||| ||||||||| |||| |||| |||| ||||||| ||||||||| ||| |||||| ||||||||| |||| |||||||| || | ||||||||||| |||||||||| || ||||||||||| |||||||| |||||| ||| ||||||| ||||| ||||| | |||||| ||||||||||| || |||||||||| ||| ||||||||||| || ||||||| || ||||| ||||||||||||||| |||| ||||||||| |||| |||| ||||||||||||| ||||||| |||||||| | ||||||||||||||||| |||||||| |||||||||| |||||| ||||| ||||||||| |||| |||| |||||| ||| ||||||||||||| |||| |||| ||||||||| ||||||||| ||||||||||| |||| |||| ||| ||| ||||||||| |||||||||||||||| ||| ||||||||||||| ||| ||||||||||||| ||||| |||||||| |||| ||||| ||||||||||||| |||| |||| ||||| ||||| |||| ||||| ||||||| |||||||| ||||||||||||| |||||| ||||| ||||||||||||| ||| ||||| ||||||||||||| |||||||| |||||||||| |||| ||||||||||||| ||| ||||||| ||||||||| || ||| |||| |||||||| |||||||||||| || |||||||||| ||| ||||||||||||| |||| |||| |||||||| ||||||||||||| ||||||||||||| ||||||||||||| ||||||| ||| ||||||||||||| |||| |||| ||| |||||||| |||||||||||||||| || ||||||||| ||| ||||||||||||| |||| |||| || ||||||| |||| |||||||| || ||| ||||||||||| |||| || |||||||| ||| ||||||||||||||| ||||| || ||||| || |||||||||| || |||||||||| ||||||||||||| |||||||||| ||| |||| ||| ||| |||||||| || ||| |||||||| ||||| ||||||||||||| |||| ||||||||| || ||| |||||||| || ||| |||||| |||||||||||| ||||| |||||| |||| ||| |||||||| |||| ||| ||||| || || ||| || |||||||| || ||| |||||||| ||||| ||||| |||||||| || |||| | ||||||| ||||||| |||||||||| || ||| |||||||| || |||||||| ||| |||||||||| || ||| |||||| | |||||| || ||||||| ||| |||| || |||||||| ||| |||||| || |||||||||||| ||| ||| |||| ||||| ||| |||| |||||| ||| | ||||||||| ||| |||||||||||||| ||||||||| ||||||||| ||||| ||||||| ||||||||| ||| || |||| ||||||| || ||| |||||||||||||||||| ||||| |||| || ||| |||||||| |||||| |||| ||||||| |||| |||||||| || ||||||||||||| ||||| ||||| |||| ||||||||||| ||||||||||||| |||| ||| |||| |||||| ||| || |||||||||||||||||| ||||||||| ||||| ||||| || |||||| ||| |||||||||||| || |||| ||||||||| ||| ||||||| |||||||| ||| |||| ||||||||||||||| |||||||||| ||||| ||| ||| |||| |||||||| || ||||||||||| |||||||| |||||||||| |||||| |||| ||||||| ||| ||| ||||| ||||||||| |||| || ||| ||| |||| ||| || ||| |||||||| ||| |||||| ||||||| |||||||| |||| |||||||| ||||||| || ||||| ||||||| |||||||||| |||||| || ||||| |||||||||| || ||||||||||| ||| |||||||| || ||| ||||||||| |||||||| ||| ||| ||| ||||||||| |||| ||| | ||||||||||| ||| |||||||| |||| ||||||| || | |||||| |||| |||||||| || || |||||| || ||||||||||| ||| |||||||| || |||||||| ||| |||||| || | || |||| ||||||||| ||| ||||||||| ||||||||||| |||||| ||| |||||| ||||||| |||||||||| ||||| |||||| ||||| ||| |||| ||| ||||||||||| || | || ||| || ||||| ||||||||||| || |||| ||| ||| ||| ||| |||||| ||||||| |||||||||| |||| ||| |||| ||| || ||| || ||||| ||||||||||| || |||| ||| ||||||||||||| ||| |||||||| ||| || |||| ||||| ||| ||||| ||||| |||||||| ||||||||| |||| |||||||| || |||| ||| ||||| ||| |||||||||| ||||| ||||||| ||| |||| |||||||| || |||| || ||| |||||| |||| ||| ||| ||||| |||||||||| || ||||||||||||| || ||||| |||||||| |||||||||||| |||||||| |||| |||||||| ||||| || ||||||||| ||||| ||||||||| |||||||| || || ||| ||||||||| ||||||||| || |||| ||||||||| ||| |||||||||| || |||||||| ||||||||| | ||||||| ||||||||||| || ||||| |||||| ||| ||| ||||| ||||||| |||||| ||||||| ||| |||||||||| ||| |||| ||||| ||| || |||| ||| ||| |||||||||| |||||||||| ||| |||||| |||| |||||||| |||||| |||| | || | ||| ||||||| | || || || |||| || ||||||||| ||| ||||| |||||||||| ||| |||||||| || ||| ||||||| |||| |||||||||||| |||| ||||||| ||||||| |||||| ||| |||||||| |||| ||||||| |||||| || |||| ||| |||| |||||||| |||||||||| || |||||||||| ||| ||||||||| ||||| || ||| ||| ||| |||||||| | ||||| |||| ||||||||| |||| ||| ||| ||| |||| ||||||||| ||| ||||||||||| |||| ||| ||||||| ||||||||||| || |||||||| |||| ||||||| |||||| |||||| ||| ||||||| || |||||| ||||||||||||| || |||||||| || |||||||||| ||| |||||| ||||||||||| || ||||||||||| |||||||||||| ||||||| ||| |||||||| ||| |||||| |||||||| ||||||||||||||| ||| ||||||||||| |||||| ||||||||||
|||||||| | ||||||||||||||| || ||| |||||||| |
|---|---|
||||||| | |||||| |||||||| |||||||||| |||||||||||||||||||||||||||||||| |||||||| |||||||||| |||||||||||||| |||||||||| |||| ||||||| ||||||||||| ||||||||| |
|||||||| | |||||| |||| |||||||||||||||| ||||| |||||||||||| ||||||| ||||||| |||||||||||| ||| |||| ||||||||| |||||||||| ||||| ||||||||||||||| ||||||| |||||||||||||| ||||| |||||||||||| ||||| |
||||||||| |||||||||| | || ||||| |
||||||||||| |||||||| | || |
|||||||| |||||||| | || |
||| ||||||||| ||||||||| ||||||||||| |||||| |||||||||| |||||| |||||||||| || ||||| ||||||| ||||||||| |||||||||||| ||||||| || ||||| || |||| ||||||||| || ||||||||||||| |||||||||| ||||||| || ||||||| |||||||| |||||||||||||| ||||||| ||||||||| || |||||||||
Note: This table has been redacted at the request of the sponsor.
||||||| || ||||||| ||||||||| |||| || ||||||||||| ||||||||||||| ||||||||||||| || |||||||| |||||||||| |||||| |||||||| |||| |||||||| |||||| || ||||||||| |||||||| || ||||||| |||||||| ||||||||| ||||||||||| |||||||||| |||||||| || |||||| ||||||||| |||||||||| |||||||| || |||||||| || ||||||| || || ||||||| ||||||| || | ||||||||||||||| || |||| |||||||||| ||||| |||||||| |||||| || ||||||||| ||||||||| |||||| ||||||||||| || || ||||||| | ||||||||| |||||||||||| |||| |||| |||||| |||||||| ||||| |||||||| |||| || || |||| |||| ||||||||||||||||| || || |||||||| |||||| |||||| || | ||||| || ||||||| ||||| || |||||||| ||||| |||||||| |||||||| || || || ||||||||||| || ||||| ||||||||| |||||||| ||||||| |||||||| || |||||| |||| |||||||| || |||| |||||| |||| || ||||| |||||| |||| || |||||| ||||||||| |||| || ||||| |||| || ||||||| ||||||| ||||| || ||||| || ||||||||||| || |||||||| |||| ||||||| || || ||||||||| || ||||||||| || |||||||| |||| |||| ||||||| || ||||||| |||||||||| || |||||||| || |||||| || || |||||||| |||||||||| ||||||| || || |||||||||| |||||||||| ||||||||||| ||||||| |||||||| || |||||| || |||||||| | Table 28 | |||||||| |||||||| || |||||||| |||| ||||| ||||||||| |||| || ||||| |||||| |||||| |||| || ||||| ||||||| || ||||| || ||||| |||||| ||||||||| |||| || ||||| ||||| |||||| |||||| |||| || ||||| ||||| ||||||| || ||||| |||||| ||||| |||||| ||||||||| |||| |||||| ||||| ||||| ||||| |||||| |||| |||||| ||||| ||||| ||||||| || ||||| ||||||||||| || |||||||| ||||||||| ||||||||||||| |||||||||||| || ||||||||||||| ||||||| ||||||||| |||||||||| ||||||||| ||||| |||| ||||||| |||||| |||||||||| ||||||||| ||||| |||| ||||||| || |||| ||||||||||| || |||||| |||||||||| || ||||| ||||||||| |||||||||| |||||| |||||| |||||| |||||||||| |||||| |||||| |||||||| || |||||||| || |||||||
|||||||| ||||||||||||||| | |||||||| | |||||| | ||||
|---|---|---|---|---|---|---|
||||||||||| |||||| | ||||||| |||||| | ||| ||||||| | |||||||||| |||||| | ||||||| |||||| | ||| ||||||| | |
|||| |||| ||||| | |||| | |||| | |||| | |||| | |||| | |||| |
|||||| ||| | |||| | |||| | |||| | |||| | |||| | |||| |
|||| |||||||| ||| | |||| | |||| | |||| | |||| | |||| | |||| |
• |||| ||||| ||| | |||| | |||| | |||| | |||| | |||| | |||| |
• |||| ||||| ||| | |||| | |||| | |||| | |||| | |||| | |||| |
• |||| ||||| |||| | |||| | |||| | |||| | |||| | |||| | |||| |
• |||| ||||| |||| | |||| | |||| | |||| | |||| | |||| | |||| |
• |||| ||||| ||| | |||| | |||| | |||| | |||| | |||| | |||| |
• |||| ||||| ||| | |||| | |||| | |||| | |||| | |||| | |||| |
|||| |||| ||||| |||||||||| ||||| | |||| | |||| | |||| | |||| | |||| | |||| |
|||| |||||| ||||| ||||| | |||| | |||| | |||| | |||| | |||| | |||| |
|||| ||| ||||| ||||| | |||| | |||| | |||| | |||| | |||| | |||| |
|||||||||| |||| ||||| || ||||| ||||| ||| | |||| | |||| | |||| | |||| | |||| | |||| |
• || || |||||||||| | |||| | |||| | |||| | |||| | |||| | |||| |
• |||||| || |||||||||| | |||| | |||| | |||| | |||| | |||| | |||| |
• |||||||| || |||||||||| | |||| | |||| | |||| | |||| | |||| | |||| |
• ||| || |||||||||| | |||| | |||| | |||| | |||| | |||| | |||| |
||||||||||||| |||||||||| ||||| | |||| | |||| | |||| | |||| | |||| | |||| |
||||||||||||| ||||||||||||| ||||||||||||| ||||||| ||||| | |||| | |||| | |||| | |||| | |||| | |||| |
||||||||||||||||| ||||||||| ||||| | |||| | |||| | |||| | |||| | |||| | |||| |
|||| ||||||||||| |||||| |||||||||| || |||||||| |||||| ||||||||||| |||||| |||||||||| || ||||| ||||||| || ||||||||||||| |||||||||| ||||||||||||||| ||||||| ||||||||| || |||||||
Note: This table has been redacted at the request of the sponsor.
||||||||| ||||||||| | || ||||||| ||||||||| ||||| || | |||| ||||||||| ||||||| |||||||| ||||||||||||||| |||| |||||||| || || |||| |||||||||| || Table 28 | || ||||||| || ||||| |||||||| || |||||||| | Table 29 | |||||||| |||||||||| |||| |||| ||||||||| |||||||| |||| |||||||| || || |||||||||| ||||||||| | ||||||||| |||||| |||| ||||| || |||||||| |||| |||||||| || ||||||| |||| || |||||||||||||||| |||||| ||||| || |||||||||||| | ||||||||| |||||| |||| || |||| ||||||||| |||| |||| || ||||||||| || |||||||| || |||||||| |||||||||| || || ||||||| |||| | ||||||||| |||||| |||| | |||| ||||||||| |||| |||| || ||||||||| || ||||||| ||||| |||| |||||||||||||||| || ||||||||| ||||| ||||| || || ||||||||| || || |||||||| || |||||||| |||||||| ||||| ||||||||||| |||||||||||| |||||| || |||||||||| || |||||||||||| |||||| || ||||||||| ||||||||||| ||||| |||| || ||||||||||||||| |||| || |||||||| || |||||| || |||||||||
|||||||| ||||||||||||||| |||| || |||| | |||||||| | |||||| | |||||||| | |||||| | ||
|---|---|---|---|---|---|---|
||||||||||| | ||||||||||||| |||| | ||||||| | |||||||||| |||| | |||
|||||| ||||||||| | ||||| ||||||||| | |||||| ||||||||| | ||||| ||||||||| | |||
| |||| | |||| |||||| | | |||| | |||| |||||| | |||
|||| |||| ||||| | |||| | |||| | |||| | |||| | |||| | |||| |
|||||| ||| | |||| | |||| | |||| | |||| | |||| | |||| |
|||| |||||||| ||| | |||| | |||| | |||| | |||| | |||| | |||| |
|||| ||||| ||| | |||| | |||| | |||| | |||| | |||| | |||| |
|||| ||||| ||| | |||| | |||| | |||| | |||| | |||| | |||| |
|||| ||||| |||| | |||| | |||| | |||| | |||| | |||| | |||| |
|||| ||||| |||| | |||| | |||| | |||| | |||| | |||| | |||| |
|||| ||||| ||| | |||| | |||| | |||| | |||| | |||| | |||| |
|||| ||||| ||| | |||| | |||| | |||| | |||| | |||| | |||| |
|||| |||| ||||| |||||||||| ||||| | |||| | |||| | |||| | |||| | |||| | |||| |
|||| |||||| ||||| ||||| | |||| | |||| | |||| | |||| | |||| | |||| |
|||| || ||||| ||||| | |||| | |||| | |||| | |||| | |||| | |||| |
|||||||||| |||| ||||| ||| | |||| | |||| | |||| | |||| | |||| | |||| |
| || |||||||||| | |||| | |||| | |||| | |||| | |||| | |||| |
||||| || |||||||||| | |||| | |||| | |||| | |||| | |||| | |||| |
|||||||| || |||||||||| | |||| | |||| | |||| | |||| | |||| | |||| |
||| || |||||||||| | |||| | |||| | |||| | |||| | |||| | |||| |
||||||||||||| |||||||||| ||||| | |||| | |||| | |||| | |||| | |||| | |||| |
||||||||||||| ||||||||||||| ||||||||||||| ||||||| ||||| | |||| | |||| | |||| | |||| | |||| | |||| |
||| |||||||||| |||||| ||||| |||| |||||||||||||||||| |||||||| ||||||||||| |||| ||||||||||| |||||| |||||||||| || |||||||| |||||| ||||||||||| |||||| |||||||||| || ||||| ||||||| || |||||||||||| |||||||||| ||||||||||||||| ||||||| ||||||||| || |||||||
Note: This table has been redacted at the request of the sponsor.
|||||||| |||||||| || ||||||| ||||||||||||||| || |||||||| ||||||||| || |||| || || ||||||||| || ||||||| || ||||| |||||||| || ||||||||| | Table 30 | |||||||| ||||||| || ||||| || || |||||||| |||||||||||||||| || |||||||||| |||| || || |||| || |||||||| || |||||||| || | |||||||| |||||| ||||||||||| ||||||||| |||||| |||| || || ||||||||| |||| |||| || ||||||||| || || ||||||| | || |||||||| || || ||||||||| |||||| |||| || |||| ||||||||| |||| |||| || ||||||||| || |||||||| || || |||||| |||||| |||||||||| ||||||||| |||||| |||| || |||| ||||||||| |||| |||| || ||||||||| || || ||||||| || || |||||| || || ||||||||| |||||| |||| || |||| ||||||||| |||| |||| || |||||||||
|||||||| ||||||||||||||| |||| || ||| | |||||||| | |||||| | ||||
|---|---|---|---|---|---|---|
||||||||||| | ||||||| | ||| | |||||||||| | ||||||| | ||| | |
|||| |||||| | |||| |||||| | |||| ||||||| | |||| |||||| | |||| |||||| | |||| |||||| | |
|||| |||| ||||| | |||| | |||| | |||| | |||| | |||| | |||| |
|||||| ||| | |||| | |||| | |||| | |||| | |||| | |||| |
|||| |||||||| ||| | ||||||
|||| ||||| ||| | |||| | |||| | |||| | |||| | |||| | |||| |
|||| ||||| ||| | |||| | |||| | |||| | |||| | |||| | |||| |
|||| ||||| |||| | |||| | |||| | |||| | |||| | |||| | |||| |
|||| ||||| |||| | |||| | |||| | |||| | |||| | |||| | |||| |
|||| ||||| ||| | ||| | ||| | ||| | ||| | ||| | ||| |
|||| ||||| ||| | ||| | ||| | ||| | ||| | ||| | ||| |
|||| |||| ||||| |||||||||| ||||| | ||| | ||| | ||| | ||| | ||| | ||| |
|||| |||||| ||||| ||||| | ||| | ||| | ||| | ||| | ||| | ||| |
|||| || ||||| ||||| | |||| | |||| | |||| | |||| | |||| | |||| |
|||||||||| |||| ||||| ||| | ||||||
| || |||||||||| | |||| | |||| | |||| | |||| | |||| | |||| |
|||||| || |||||||||| | |||| | |||| | |||| | |||| | |||| | |||| |
|||||||| || |||||||||| | |||| | |||| | |||| | |||| | |||| | |||| |
||| || |||||||||| | ||| | |||| | ||| | ||| | ||| | ||| |
||||||||||||| |||||||||| ||||| | |||| | |||| | |||| | |||| | |||| | |||| |
||||||||||||| ||||||||||||| ||||||||||||| ||||||| ||||| | |||| | |||| | |||| | |||| | |||| | |||| |
||||||||||||||||| ||||||||| ||||| | ||| | ||| | ||| | ||| | ||| | ||| |
||| |||||||| |||||||||| |||||||||| |||| ||||||||||| |||||| |||||||||| || |||||||| |||||| ||||||||||| |||||| |||||||||| || ||||| ||||||| || ||||||||||||| |||||||||| ||||||||||||||| ||||||| ||||||||| || |||||||
Note: This table has been redacted at the request of the sponsor.
||| |||||||||| |||||||||| |||||||||||| |||| || |||| || ||||||||| ||||| Table 31 | || |||||||| || || |||||||||| |||||| |||| |||||||| || || |||||| |||| || ||||||||| || |||||| ||||| |||||| || || ||||| |||||| ||||| |||| | || |||||||| |||| |||||||||||| || ||||||| ||||||||||| || || |||||||| |||||||| ||||||||| |||||| || ||||| |||||| |||||||| |||| |||||||||| |||||||| ||||||||||| || |||||| ||||||||| |||| |||||||||| || |||||||| || |||||||||||| |||||| |||||||| || ||||||||| ||||| |||| || ||||||||| || || ||||||||| ||||||||||||| || |||||| |||||||| |||| ||||||||||
|||||||| || || |||||||| || |||||||| ||||| || |||||||||||| |||||||| || |||| ||||||||||| ||||||| ||||||||||| || ||||||||||| |||||||| |||| || || |||||| ||||||||| |||| || ||||||||| || |||| ||||||||||| |||||| || || || |||||||| || ||||||||||| || |||||||| ||||| || |||||||||||| |||||||||| |||||||| || |||||||||||| || ||||||| ||||| ||||||||||| | |||||||| ||||||| |||| |||||||||| |||| ||||||||||| || |||||| ||||||||||| ||||||||| ||||| |||||| |||| |||||||| |||||| ||||||||||| |||||||||| ||||||||||| |||||||| || ||||||||||| ||||| || | |||| || ||||| | || || ||||||||| || || || || |||| || |||||||||| ||||||||| || ||||||||| ||||||| |||||| || ||||||| ||||| || ||||||||||| || |||||||| ||||||| |||| |||||||||| |||| ||||||||||| ||||| |||||| |||| |||||||| ||||||||| ||||||| |||||| ||||||||||| |||||||| || ||||||||||| ||||| | | |||| || |||||| || || |||||||||| ||||||||| || || || || |||| || || ||||||||| |||||||| || ||||||| || ||||||||||| || ||||| || |||||||||| |||| ||||||||||| ||||| |||||| |||| |||||||| |||||| |||||||||||| |||||||| || ||||||||||| ||||||| || || |||||| || |||||| || || ||||| || || || || |||||||||| || || |||||||| || | ||||| |||||||| ||||||||||| |||||||| ||||||| ||||| |||||| |||||| |||||| ||||||||| |||||| |||||| |||||| ||||||||| |||||| |||||| |||| ||||||||| |||||| || ||||| |||||| || |||||||| ||||| |||||| ||||| || |||||||||||| |||||||| || |||| ||||||||||| ||||||| |||||||||| || |||||||||||| || |||| |||||| || |||||| ||||||||| |||| || ||||||||| || |||| ||||||||||| ||||| || |||||| || ||||||||||| |||||||| || |||||||||||
||||||||||||||||| | |||||||||| | |||||||||| | |||||||||| |
|---|---|---|---|
||||||||||| |||||||||||||||| |||| ||| | ||||||||||| ||||||||||||||| |||| ||| | ||||||||||| |||||||||||||||| |||| ||| | |
|||||| ||||| ||||| | |||
|||||| |||| |||||||| || |||| | | |||| |||||| || ||||| | |||| |||||| || ||||| | |||| |||||| || ||||| |
| ||||| |||||||||||| | | |||| ||||| || ||||| | |||| ||||| || ||||| | |||| ||||| || ||||| |
| ||||| |||||||||||| | | |||| ||||| || ||||| | |||| ||||| || ||||| | |||| ||||| || ||||| |
|||||| |||||| ||||||||| ||||| | |||
|||||| |||| |||||||| || |||| | | |||| |||||| || ||||| | |||| |||||| || ||||| | |||| |||||| || ||||| |
|||||| |||||| ||||||||| ||||| | |||
|||||| |||| |||||||| || |||| | | ||||| |||||| || ||||| | ||||| |||||| || ||||| | ||||| |||||| || ||||| |
|||||| ||||||||||| ||||||||| ||||| | |||
|||||| |||| |||||||| || |||| | | |||| |||||| || ||||| | |||| |||||| || ||||| | |||| ||||| || ||||| | |
|||||| |||| ||||||||| ||||| | |||
|||||| |||| |||||||| || |||| | | |||| |||||| || ||||| | |||| |||||| || ||||| | ||||| |||||| || ||||| |
||| ||||| ||||| | |||
|||||| |||| |||||||| || |||| | | |||| |||||| || ||||| | ||||||||||| |||||||| | |||| |||||| || ||||| |
| ||||| |||||||||||| | | |||| ||||| || ||||| | |||| ||||| || ||||| | |||| ||||| || ||||| |
| ||||| |||||||||||| | | |||| ||||| || ||||| | |||| ||||| || ||||| | |||| ||||| || ||||| |
||||||||| ||||||| ||||| | |||
|||||| |||| |||||||| || |||| | | |||| ||||| || |||||| | ||||||||||| |||||||| | |||| |||||| || |||||| |
|||||||| ||||| ||||| | |||
|||||| |||| |||||||| || |||| | | |||| |||||| || ||||| | ||||||||||| |||||||| | |||| |||||| || ||||| |
|||||| | |||
|||||| |||| |||||||| || |||| | | ||||| ||||||| || ||||| | |||||| ||||||| || |||||| | ||||| ||||||| || ||||| |
| ||||||||||| ||||||||| || |||||||| |||||||||| |||||||||| | ||||||||| ||||||||| ||||||||||| |||| |||||||||||||||||| |||||||| ||||||||||| |||||| ||||||||||| |||||| |||||||||| || ||||| ||||||| || ||||| |||||| | |||||||||||| |||||||||| ||||||| | |||||| |||||||| |||||||||||||| ||||||| ||||||||| || |||||||
Note: This table has been redacted at the request of the sponsor.
An important limitation of the submitted ITCs and observational study is that of absence of safety data. Without this, it is not possible to evaluate the combined efficacy and safety of ravulizumab relative to eculizumab. Given the absence of a clear conclusion with respect to efficacy, the influence of safety may become of higher priority to physicians and patients considering treatment with ravulizumab. As demonstrated in the observed differences in patient baseline characteristics, and trial eligibility differences between the CHAMPION and REGAIN trials, a naive (unadjusted) comparison of safety rates between these 2 trials is unlikely to be valid. Accordingly, no assessment can be made on the basis of the presented data with respect to the safety of ravulizumab relative to eculizumab. Notably, no justifications were provided for the selected analysis methods (the Bucher ITC, MAIC, and observational comparison with propensity score adjustment) and the appropriateness of each method varies depending on the evidence available for comparison (the validity of each method relies on different assumptions). The results were sometimes inconsistent across the analyses, and no direction was provided as to which may be most reliable.
A limitation of the submitted analyses is with respect to the observable parameters incorporated into both the MAIC and inverse propensity weighting (IPW) models. As demonstrated, the patient baseline characteristics varied across the 2 included studies. While the presented characteristics were incorporated into both the MAIC and IPW models, these approaches were unable to account for characteristics not included (i.e., known but unmeasured confounders, and unknown confounders), which may lead to residual confounding. The sponsor did not provide justification about the choice of parameters for inclusion within the statistical models chosen. It is important to note that certain parameters that may be important were not included in the model owing to a lack of data. For example, no data were provided with respect to IVIg usage in the REGAIN study. This particular covariate was noted by the clinical experts to be a potentially significant prognostic factor. Accordingly, residual confounding may influence the results for characteristics not incorporated into the adjusted models.
Importantly, the included trials differed with respect to inclusion status based on prior therapy. Patients in the REGAIN study were required to have failed with at least 2 immunosuppressive drugs or failed treatment with at least 1 immunosuppressive drug and have required chronic PE or IVIg. No such restriction was applied to patients in the CHAMPION study. This may in part explain the difference observed in the adjusted baseline use of ISTs, as well as perhaps the difference in baseline MG-ADL total scores and QMG total scores identified by the sponsor. Although the 2 trials were separated by approximately 5 years in enrolment periods, the clinical experts who reviewed the sponsor-submitted analysis did not indicate an expectation of significant changes to the standard of care, diagnostic awareness or capacity, and patient demographics over this time period.
For the covariates included under the adjusted models, there were several differences noted by the sponsor before adjustment. Following adjustment, the effective sample size under both the MAIC and IPW approaches was substantially reduced. This is indicative of a limited number of patients overlapping across the 2 trials based on the observed included covariates. Further, the low effective sample size limits the statistical power of the presented analyses, which may explain the comparatively large associated CIs presented in the main report.
No information was provided with respect to the process of the selection of trials for inclusion in the analyses. Within the CADTH review protocol, and in discussion with clinical experts, CADTH considered several other therapies of potential interest such as PE, PP, IVIg, AChEIs (e.g., pyridostigmine), IST (e.g., corticosteroids, azathioprine, mycophenolate mofetil, tacrolimus, cyclosporine, methotrexate, cyclophosphamide) and rituximab. As these therapies were not included in the analyses of indirect evidence, no assessment can be made regarding the relative efficacy of ravulizumab compared to these treatment options. For outcomes and safety data not included, it is unclear whether this is due to their lack of availability, a lack of feasibility, or other reasons. No conclusions with regard to the risk of bias of the included trials could be drawn, since this was not assessed or reported.
With respect to applicability to the Canadian patient population, data were not presented with respect to the geographic distribution of included patients, and therefore the influence of systematic differences in health care provision between the included geographies of patients among the trial populations and patients living in Canada is unclear. Moreover, the indirect evidence from the MAIC cannot be generalized to any specific subpopulation of patients with MG, as the reweighted data for patients in the ravulizumab arm of the CHAMPION trial were not reflective of any specific patient subgroups. Although the intent of this analysis was to enable comparisons with patients with refractory MG in the REGAIN trial, the degree to which the data accurately reflected the use of ravulizumab in refractory patients was unclear.
For the responder analysis, it is important to note that the last observation carried forward method was used, although no information was provided on the numbers of patients where values were imputed. Accordingly, a potential for bias occurs in these results, with an uncertain influence on the direction and magnitude of any such effect owing to the lack of data presented on the imputation approach.
In the submitted ITC, no formal specification was provided in the methods with respect to the estimand of interest used by the sponsor in its propensity weighting models. As such, it is unclear whether the reported results correspond to the average treatment effect on the treated population or the average treatment effect in this analysis.
For outcomes, all analyses are truncated at 26 weeks. Accordingly, no assessment can be made on the influence of ravulizumab relative to eculizumab beyond 26 weeks of treatment.
This section includes a summary of the ongoing OL extension period of the CHAMPION13 trial with a 60-week data cut-off date36 included in the sponsor’s submission to CADTH that was considered to provide further information on the long-term efficacy and safety of ravulizumab in adult patients with gMG who are treatment-naive to complement inhibitor.
The ongoing OL extension period of the CHAMPION trial13 is being conducted for up to 4 years (a protocol amendment was made on May 21, 2021, to increase the maximum duration of the OL extension period to up to 4 years). The objective of the OL extension is to evaluate the long-term efficacy and safety of ravulizumab in adult patients with anti-AChR antibody–positive gMG who are treatment-naive to complement inhibitors (N = 161).36
Details of the CHAMPION trial are presented in the Description of Studies sub-subsection of the Findings From the Literature subsection, Clinical Evidence section. After completing the 26-week randomized controlled period and assessments on day 183 (week 26), all patients who completed the randomized controlled period were eligible to enter the OL extension period and receive ravulizumab. The OL extension period for each patient started when the patient received a blinded dose of ravulizumab on day 183 (week 26). On day 183 (week 26), patients in the ravulizumab group received a blinded maintenance dose of ravulizumab 900 mg (ravulizumab to ravulizumab group) and patients in the placebo group received a blinded loading dose of ravulizumab (placebo to ravulizumab group). Beginning on day 197 (week 28), all patients received a maintenance dose of OL ravulizumab every 8 weeks.36
A summary of the results from the CHAMPION trial collected up to week 60 in the OL extension period is presented as follows. The data cut-off date was November 9, 2021. Note, for patients who did not reach the week 60 visit by the data cut-off date, all data that were available were included.36
Details of the inclusion and exclusion criteria in the CHAMPION trial are presented in the Description of Studies subsection in the Clinical Evidence section.
Approximately half of the patients (50.9%; n = 82) were female and approximately three-quarters of patients (73.3%; n = 118) were white. The mean age at the first OL ravulizumab infusion was 55.9 (SD = 15.24) years, and approximately two-thirds of patients (68.3%; n = 110) were aged between 18 years and 65 years at the first infusion of ravulizumab or placebo during the randomized controlled period. The mean baseline weight was 91.1 (SD = 26.66) kg, with more than half of patients (55.3%; n = 89) in the baseline weight category of 60 kg to 100 kg.36
The most common baseline MGFA clinical classifications were class IIIa (32.9%; n = 53), class IIa (26.1%; n = 42), class IIb (18.0%; n = 29), and class IIIb (16.8%; n = 27). The mean baseline MG-ADL total score was 9.0 (SD = 2.41) and the mean baseline QMG total score was 14.5 (SD = 5.20).36
All patients (n = 169; 100%) had received prior treatment for MG, including symptomatic therapies, before the start of the study treatment (at the beginning of the randomized controlled period). |||||| | |||||||| || ||||| |||||| || |||||||| |||||||||| |||| ||||||||||||||||||||| ||||| || ||||| | |||||||||| |||| |||||||| |||||||||||||||, 78.1% (n = 132) had experience with ISTs, 44.4% (n = 75) had experience with immunoglobulins, 6.5% (n = 11) had experience with rituximab, and 1.2% (n = 2) had experience with cyclophosphamide. ||| |||| |||||||| |||| |||||||| |||| || ||||| || || || || ||||||||| || |||||||||| ||||| || ||||| ||||||||| |||| |||||||||||||| ||||||| ||||||| | | ||||| |||||||||| ||||||| | | |||| ||||||||||||| ||||||| ||||||| | | |||| |||||||||||| ||||||| | | |||| || ||||||||||||||| | ||||||||| ||||||||| ||||||| | | |||| || |||||||||| || |||||||| || |||| ||||||||| ||||| |||| |||||||||| |||| |||||||||||||| ||||||| || ||||||||||||| ||||||| |||| |||||||| |||| |||| ||||| || |||||||| || |||| || || ||||||| ||||| || ||||| || |||||||| || |||| || || ||||||| ||||| || |||||||||| |||| ||||||||||| |||||||||||| ||||||| || |||||||| || |||| || || ||||||| ||||| || ||||| || |||||||| || |||| || || ||||||| ||||| || |||||||||| |||| ||||||||||||| |||||||||| ||||||| || |||||||| || ||| || || ||||||| ||||| || ||||| || |||||||| || ||| || || ||||||| ||||| || |||||||||| |||| ||||||||||||||| || ||||||||| ||||||||||
|||||| |||||| ||||| || ||||||||| || || || || ||||| |||| || | ||||| ||||| || |||||||| ||||||| |||||||| || || || | |||||||| ||||||| || || ||||||| ||||| || || |||||||| ||||||| || || ||||||| |||||| || || |||||||| ||||||| |||||||| |||| || |||||||| ||||||| || | ||||||| ||||| || || |||||||| ||||||| || || ||||||| |||||||
| ||||| || || |||||||| ||||||| |||| ||||| || |||| || || || || ||||| |||| || |||||||||||| || |||||||| ||||||| || || ||||||| ||||| || || |||||||| ||||||| || | ||||||| ||||||
Details of the dosing information for ravulizumab used in the CHAMPION trial are presented in the Description of Study sub-subsection in the Other Relevant Evidence section, as well as in the Interventions sub-subsection of the Clinical Evidence section. Note that there were no comparators used in the OL extension period.36
The efficacy and safety data of ravulizumab were presented up to week 60 of the OL extension period. The primary efficacy end point was the MG-ADL total score, and the key secondary end points were the QMG total score, Neuro-QoL Fatigue score, and MG-QoL15r score.36
As per the primary efficacy analysis in the randomized controlled period, the MMRM method was used for analysis of all efficacy end points in the OL extension period, but no formal statistical comparisons were made between treatment groups.36
The OL extension set, a subset of the FAS, consisted of patients who received at least 1 dose of ravulizumab in the OL extension period (N = 161).36 The OL extension set included 93% (n = 83) of patients originally randomized to the placebo arm and 91% (n = 78) of patients originally randomized to the ravulizumab arm.
The ravulizumab-treated set consisted of all patients who received at least 1 dose of ravulizumab in either the randomized controlled period or the OL extension period (N = 169).36 For patients in this set, data were presented from the first dose of ravulizumab during either the randomized controlled period or the OL extension period through the data cut-off date up to week 60. The ravulizumab-treated set included 93% (n = 83) of patients originally randomized to the placebo arm and all patients (n = 86) originally randomized to the ravulizumab arm.
Of the 175 patients who made up the FAS during the randomized controlled period, 162 patients completed the randomized controlled period, among whom 161 (99.4%) patients entered the OL extension. A total of 78 (98.7%) patients who were originally randomized to the ravulizumab arm entered the OL extension period; 1 patient completed the randomized controlled period but did not enter the OL extension due to patient decision. All patients (n = 83) who were originally randomized to the placebo arm entered the OL extension period.36 As of the data cut-off date, 150 of 161 patients in the OL extension set were ongoing in the study: 71 of 78 patients in the ravulizumab to ravulizumab group and 79 of 83 patients in the placebo to ravulizumab group.36
A total of 7 (9.0%) patients in the ravulizumab to ravulizumab group discontinued from the study during the OL extension period, of which 3 (3.8%) discontinuations were due to withdrawal by patients, 3 (3.8%) discontinuations were due to physician decision, and 1 (1.3%) discontinuation was due to death. A total of 4 (4.8%) patients in the placebo to ravulizumab group discontinued from the study during the OL extension period, of which 2 (2.4%) discontinuations were due to withdrawal by patient, 1 (1.2%) discontinuation was due to physician decision, and 1 (1.2%) discontinuation was due to death.36
The |||| ||||||||||| ||||||||| |||||||| || ||||| |||| || |||||| |||||| ||||| |||| || ||||| ||||| || | ||||||| ||||| || ||||| |||| || ||||| ||||| || || ||||||| |||||| There had been 141.6 patient-years of exposure to ravulizumab | |||| ||||||||||||| || || ||||||| ||||| || |||| ||||||||||||| || | ||||||| |||||| || |||| |||||| || ||||||||||| ||||||||| || ||||||| || || ||||||||| || |||| ||||||||||| || ||||||||| || |||| |||||||||| || || ||||||| ||||| || || ||||||||| || |||| |||||||||| || | ||||||| ||||||
| ||||| || || |||||||| ||||||| || |||| ||||||||| ||||||||| |||| || ||||| |||| || ||||||||||| ||||||| || |||| |||||| ||||| || |||||||| ||||||| || || ||||||| ||||| || || |||||||| ||||||| || | ||||||| ||||||
||| |||||||| |||||| | | |||| |||| || ||||||||||| || |||||||||| |||||||||| ||||||| || ||||| |||||||| ||||||||||| ||||||||||||||||||||| ||||| || |||| |||||||| ||||||||||| |||||||||||||||| || ||||| || ||||| |||||||| ||||| ||||||||||| ||||| || |||| |||||||| |||| |||||||| |||| || ||||| || || || || ||||||||| ||||||||||| || |||||||||||| ||||| |||| ||||| |||| |||||||||||||| ||||||| ||||||| | | ||||| |||||||||| ||||||| | | |||| || ||||||||||||| ||||||| ||||||| | | |||| || |||||||||| || |||||||| || |||| ||||||||| ||||| |||| ||||||||||| |||||||||||||| ||||||| || ||||||||||||| ||||||| |||| |||||||| ||||| || |||||||| ||||||| || || ||||||| ||||| || || |||||||| ||||||| || || ||||||| ||||| |||| ||||||||||| |||||||||||
| ||||| || || |||||||| |||||| |||| ||||||||||| ||||| |||||||| ||||||| || || ||||||| ||||| || ||||||||| |||||| || || ||||||| |||||| ||||| || ||||||||| |||||| |||| || || || || |||||||| |||||| || | ||||||| ||||| |||||||| |||||| ||| ||||||| ||||||
Only those efficacy outcomes identified in the CADTH review protocol are reported as follows.
The LSM changes from the OL extension period baseline in the MG-ADL total score and corresponding 95% CIs through week 60 are presented in Figure 13. The LSM change from OL extension baseline in the MG-ADL total score was 0.1 (standard error of the mean [SEM] = 0.28; 95% CI, –0.4 to 0.7) at week 28 and was –0.3 (SEM = 0.29; 95% CI, –0.9 to 0.3) at week 60 in the ravulizumab to ravulizumab group. The LSM change from OL extension baseline in the MG-ADL total score was –1.7 (SEM = 0.36; 95% CI, –2.4 to –1.0) at week 28 and was –1.7 (SEM = 0.50; 95% CI, –2.7 to –0.8) at week 60 in the placebo to ravulizumab group.36
Figure 13: Change From Open-Label Extension Baseline to Week 60 of the Open-Label Extension Period in MG-ADL Total Score in the CHAMPION Trial — Open-Label Extension Set
BL = baseline; LSM = least squares mean; MG-ADL = Myasthenia Gravis Activities of Daily Living; MMRM = mixed model of repeated measures; OL = open-label; PBO = placebo; Ravu = ravulizumab.
Notes: Data cut-off date — November 9, 2021.
The OL extension baseline was defined as the last available assessment value collected before the first study drug infusion in the OL extension period. The start of the OL extension period was week 26. The estimates were based on an MMRM for each treatment sequence and included stratification factor region, baseline score, and study visit. Three asterisks indicate the 2-sided nominal P value was less than 0.001 for testing whether the LSM was equal to 0; no adjustments for multiplicity were made and there was an increased risk for type I error.
Source: CHAMPION Clinical Study Report Addendum (60-Week Data).36
The LSM changes from the OL extension period baseline in the QMG total score and corresponding 95% CIs through week 60 are presented in Figure 14. The LSM change from OL extension baseline in the QMG total score was 0 (SEM = 0.40; 95% CI, –0.8 to 0.8) at week 28 and was –0.9 (SEM = 0.48; 95% CI, –1.9 to 0) at week 60 in the ravulizumab to ravulizumab group. The LSM change from OL extension baseline in the QMG total score was –2.1 (SEM = 0.49; 95% CI, –3.0 to –1.1) at week 28 and was –3.1 (SEM = 0.57; 95% CI, –4.2 to –1.9) at week 60 in the placebo to ravulizumab group.36
Change in MG medications was not an efficacy outcome in the CHAMPION trial, although this information was collected. |||||||| || |||||||| ||||||| |||||||| || |||||||||| ||||||| |||||| || || ||||||||| |||||| || || || |||| |||||| ||||| The most common MG medication change was decreased systemic corticosteroids reported in 28.0% of patients (n = 45): 24.4% of patients (n = 19) in the ravulizumab to ravulizumab group and 31.3% of patients (n = 26) in the placebo to ravulizumab group. ||| |||||| |||| |||||| || |||||||||| |||||| ||||||||| |||||||||||||||||||| |||||||| || ||||| || |||||||| || ||||| ||||| || |||||||| || |||| || || ||||||| ||||| || ||||| || |||||||| || |||| || || ||||||| |||||| || ||||| |||| |||||| || |||||||||| |||||| || || |||||||||||||| |||||||| || |||| || |||||||| ||||||| ||||| || |||||||| || || || || ||||||| ||||| || |||| || |||||||| || || || || ||||||| ||||||||| ||||| ||||||| || |||||||| |||||||||||||||| |||||||||||||||| ||||| ||||| || |||||||||||||||||||| |||||||| |||||||||||| |||||| || || |||| || || ||||||||||
Figure 14: Change From Open-Label Extension Baseline to Week 60 of the Open-Label Extension Period in QMG Total Score in the CHAMPION Trial — Open-Label Extension Set
BL = baseline; LSM = least squares mean; MMRM = mixed model of repeated measures; OL = open-label; PBO = placebo; QMG = Quantitative Myasthenia Gravis; Ravu = ravulizumab.
Notes: Data cut-off date — November 9, 2021.
The OL extension baseline was defined as the last available assessment value collected before the first study drug infusion in the OL extension period. The start of the OL extension period was week 26. The estimates were based on an MMRM for each treatment sequence and included stratification factor region, baseline score, and study visit. Three asterisks indicate the 2-sided nominal P value was less than 0.001 for testing whether the LSM was equal to 0; no adjustments for multiplicity were made and there was an increased risk of type I error.
Source: CHAMPION Clinical Study Report Addendum (60-Week Data).36
During the OL extension period, | ||||| || || |||||||| |||||| |||||||| |||||||| ||||||||||||| |||| || |||||||| |||||||| || |||||||| |||||| |||||||| ||||||||| ||||||| || || ||||||| ||||| || |||||| |||||| || || ||||||| ||||||| || |||| |||||| |||||| ||||||||| |||||||||||| |||| |||| |||||| | | |||| || || ||||||||| | | || || |||| |||| ||||||||||||||| |||||| | | |||
The LSM changes from the OL extension period baseline in the MG-QoL15r score and corresponding 95% CIs through week 60 are presented in Figure 15. The LSM change from OL extension baseline in the MG-QoL15r score was –1.1 (SEM = 0.45; 95% CI, –2.0 to –0.2) at week 30 and was –0.8 (SEM = 0.53; 95% CI, –1.8 to 0.3) at week 60 in the ravulizumab to ravulizumab group. The LSM change from OL extension baseline in the MG-QoL15r score was –3.5 (SEM = 0.79; 95% CI, –5.1 to –1.9) at week 30 and was –3.1 (SEM = 0.87; 95% CI, –4.8 to –1.4) at week 60 in the placebo to ravulizumab group.36
Figure 15: Change From Open-Label Extension Baseline to Week 60 of the Open-Label Extension Period in MG-QoL15r Score in the CHAMPION Trial — Open-Label Extension Set
BL = baseline; LSM = least squares mean; MG-QoL15r = Myasthenia Gravis Quality of Life 15-item scale - Revised; MMRM = mixed model of repeated measures; OL = open-label; PBO = placebo; Ravu = ravulizumab.
Notes: Data cut-off date — November 9, 2021.
The OL extension baseline was defined as the last available assessment value collected before the first study drug infusion in the OL extension period. The start of the OL extension period was week 26. The estimates were based on an MMRM for each treatment sequence and included stratification factor region, baseline score, and study visit. Three asterisks indicate the 2-sided nominal P value was less than 0.001 for testing whether the LSM was equal to 0; no adjustments for multiplicity were made and there was an increased risk of type I error.
Source: CHAMPION Clinical Study Report Addendum (60-Week Data).36
The LSM changes from the OL extension baseline period in the Neuro-QoL Fatigue score and corresponding 95% CIs through week 60 are presented in Figure 16. The LSM change from OL extension baseline in the Neuro-QoL Fatigue score was –4.3 (SEM = 1.63; 95% CI, –7.6 to –1.1) at week 30 and was –1.5 (SEM = 1.74; 95% CI, –5.0 to 1.9) at week 60 in the ravulizumab to ravulizumab group. The LSM change from OL extension baseline in the Neuro-QoL Fatigue score was –9.3 (SEM = 2.18; 95% CI, –13.7 to –5.0) at week 30 and was –8.0 (SEM = 2.19; 95% CI, –12.3 to –3.6) at week 60 in the placebo to ravulizumab group.36
Figure 16: Change From Open-Label Extension Baseline to Week 60 of the Open-Label Extension Period in Neuro-QoL Fatigue Score in the CHAMPION Trial — Open-Label Extension Set
BL = baseline; LSM = least squares mean; MMRM = mixed model of repeated measures; Neuro-QoL = Quality of Life in Neurological Disorders; OL = open-label; PBO = placebo; Ravu = ravulizumab.
Notes: Data cut-off date — November 9, 2021.
The OL extension baseline was defined as the last available assessment value collected before the first study drug infusion in the OL extension period. The start of the OL extension period was week 26. The estimates were based on an MMRM for each treatment sequence and included stratification factor region, baseline score, and study visit. Two asterisks and 3 asterisks indicate the 2-sided nominal P value was less than 0.01 and 0.001, respectively, for testing whether the LSM was equal to 0; no adjustments for multiplicity were made, and there was an increased risk of type I error.
Source: CHAMPION Clinical Study Report Addendum (60-Week Data).36
A summary of harms in the ravulizumab-treated set (n = 169) is presented in Table 32. Only those safety outcomes identified in the CADTH review protocol are reported as follows. Data were available for harms for ||| |||||||| || || ||||||| || |||||||||| || |||||||| | || || || |||||| || |||||||||| || || |||||||| || || || || |||||| || ||||||||||
During the total treatment duration with ravulizumab through week 60 as of the data cut-off date, a total of 150 (88.8%) patients experienced at least 1 AE. The most common AEs (occurring in 10% or more of patients) were headache in 28 (16.6%) patients, followed by diarrhea in 23 (13.6%) patients. ||| |||||||| ||||||| | | |||| || |||||||| ||||||||||| || || || || |||||||| ||||||| ||||| || |||| || ||||| || |||| ||||||||||| || || || || || || |||||| || | || || ||||||| |||||||||||||
A total of 41 (24.3%) patients had at least 1 SAE. ||| |||| |||||| |||| |||||||||| || || |||| ||||||||| |||| |||||||||| |||||| || ||||||||| ||||||| |||||||| || ||||||||| ||||||| || |||||||| |||||||||| ||||||||||| |||||||||| ||||||||| ||||||||| ||||||| |||||||| ||||||||| || ||||||||| || ||||||||| |||||| ||||| |||||||| |||| |||||||| ||||||||||| |||| || || ||||||| ||||||| | | || || || || |||||| ||||||| | | ||||| |||||||| |||||| | | || ||||||||||| |||| || || || || ||||||||| ||||| || ||||||||| |||||| |||||||| |||| | ||||| |||| || || || || ||||||| || || ||||||| |||||||| |||||||||| |||||||| |||| |||||| || |||||||||| |||||| || |||||||| || |||||||| |||||| ||||| ||||| |||| || ||||||||||| |||| || ||||| |||| ||||| || |||||||
A total of 4 (2.4%) deaths were reported ||||||| || || ||||||: 2 (1.2%) deaths were due to COVID-19 and 1 (0.6%) death each was due to COVID-19 pneumonia and to cerebral hemorrhage. | ||||| || ||||||||||| |||||| |||| |||||||| ||||| || |||| |||||| ||||| |||||| || || || ||||||||| |||||||| || |||||||||||| || ||||||| |||||| |||||| |||||||||| ||||||||||| | |||||||||||| ||||||| ||||| ||||| ||||| || || || |||||||| |||||| | || |||||||| ||||||||||||| |||| ||||||||||| || || || || || || |||||||| |||||| || || ||||||| ||||| | || || |||||||| |||||| || || ||||||| ||||||
| ||||| || || |||||||| ||||||| || |||||||||| || ||||||||||||| |||| |||||||| || || ||||| || || ||||||| ||||||| | | || || || || |||||| ||||||| | | |||| No meningococcal infections were reported; however, 1 event of meningitis of unknown etiology was noted | |||||| || || |||||||| ||||||| ||||||||||| |||||||| |||||||||| |||| |||||||| || || ||||| || || ||||||| ||||||| | | || | || || |||||| ||||||| | | ||||
Table 32: Summary of Harms in the CHAMPION Trial — Ravulizumab-Treated Set
Harms outcome | Total treatment duration with ravulizumab | |||
|---|---|---|---|---|
| || ||||||||| |||| | | || || |||||||| |||| | | || || || |||||||| ||| | 0 months to cut-off N = 169 | |
Patients with ≥ 1 AE | ||||
n (%) | ||| |||||| | | |||||| | | |||||| | 150 (88.8) |
Most common events,a n (%) | ||||
Headache | | |||||| | | ||||| | | ||||| | 28 (16.6) |
Diarrhea | | |||||| | | ||||| | | ||||| | 23 (13.6) |
Patients with ≥ 1 SAE | ||||
n (%) | | |||||| | | |||||| | | ||||| | 41 (24.3) |
|||| |||||| |||||| |||| | ||||
|||||||||| |||||| | | ||||| | | ||||| | | ||||| | | ||||| |
|||||||| | | ||||| | | ||||| | | ||||| | | ||||| |
|||||||| ||||||||| | | ||||| | | ||||| | | ||||| | | ||||| |
|||||||||| | | ||||| | | ||||| | | ||||| | | ||||| |
||||||||| | | ||||| | | ||||| | | ||||| | | ||||| |
||||||||| ||||||||| |||||| | | ||||| | | ||||| | | ||||| | | ||||| |
||||||| | | ||||| | | ||||| | | ||||| | | ||||| |
|||||||| | | ||||| | | ||||| | | ||||| | | ||||| |
||||||||| | | ||||| | | ||||| | | ||||| | | ||||| |
|||||||| |||| | | |||| | ||||
| ||| | | ||||| | | ||||| | | ||||| | | ||||| |
|||||||| ||||||||| | | ||||| | | ||||| | | ||||| | | ||||| |
|||||||| |||| ||||| | | ||||| | | ||||| | | ||||| | | ||||| |
|||||||||| |||||| | | ||||| | | ||||| | | ||||| | | ||||| |
Deaths | ||||
n (%) | | ||||| | | ||||| | | ||||| | 4 (2.4) |
|||||||| | | ||||| | | ||||| | | ||||| | | ||||| |
|||||||| ||||||||| | | ||||| | | ||||| | | ||||| | | ||||| |
|||||||| |||||||||| | | ||||| | | ||||| | | ||||| | | ||||| |
||||||| |||||| |||| | ||||
|||||||||| | |||||||||||| | | ||||| | | ||||| | | ||||| | | ||||| |
||||||||||||| |||||||||| | | ||||| | | ||||| | | ||||| | | ||||| |
|||||||| ||||||||| | | ||||| | | ||||| | | ||||| | | ||||| |
AE = adverse event; |||||||| |||||||||||| ||||||| ||||| || ||||| |||||| SAE = serious adverse event; |||| ||||||||||| || ||||| |||| || || ||||||| ||||||
Notes: Data cut-off date — November 9, 2021.
||||| ||||||| || ||||| ||||||| || ||||| ||||||||| |||||||| |||| ||||||||||| ||||||| |||| || || || || |||| |||||| |||| |||||| || || |||| ||||||| |||||| || ||||| || ||||| |||||||| || ||||||||||| || || ||||||||||||||||||||| |||||| || |||||||| |||||||||| || ||||||||||| || || || || ||||||||| ||||||||
aAEs occurring in 10% or more of patients are listed.
| |||| ||||||||| || || |||| |||||||||
Source: CHAMPION Clinical Study Report Addendum (60-Week Data).36
Interpretation of the results from the OL extension period was limited by the absence of a randomized comparison group, which precluded causal conclusions. Since patients and study personnel were aware of the treatment received during the OL extension period, there was a risk of bias in the measurement of subjective outcomes (MG-ADL, QMG, MG-QoL15r, Neuro-QoL Fatigue, and subjective harms). As long-term efficacy data were summarized descriptively, the absence of formal statistical analysis precluded definitive conclusions. Based on the number of patients in each treatment arm included in the efficacy analysis from the OL extension period baseline to week 60, there was a risk of bias due to missing outcome data at longer follow-up; the magnitude and direction of bias was unknown. However, it should be noted that the missing data were likely due to the fact that not all patients had reached the week-60 visit by the data cut-off date.
The appraisal of the external validity of the randomized controlled period, presented in the Critical Appraisal subsection regarding the CHAMPION study in the Clinical Evidence section, is also applicable to the OL extension period.
One phase III, DB, placebo-controlled RCT (CHAMPION, N = 175)13,14 with an OL extension period of up to 4 years36 designed to evaluate the efficacy and safety of ravulizumab versus placebo in patients with gMG contributed evidence to this report. The study enrolled adult patients with anti-AChR antibody–positive gMG (patients had to have an MGFA clinical classification of class II to class IV, an MG-ADL total score 6 or more, and be nonthymomatous) with no requirements for prior treatment experience or its outcome. Participants were randomized 1:1 to receive ravulizumab or a matching placebo every 8 weeks over a 26-week randomized controlled period. The primary outcome of the study was change from baseline in the MG-ADL total score at week 26 of the randomized controlled period, while secondary outcomes included change from baseline in the QMG total score at week 26, the proportion of patients with improvements of 5 points or more in the QMG total score at week 26, change from baseline in the MG-QoL15r score at week 26, change from baseline in the Neuro-QoL Fatigue score at week 26, and the proportion of patients with improvements of 3 points or more in the MG-ADL total score at week 26. According to the clinical experts consulted by CADTH for the review, the baseline characteristics of the CHAMPION study population were broadly representative of patients with gMG living in Canada at various stages of the treatment paradigm (including a small number of IST-naive patients). However, it was noted that patients with thymoma would likely not be excluded in a clinical setting and that the study population may have been more likely to respond to ravulizumab since some were IST-naive and some may have already responded to prior ISTs. The mean age was 55.6 years and most patients were from North America (45.7%) or Europe (36.6%). Prior to screening, 55.7% of patients had experienced moderate to severe MG (MGFA class IIIb, class IV, or class V), 60.0% of patients had experienced MG exacerbations, 24.4% of patients had experienced MG crises, and 17.1% of patients had required ventilator support. At the study baseline, 23.4% of patients had moderate to severe MG; nearly half of patients (43.4%) were receiving both corticosteroids and other IST, 36 (20.6%) patients were receiving other IST but not corticosteroids, 34 (19.4%) patients were receiving corticosteroids but not other IST, and 14 (8.0%) patients were receiving neither corticosteroids or other IST.
One sponsor-submitted ITC report16 (which also included comparative observational evidence) compared the efficacy of ravulizumab relative to eculizumab. In this ITC report, 3 different approaches to analysis were performed. No data were available for hospital admissions, the MGC score, MGFA-PIS, dose reductions of existing MG medications, rescue therapy, the MG-QoL15r score, or safety issues.
The LSM change in the total MG-ADL score at week 26 of the randomized controlled period of the CHAMPION trial was –3.1 (95% CI, –3.8 to –2.3) in the ravulizumab arm and –1.4 (95% CI, –2.1 to –0.7) in the placebo arm. According to the clinical experts consulted by CADTH for this review, the LSM difference (–1.6; 95% CI, –2.6 to –0.7) was a statistically significant (P = 0.0009) and potentially clinically significant finding. The clinical experts stated that the LSM change exceeded the recognized response threshold of approximately 2 points in the ravulizumab arm, indicating clinical improvement, but did not do the same in the placebo arm. The clinical experts also noted that this threshold (an improvement of at least 2 points) was achieved by more than half of the patients in the placebo arm (53.0%) versus 63.9% of patients in the ravulizumab arm; the between-group estimate was too imprecise to draw a conclusion regarding the odds of at least a 2-point improvement for patients in the ravulizumab arm relative to those in the placebo arm. Based on the responder analysis at various point thresholds, the clinical experts stated that the overall data appeared to be driven by a relatively small subgroup of patients in the ravulizumab arm who experienced large improvements in their MG-ADL total score; this did not occur in the placebo arm. As the responder analyses at various thresholds for the MG-ADL total score improvement were not adjusted for multiplicity, there was an increased risk of type I error.
Similarly, the clinical experts viewed the LSM change in the total QMG score at week 26 of the randomized controlled period in the ravulizumab arm (–2.8; 95% CI, –3.7 to –1.9) and the placebo arm (–0.8; 95% CI, –1.7 to 0.1), and the LSM difference in the change in total QMG score at week 26 (–2.0; 95% CI, –3.2 to 0.8) as statistically significant (P = 0.009) and potentially clinically significant. Although the LSM change in the ravulizumab arm did not exceed the MID of approximately 3 points, this threshold was achieved by 44.8% of patients in the ravulizumab arm compared with 24.2% of patients in the placebo arm. The P value for the responder analysis at a threshold of at least a 3-point improvement in the total QMG score was not adjusted for multiplicity, so there was an increased risk of type I error. Moreover, the difference in the proportion of patients with improvement of at least 5 points in the total QMG score (ravulizumab arm = 30.0% of patients; placebo arm = 11.3% of patients; P = 0.0052) was viewed by the clinical experts as both statistically and potentially clinically significant. Again, the experts stated that the data appeared to be driven by a relatively small subgroup of patients who experienced large improvements, with some patients deriving less or minimal benefit.
Consistent numeric improvements in other outcomes in the ravulizumab arm versus the placebo arm (the MG-QoL15r score, MGC score, MGFA-PIS, Neuro-QoL Fatigue score, EQ VAS and index score, and most MG-ADL and QMG subscale scores) were viewed as supportive of the statistically tested primary and secondary analyses. Since many of these outcomes were not included in the statistical hierarchy or were tested after a prior nonsignificant result in the statistical hierarchy, there was an increased risk of type I error. Similarly, there were numerically fewer MG-related hospitalizations, patients reporting clinical deterioration, and patients requiring rescue therapy in the ravulizumab arm, supporting the primary and secondary efficacy analyses; however, these differences were not tested statistically. The impact of ravulizumab on changes in MG medications could not be evaluated because this was not allowed per the study protocol.
Efficacy data from the OL extension period were consistent with those from the randomized controlled period: patients who switched from placebo to ravulizumab experienced numeric improvements in a variety of outcomes that were sustained over the observation period. Further interpretation of these data was limited by the OL and descriptive nature of the extension study.
Because of the broad population of patients enrolled in the CHAMPION trial, encompassing both IST-naive patients and patients who had received 3 ISTs as well as patients along a continuum of MG severity, it was unclear how the results of the study would relate to any individual place in MG therapy. Subgroup analyses by prior IST and by MGFA clinical classification were uninformative; despite generally consistent findings across subgroups, the study was not specifically powered to assess differences among strata, sample sizes were small, and wide CIs reflected uncertainty. Furthermore, as the study was placebo-controlled, it was unclear how the drug would compare with standard MG therapies at any individual place in therapy. The submitted ITCs and comparative observational study attempted to compare the efficacy of ravulizumab and eculizumab in the CHAMPION and REGAIN33 trials and their associated but distinct populations, but substantial uncertainty remained regarding potentially important differences, or lack thereof, in the efficacy of these drugs for various subpopulations of patients with MG. Given the similar mechanism of action between these 2 drugs, the clinical experts stated that the most obvious place in therapy for ravulizumab would be in patients with refractory gMG, although they acknowledged they have yet to be directly compared in this population.
The ITCs indicated favourable results for eculizumab relative to ravulizumab with respect to the MG-ADL respiratory subdomain (IPW analysis), Neuro-QoL Fatigue score (unadjusted analysis), and EQ VAS (MAIC analysis); however, these findings were not consistent across the various analyses. The analyses submitted were limited by small effective sample size, selection criteria, and demographic differences between included studies and the absence of adjustment for potentially important clinical covariates. The risk of bias of the trials used for comparison was not assessed or reported. As such, there remains uncertainty with respect to the efficacy and safety of ravulizumab relative to eculizumab.
Decreased side effects were identified in the patient input for this review as being of interest for patients with MG. The CHAMPION trial, including its randomized controlled period and OL extension, provided some relevant information regarding the safety profile of ravulizumab. Notably, however, it did not provide direct comparative evidence regarding the side effects of ravulizumab versus other MG therapies.
During the randomized controlled period, AEs, AEs leading to infusion interruption, and WDAEs occurred in similar proportions of ravulizumab-treated and placebo-treated patients in the CHAMPION trial. While SAEs were slightly more common in ravulizumab-treated patients (23.3%) compared with placebo-treated patients (15.7%), the only SAEs that occurred in more than 1 patient were COVID-19 pneumonia and transient ischemic attack. While 2 patients in the ravulizumab arm died during the randomized controlled period, the cause of death was clear in both cases (COVID-19 pneumonia and cerebral hemorrhage). ||||| |||||||||| |||| |||| |||||| || ||||||||||||||||||| |||||||| ||||||| |||||| ||||||||||||||| |||||||| |||||||| these were generally minor (e.g., pharyngitis, sinusitis, gastroenteritis) according to the clinical experts consulted by CADTH for this review. No meningococcal infections were reported. Infusion reactions occurred at similar frequency in ravulizumab-treated and placebo-treated patients.
Safety data from the OL extension, capturing a mean treatment exposure duration of 306.1 days, were consistent with the randomized controlled period. ||||| ||||| || |||||||| |||||||||| ||||||||||, no meningococcal infections were reported (although 1 event of meningitis of unknown etiology was noted). The safety profile of ravulizumab in the CHAMPION trial was considered manageable by the clinical experts consulted by CADTH for this review, especially given the well acknowledged adverse effects of standard MG therapies. However, the clinical experts also acknowledged that the adverse effects associated with the long-term administration of complement inhibitors such as ravulizumab are not yet known with the same certainty given their relatively recent development.
Evidence from the CHAMPION trial suggested that the administration of ravulizumab in adult patients with anti-AChR antibody–positive gMG (patients had to have an MGFA clinical classification of class II to class IV, an MG-ADL score of 6 or more, and be nonthymomatous) contributed to statistically significant and potentially clinically meaningful improvement compared with placebo in activities of daily living (the MG-ADL total score) and MG disease severity (the QMG total score, the proportion of patients with improvements of at least 5 points in the QMG total score) after 26 weeks of treatment. Results for other outcomes related to disease severity (the MGC score, MGFA-PIS), MG-related hospitalizations, clinical deterioration and the need for rescue therapy, and HRQoL (MG-QoL15r, Neuro-QoL, EQ-5D-5L) were supportive of the preceding results, although a lack of formal statistical analysis precluded definitive conclusions. An ongoing OL extension study (60-week data) suggested that patients who switched from placebo to ravulizumab experienced improvements in the aforementioned outcomes that were sustained over the observation period, although the long-term data were descriptive only and the lack of a randomized control group precluded causal conclusions. The safety profile of ravulizumab in the CHAMPION trial was consistent with that reported in the product monograph. Evidence from sponsor-submitted ITCs and an observational study comparing ravulizumab to eculizumab suggested uncertainty in the relative efficacy of these drugs and was limited by small effective sample size, selection criteria, and demographic differences between included studies and the absence of adjustment for potentially important clinical covariates. None of the available evidence provided a clear picture of the efficacy of ravulizumab for any specific place in the MG therapy paradigm (e.g., patients with refractory gMG or severe but nonrefractory gMG) compared with currently available therapies used at various stages of the treatment paradigm. The evidence from the CHAMPION trial was aligned with some outcomes identified as important to patients with MG who are seeking new therapies that can decrease the intensity of MG exacerbations, allow them to maintain independence, and prevent hospitalization while having acceptable side effects.
1.Drug Reimbursement Review sponsor submission: Ultomiris (ravulizumab), 10 mg/mL concentrate for solution for infusion [internal sponsor's package]. Zurich (CH): Alexion Pharma GmBH; 2022 Oct 25.
2.Gilhus NE. Myasthenia gravis. N Engl J Med. 2016;375(26):2570-2581. PubMed
3.Jayam Trouth A, Dabi A, Solieman N, Kurukumbi M, Kalyanam J. Myasthenia gravis: a review. Autoimmune Dis. 2012;2012:874680. PubMed
4.Paul RH, Nash JM, Cohen RA, Gilchrist JM, Goldstein JM. Quality of life and well-being of patients with myasthenia gravis. Muscle Nerve. 2001;24(4):512-516. PubMed
5.Wendell LC, Levine JM. Myasthenic crisis. Neurohospitalist. 2011;1(1):16-22. PubMed
6.Breiner A, Widdifield J, Katzberg HD, Barnett C, Bril V, Tu K. Epidemiology of myasthenia gravis in Ontario, Canada. Neuromuscul Disord. 2016;26(1):41-46. PubMed
7.Carr AS, Cardwell CR, McCarron PO, McConville J. A systematic review of population based epidemiological studies in Myasthenia Gravis. BMC Neurol. 2010;10:46. PubMed
8.McGrogan A, Sneddon S, de Vries CS. The incidence of myasthenia gravis: a systematic literature review. Neuroepidemiology. 2010;34(3):171-183. PubMed
9.CADTH Canadian Drug Expert Committee recommendation: eculizumab (Soliris). Common Drug Review. Ottawa (ON): CADTH; 2020: https://www.cadth.ca/eculizumab-2. Accessed 2023 Jan 15.
10.Soliris (eculizumab) negotiation status. Toronto (ON): Pan-Canadian Pharmaceutical Alliance (pCPA); 2023: https://www.pcpacanada.ca/negotiation/21306. Accessed 2023 Jan 15.
11.CADTH reimbursement recommendation: ravulizumab (Ultomiris) for treatment of TMA. Can J Health Technol. 2022;2(3). https://www.cadth.ca/ravulizumab-0. Accessed 2023 Jan 15.
12.CADTH Drug Reimbursement Expert Review Committee final recommendation: ravulizumab (ultomiris) for treatment of aHUS. Ottawa (ON): CADTH; 2022: https://www.cadth.ca/ravulizumab-1. Accessed 2023 Jan 15.
13.Clinical Study Report: ALXN1210-MG-306. A phase 3, randomized, double-blind, placebo-controlled, multicenter study to evaluate the safety and efficacy of ravulizumab in complement-inhibitor-naïve adult patients with generalized myasthenia gravis [internal sponsor's report]. Bosston (MA): Alexion Pharmaceuticals, Inc; 2021 Oct 5.
14.Vu T, Miesel A, Mantegazza R, et al. Terminal complement inhibitor ravulizumab in generalized myasthenia gravis. NEJM Evidence. 2022;1(5).
15.Jaretzki A, 3rd, Barohn RJ, Ernstoff RM, et al. Myasthenia gravis: recommendations for clinical research standards. Task Force of the Medical Scientific Advisory Board of the Myasthenia Gravis Foundation of America. Neurology. 2000;55(1):16-23. PubMed
16.ITC report: Efficacy of ravulizumab relative to eculizumab for the treatment of generalized myasthenia gravis [internal sponsor's report]. In: Drug Reimbursement Review sponsor submission: Ultomiris (ravulizumab), 10 mg/mL concentrate for solution for infusion. Zurich (CH): Alexion Pharma GmBH; 2022 Oct 25.
17.Zhang B, Tzartos JS, Belimezi M, et al. Autoantibodies to lipoprotein-related protein 4 in patients with double-seronegative myasthenia gravis. Arch Neurol. 2012;69(4):445-451. PubMed
18.Romi F. Thymoma in myasthenia gravis: from diagnosis to treatment. Autoimmune Dis. 2011;2011:474512. PubMed
19.PrUltomiris® (ravulizumab): 10 mg/mL concentrate for solution for infusion [draft product monograph]. Zurich (CH): Alexion Pharma GmbH; 2022 Feb 24.
20.Liu R, Oldham RJ, Teal E, Beers SA, Cragg MS. Fc-engineering for modulated effector functions-improving antibodies for cancer treatment. Antibodies (Basel). 2020;9(4). PubMed
21.PrSoliris® (eculizumab): 10 mg/mL parenteral solution [product monograph]. Zurich (CH): Alexion Pharma GmbH; 2021 Mar 25: https://alexion.com/Documents/Canada/Product-Monograph-Soliris-English-20Aug2018.aspx. Accessed 2023 Jan 15.
22.PrMestinon® (pyridostigmine bromide): 60 mg tablets and 180 mg slow-release tablets [product monograph]. Laval (QC): Valeant Canada LP; 2014 Sep 9: https://pdf.hres.ca/dpd_pm/00026983.PDF. Accessed 2023 Jan 15.
23.McGowan J, Sampson M, Salzwedel DM, Cogo E, Foerster V, Lefebvre C. PRESS Peer Review of Electronic Search Strategies: 2015 guideline statement. J Clin Epidemiol. 2016;75:40-46. PubMed
24.Grey matters: a practical tool for searching health-related grey literature. Ottawa (ON): CADTH; 2019: https://www.cadth.ca/grey-matters. Accessed 2022 Dec 2.
25.Wolfe GI, Herbelin L, Nations SP, Foster B, Bryan WW, Barohn RJ. Myasthenia gravis activities of daily living profile. Neurology. 1999;52(7):1487-1489. PubMed
26.Barohn RJ, McIntire D, Herbelin L, Wolfe GI, Nations S, Bryan WW. Reliability testing of the quantitative myasthenia gravis score. Ann N Y Acad Sci. 1998;841:769-772. PubMed
27.Burns TM, Sadjadi R, Utsugisawa K, et al. International clinimetric evaluation of the MG-QOL15, resulting in slight revision and subsequent validation of the MG-QOL15r. Muscle Nerve. 2016;54(6):1015-1022. PubMed
28.Burns TM, Conaway MR, Cutter GR, Sanders DB, Muscle Study Group. Construction of an efficient evaluative instrument for myasthenia gravis: the MG composite. Muscle Nerve. 2008;38(6):1553-1562. PubMed
29.van Reenen M JB, Stolk E, Boye K, Herdman M, Kennedy-Martin M, Kennedy-Martin T, Slaap B. EQ-5D-5L User Guide Version 3.0. 2019: https://euroqol.org/publications/user-guides. Accessed 2022 Nov 4.
30.Burns TM, Grouse CK, Conaway MR, Sanders DB, MG Composite, MG-QOL15 Study Group. Construct and concurrent validation of the MG-QOL15 in the practice setting. Muscle Nerve. 2010;41(2):219-226. PubMed
31.Medical Dictionary for Regulatory Activities (MedDRA) version 21.1. Geneva (CH): International Council for Harmonisation of Technical Requirements for Pharmaceuticals for Human Use; 2018: https://www.meddra.org. Accessed 2023 Jan 1.
32.Common Terminology Criteria for Adverse Events (CTCAE v4.0: CTCAE v4.03. Bethesda (MD): National Cancer Institute; 2010: https://ctep.cancer.gov/protocoldevelopment/electronic_applications/ctc.htm. Accessed 2023 Jan 1.
33.Howard JR Jr, Utsugisawa K, Benatar M, et al. Safety and efficacy of eculizumab in anti-acetylcholine receptor antibody-positive refractory generalised myasthenia gravis (REGAIN): a phase 3, randomised, double-blind, placebo-controlled, multicentre study. Lancet Neurol. 2017;16(12):976-986. PubMed
34.Bucher HC, Guyatt GH, Griffith LE, Walter SD. The results of direct and indirect treatment comparisons in meta-analysis of randomized controlled trials. J Clin Epidemiol. 1997;50(6):683-691. PubMed
35.Signorovitch JE, Wu EQ, Yu AP, et al. Comparative effectiveness without head-to-head trials: a method for matching-adjusted indirect comparisons applied to psoriasis treatment with adalimumab or etanercept. Pharmacoeconomics. 2010;28(10):935-945. PubMed
36.Clinical Study Report: ALXN1210-MG-306 addendum (60-Week Data). A phase 3, randomized, double-blind, placebo-controlled, multicenter study to evaluate the safety and efficacy of ravulizumab in complement-inhibitor-naïve adult patients with generalized myasthenia gravis [internal sponsor's report]. Boston (MA): Alexion Pharmaceuticals, Inc; 23 Mar 2022.
37.Muppidi S, Wolfe GI, Conaway M, Burns TM, Mg Composite, Mg-Qol15 Study Group. MG-ADL: still a relevant outcome measure. Muscle Nerve. 2011;44(5):727-731. PubMed
38.Sanders DB, Tucker-Lipscomb B, Massey JM. A simple manual muscle test for myasthenia gravis: validation and comparison with the QMG score. Ann N Y Acad Sci. 2003;998:440-444. PubMed
39.Bedlack RS, Simel DL, Bosworth H, Samsa G, Tucker-Lipscomb B, Sanders DB. Quantitative myasthenia gravis score: assessment of responsiveness and longitudinal validity. Neurology. 2005;64(11):1968-1970. PubMed
40.Barnett C, Merkies IS, Katzberg H, Bril V. Psychometric properties of the quantitative myasthenia gravis score and the myasthenia gravis composite scale. J Neuromuscul Dis. 2015;2(3):301-311. PubMed
41.Reeve BB, Wyrwich KW, Wu AW, et al. ISOQOL recommends minimum standards for patient-reported outcome measures used in patient-centered outcomes and comparative effectiveness research. Qual Life Res. 2013;22(8):1889-1905. PubMed
42.Katzberg HD, Barnett C, Merkies IS, Bril V. Minimal clinically important difference in myasthenia gravis: outcomes from a randomized trial. Muscle Nerve. 2014;49(5):661-665. PubMed
43.Barnett C, Herbelin L, Dimachkie MM, Barohn RJ. Measuring clinical treatment response in myasthenia gravis. Neurol Clin. 2018;36(2):339-353. PubMed
44.Burns TM, Grouse CK, Wolfe GI, et al. The MG-QOL15 for following the health-related quality of life of patients with myasthenia gravis. Muscle Nerve. 2011;43(1):14-18. PubMed
45.Burns TM, Conaway MR, Cutter GR, Sanders DB. Less is more, or almost as much: a 15-item quality-of-life instrument for myasthenia gravis. Muscle Nerve. 2008;38(2):957-963. PubMed
46.Luo Y, Dong X, Peng Y, et al. Evaluation of outcome measures for myasthenia gravis subgroups. J Clin Neurosci. 2021;91:270-275. PubMed
47.Andersen H, Mantegazza R, Wang JJ, et al. Eculizumab improves fatigue in refractory generalized myasthenia gravis. Qual Life Res. 2019;28(8):2247-2254. PubMed
48.Burns TM, Conaway M, Sanders DB, MG Composite, Mg-Qol Study Group. The MG composite: a valid and reliable outcome measure for myasthenia gravis. Neurology. 2010;74(18):1434-1440. PubMed
49.Contreras JP, Salinas R, Vidal C, Hoffmeister L, Wolfe GI, Cea G. Validation of Spanish version of 15-item myasthenia gravis quality-of-life questionnaire. Acta Neurol Scand. 2021;144(5):546-552. PubMed
Note that this appendix has not been copy-edited.
Interface: Ovid
Databases:
MEDLINE All (1946-present)
Embase (1974-present)
Note: Subject headings and search fields have been customized for each database. Duplicates between databases were removed in Ovid.
Date of search: November 22, 2022
Alerts: Bi-weekly search updates until project completion
Search filters applied: No filters were applied to limit the retrieval by study type.
Limits:
No date or language limits were used
Conference abstracts: excluded
Syntax | Description |
|---|---|
/ | At the end of a phrase, searches the phrase as a subject heading |
MeSH | Medical Subject Heading |
.fs | Floating subheading |
exp | Explode a subject heading |
* | Before a word, indicates that the marked subject heading is a primary topic; or, after a word, a truncation symbol (wildcard) to retrieve plurals or varying endings |
.ti | Title |
.ot | Original title |
.ab | Abstract |
.hw | Heading word; usually includes subject headings and controlled vocabulary |
.kf | Author keyword heading word (MEDLINE) |
.dq | Candidate term word (Embase) |
.rn | Registry number |
.nm | Name of substance word (MEDLINE) |
medall | Ovid database code: MEDLINE All, 1946 to present, updated daily |
oemezd | Ovid database code; Embase, 1974 to present, updated daily |
(ravulizumab* or Ultomiris* or ALXN1210 or ALXN-1210 or ALXN1810 or ALXN-1810 or C3VX249T6L).ti,ab,kf,ot,hw,rn,nm.
1 use medall
*ravulizumab/ or (ravulizumab* or Ultomiris* or ALXN1210 or ALXN-1210 or ALXN1810 or ALXN-1810).ti,ab,kw,dq.
3 use oemezd
4 not (conference review or conference abstract).pt.
2 or 5
remove duplicates from 6
Produced by the US National Library of Medicine. Targeted search used to capture registered clinical trials.
[Search -- Studies with results | ravulizumab or Ultomiris]
International Clinical Trials Registry Platform, produced by the WHO. Targeted search used to capture registered clinical trials.
[Search terms -- ravulizumab or Ultomiris]
Produced by Health Canada. Targeted search used to capture registered clinical trials.
[Search terms -- ravulizumab or Ultomiris]
European Union Clinical Trials Register, produced by the European Union. Targeted search used to capture registered clinical trials.
[Search terms -- ravulizumab or Ultomiris]
Search dates: September 23, 2020 – October 4, 2020
Keywords: ravulizumab, Ultomiris, myasthenia gravis
Limits: None
Relevant websites from the following sections of the CADTH grey literature checklist Grey Matters: A Practical Tool for Searching Health-Related Grey Literature were searched:
Health Technology Assessment Agencies
Health Economics
Clinical Practice Guidelines
Drug and Device Regulatory Approvals
Advisories and Warnings
Drug Class Reviews
Clinical Trials Registries
Databases (free)
Health Statistics
Internet Search
Note that this appendix has not been copy-edited.
To describe the following outcome measures and review their measurement properties, including validity, reliability, responsiveness to change, and the MID:
MG-ADL questionnaire
QMG scale
MG-QoL15 scale
MG-QoL15r scale
Neuro-QoL Fatigue scale
MGC scale
MGFA-PIS
EQ-5D-5L
The validity, reliability, responsiveness, and MID of each outcome measure are summarized in Table 34.
Table 34: Summary of Outcome Measures and Their Measurement Properties
Outcome measure | Type | Conclusions about measurement properties | MID |
|---|---|---|---|
MG-ADL questionnaire | An 8-item patient-reported outcome measure assessing MG symptoms and functional activities related to activities of daily living and producing a total score ranging from 0 to 24, where higher scores indicate greater severity of symptoms. The MG-ADL is composed of items related to patients’ assessment of functional disability secondary to ocular (2 items), bulbar (3 items), respiratory (1 item), and gross motor or limb impairment (2 items).25 | Validity: The MG-ADL highly correlated with the MGC (r = 0.85; P < 0.0001) and MG-QoL15 (r = 0.76; P < 0.0001) (n = 87).37 Correlation of the MG-ADL score and physician impression of change between the visits was strong (r = 0.70; P < 0.0001) (n = 76).37 Reliability: Test-retest reliability coefficient of 93.7% among 20 patients, with lower bound of the 95% CI at 87.3%, tested twice within 1 week.37 Responsiveness: The MG-ADL was assessed at 2 visits, where the mean improvement in score in patients who improved, based on the gold standard, was 3.88 (SD = 2.72) (n = 76).37 Note, the measurement properties of the subcomponents of the scale have not been investigated. | An MID in patients with MG has not been estimated. A 2-point improvement in MG-ADL score was a threshold that provided the best balance of sensitivity (n = 26) and specificity (n = 50) when referenced to MG-QoL15 and physician impression of change for predicting clinical improvement at the level of the individual for patients with MG.37 |
QMG scale | A 13-item direct physician assessment scoring system that quantifies disease severity, based on impairments of body functions and structures. The total QMG score ranges from 0 to 39, where higher scores indicated greater disease severity. The QMG score is composed of the following items: ocular (2 items), facial (1 item), bulbar (2 items), gross motor (6 items), axial (1 item), and respiratory (1 item).26 | Validity: Construct validity was assessed through correlations with the MMT (r = 0.69 in 303 patients38 and r = 0.73 in 53 patients39). Reliability: Internal consistency assessed via Cronbach alpha value was 0.74 for the QMG, demonstrating an acceptable threshold (n = 251).40,41 Test-retest reliability was studied in 209 stable patients assessed 2 weeks apart. The intraclass correlation coefficient for the total scores was 0.88 (95% CI, 0.85 to 0.91).40,41 Responsiveness: The index of responsiveness (signal-to-noise ratio) was 1.45 (n = 53).39 Note, the measurement properties of the subcomponents of the scale have not been investigated. | Based on an interrater reliability of 1.342 SD, any change in the QMG score of up to 2.6 points were expected to occur due to variability of repeated observations, therefore, a change of 2.6-points was estimated to be the threshold of clinical significance in patients with MG (n = 5 with MG and 4 otherwise healthy).26 Using the anchor-based method with the patients’ perception of overall improvement as assessed by a VAS, there was some evidence that the MID should be higher in patients with higher baseline QMG scores, where the MID with mild to moderate MG (QMG ≤ 16) was estimated to be 2 points (n = 38), compared to patients with higher baseline values (QMG > 16) for whom the estimated MID was 3 points (n = 12).42,43 |
MG-QoL15 scale | The MG-QoL15 is a 15-item questionnaire that allows clinicians to estimate a patient’s quality of life relevant to MG. Items on the MG-QoL15 relate to physical, social, and psychological components and are scored from 0 (not at all) to 4 (quite a bit). The cumulative scores range from 0 to 60, with higher scores representing worse quality of life.30 | Validity: Among patients with MG, the MG-QoL15 correlated (construct validity) with the MGC (r = 0.53; 95% CI, 0.41 to 0.65; P < 0.0001) (n = 138),44 the physical and mental components of the SF-36, as well as with MG-specific measures (QMG, MG-ADL, and MMT) (n = 80).43,45 Reliability: The MG-QoL15 internal consistency was assessed, with Cronbach alpha value of 0.89 (n = 80).43,45 The test-retest reliability coefficient for the MG-QoL15 was 98.6% in the time period of 2 to 4 days (n = 38).44 | An MID for patients with MG has not been estimated.43 |
MG-QoL15r scale | A total of 3 items in the original MG-QoL15 scale was reworded to improve its clinimetric properties and face and content validity. The wording, “e.g., double vision,” was added to the ocular item; “work at home” was added to the work item; and other limitations of personal independence were added to the driving item. The revised version uses a 3-response option scale (0 = not at all; 1 = somewhat; 2 = very much), with higher scores indicating worse quality of life over the past few weeks.27 | The psychometric properties of MG-QoL15r, QMG, MG-ADL, and MGC were evaluated and compared to response to disease change in patients with autoimmune MG (N = 872).46 Validity: Construct validity was demonstrated for MG-QoL15r with QMG (Pearson correlation coefficient [r] = 0.550), MG-ADL (r = 0.701), and MGC (r = 0.635). For discriminant validity, the MG-QoL15r scores were different between patients based on their MGFA classification and MGC scores.46 Reliability: Internal consistency reliability was demonstrated by the Cronbach alpha value of 0.93 for MG-QoL15r.46 Responsiveness: For responsiveness to change, the Pearson correlation coefficients between changes in the 4 scales after treatment ranged from 0.423 (MG-QoL15r and QMG) to 0.849 (MGC and QMG).46 | An MID for patients with MG has not been estimated. |
Neuro-QoL Fatigue scale | The Neuro-QoL Fatigue scale is a generic 19-item survey of fatigue. Items are scored from 1 (never) to 5 (sometimes). Total scores range from 19 to 95, where higher scores indicate greater fatigue and greater impact of MG on activities.13 | Validity: Based on data from 125 patients with refractory gMG, the correlations of the Neuro-QoL Fatigue with the MG-QoL15 were identified for patients treated with eculizumab (r = 0.74; 95% CI, 0.59 to 0.84; P = 0.0002) and placebo (r = 0.65; 95% CI, 0.47 to 0.78; P = 0.01).47 | An MID for patients with MG has not been estimated. |
MGC scale | The MGC is a 10-item instrument that measures the symptoms and signs of MG based on physician examination and patient history. Items relate to ptosis, double vision, eye closure, talking, chewing, swallowing, breathing, neck flexion, shoulder abduction, and hip flexion. Each item is scored on an ordinal scale with 4 possible categories and weighted. The total score ranges from 0 to 50, where higher scores indicating more severe impairments.28 | Validity: The MGC score demonstrated concurrent validity with the MG-QoL15 total score (r = 0.68; 95% CI, 0.59 to 0.75), the MG-ADL total score (r = 0.85; 95% CI, 0.77 to 0.90), and the MMT total score (r = 0.80; 95% CI, 0.72 to 0.86) (n = 175).48 Reliability: Internal consistency assessed with Cronbach alpha value was 0.66 (n = 251).40,41 Based on tests conducted on the same day by 2 neurologists, the test-retest reliability coefficient of the MGC was 98% (n = 38).48 In a study of 209 stable patients, assessed 2 weeks apart, the intraclass correlation coefficient for the total scores was 0.82 (95% CI, 0.77 to 0.85).40,41 | A 3-point improvement in the MGC score was a threshold that provided the best balance of sensitivity (n = 42) and specificity (n = 93) when referenced to MG-QoL15 and physician impression of change for predicting clinical improvement.48 |
MGFA-PIS | The MGFA-PIS is designed to assess the clinical state of patients with MG after they have received treatment. It provides the physician’s global assessment of the patient’s clinical status.15 | Not applicable | Not applicable |
EQ-5D-5L | A generic, self-reported measure of health status comprising 2 parts.29 The descriptive system consists of 5 dimensions (mobility, self-care, usual activities, pain/discomfort and anxiety/depression). Each dimension has 5 increasing levels of severity/response. The responses are used to generate a health state profile (5-digit code) which can be converted to a summary index score based on societal preference weights. Index scores range from less than 0 to 1, with higher scores representing higher health utility.29 Patient’s perceived health status on that day is also rated using the VAS, ranging from 0 (worst imaginable health) to 100 (best imaginable health).29 | The validity, reliability, and responsiveness to change have not been investigated in patients with MG. | An MID for patients with MG has not been estimated. |
CI = confidence interval; MG = myasthenia gravis; MG-ADL = Myasthenia Gravis Activities of Daily Living; MG-QoL15 = Myasthenia Gravis Quality of Life 15-item; MG-QoL15r = Myasthenia Gravis Quality of Life 15-item scale - Revised; MGC = Myasthenia Gravis Composite; MGFA-PIS = Myasthenia Gravis Foundation of America Post-intervention Status; MID = minimal important difference; MMT = manual muscle test; Neuro-QoL = Quality of Life in Neurological Disorders; QMG = Quantitative Myasthenia Gravis; SD = standard deviation; SF-36 = Short Form (36) Health Survey; VAS = visual analogue scale.
The MG-ADL is an 8-item patient-reported outcome measure assessing MG symptoms and functional activities related to activities of daily living.25 Each item is scored from 0 (normal) to 3 (most severe), providing a total MG-ADL score ranging from 0 to 24, where higher scores indicate greater severity of symptoms. The MG-ADL is composed of items related to patients’ assessment of functional disability secondary to ocular (2 items), bulbar (3 items), respiratory (1 item), and gross motor or limb impairment (2 items). The MG-ADL can be completed in 2 minutes to 3 minutes with no need for specialized equipment or training.
Validity of the MG-ADL was assessed in a study of 87 patients with MG with a confirmed diagnosis based on clinical, serologic, and electrodiagnostic testing.37 The MG-ADL is strongly correlated with other measures, including the MGC (r = 0.85; P < 0.0001) and the MG-QoL15 (r = 0.76; P < 0.0001).37 Correlation between the MG-ADL score and physician impression of change between the visits was strong (r = 0.70; P < 0.0001) (n = 76).37
Test-retest analysis in 20 patients who completed the 2 tests demonstrated a high reliability coefficient of 93.7%, with lower bound of the 95% CI at 87.3% for patients with MG tested twice within 1 week.37
The responsiveness of the MG-ADL was assessed between 2 visits, where the mean improvement in MG-ADL score in patients who improved based on the gold standard (improvement in MG-QoL15 score plus improvement in physician impression of change score) was 3.88 (SD = 2.72) (n = 76). The standardized mean change was 1.43.37
Note, the measurement properties of the subcomponents of the MG-ADL in patients with MG have not been investigated.
An MID for the MG-ADL total score in patients with MG has not been estimated.
A 2-point reduction in MG-ADL total score optimally predicted clinical improvement in patients with MG based on a receiver operator characteristic curve approach, where a 2-point reduction provided the best balance of sensitivity (n = 26) and specificity (n = 50) relative to a 1-point or 3-point change when referenced to MG-QoL15 and physician impression of change.37 This study included patients who were treated based on physician discretion with no specifications related to changing treatment and management. The 2-point reduction was derived from a clinical population of 87 patients with the following mean baseline scores: MG-ADL = 4.89 (SD = 3.54), MGC = 8.89 (SD = 6.87), and MG-QoL15 = 20.8 (SD = 15.27).37
The MG-ADL is designed to be based on patient recall and is often used in collaboration with other quantitative tools such as the QMG.
The QMG is a 13-item direct physician assessment scoring system that quantifies disease severity based on impairments of body functions and structures.26 Each item is quantitatively assessed and scored from 0 (none) to 3 (severe), providing a total QMG score ranging from 0 to 39. The QMG is composed of the following items: ocular (2 items), facial (1 item), bulbar (2 items), gross motor (6 items), axial (1 item), and respiratory (1 item). According to a 2000 publication by the Task Force of the Medical Scientific Advisory Board of the MGFA, the QMG score was recommended for use in all prospective MG clinical trials for evaluating treatment-related clinical change.15
Construct validity has been studied by demonstration of correlations with other measures used in the assessment of MG, including the MMT (r = 0.69 in 303 patients;38 r = 0.73 in 53 patients39). Additionally, a longitudinal study of 53 patients with an average of 186 (SD = 123) days between visits determined that the difference in the QMG score was significantly higher in those improved (based on the physician’s impression of change), compared with those who were stable.39
Test-retest reliability was studied in 209 stable patients assessed 2 weeks apart. The intraclass correlation coefficient for the total scores was 0.88 (95% CI, 0.85 to 0.91).40,41 Internal consistency assessed through Cronbach alpha value was 0.74 for the QMG, demonstrating an acceptable threshold (n = 251).40,41
Responsiveness was assessed by determining the signal-to-noise ratio; the signal was the mean absolute value of change in QMG in the improved plus worsened groups and the noise was the mean absolute change in QMG in the unchanged group. The index of responsiveness (signal-to-noise ratio) was 1.45 (n = 53).39
Note, the measurement properties of the subcomponents of the QMG in patients with MG have not been investigated.
The original study by Barohn et al. (1998)26 that designed the version of the QMG in use today estimated the threshold of clinical significance to patients with MG to be 2.6 points. This threshold was derived from an interrater reliability of 1.342 SD, such that any change in the QMG score of up to 2.6 points was expected to occur due to variability of repeated observations (n = 5 with MG and 4 otherwise healthy).26 Using the anchor-based method with the patients’ perception of overall improvement as assessed by a VAS, it was suggested that the MID should be higher in patients with higher baseline QMG scores. Specifically, for a baseline of mild to moderate MG (QMG score ≤ 16), the MID was estimated to be 2 points (n = 38), compared to higher baseline values (QMG score > 16), for which the MID was estimated to be higher, at 3 points (n = 12).42,43
The MG-QoL15 is a 15-item questionnaire that allows clinicians to estimate a patient’s HRQoL relevant to MG.30 Items on the MG-QoL15 relate to physical, social, and psychological components and are scored from 0 (not at all) to 4 (quite a bit). The cumulative scores range from 0 to 60, with higher scores representing worse HRQoL. The MG-QoL15 was constructed based on the most relevant and responsive items from the 60-item version of the questionnaire, with the goal of having a quick, easy-to-use, and easy-to-interpret questionnaire.
The MG-QoL15 is strongly correlated with the MGC (r = 0.53; 95% CI, 0.41 to 0.65; P < 0.0001) (n = 138)44 and is correlated with the physical (r = –0.61; 95% CI, –0.73 to –0.44; P < 0.001) and mental (r = –0.45; 95% CI, –0.61 to –0.25; P < 0.001) components of the Short Form (36) Health Survey (n = 80).43,45 The MG-QoL15 is moderately correlated with MG-specific measures, including the QMG (r = 0.55 to 0.45), MG-ADL (r = 0.70 to 0.48) and MMT (r = 0.44 to 0.33) (n = 80).43,45
The MG-QoL15 has good internal consistency (Cronbach alpha value = 0.89) (n = 80).43,45 Test-retest reliability was assessed based on 38 patients assessed 2 to 4 days apart. The test-retest reliability coefficient for the MG-QoL15 was 98.6%, with a lower bound of the 95% CI of 97.5%.44
Responsiveness to change in the MG-QoL15 in patients with MG has not been investigated.
An MID in the MG-QoL15 in patients with MG has not been estimated.43
Burns et al. (2016)27 conducted a Rasch analysis on 1,362 MG-QoL15 surveys completed by 954 patients with MG who lived in Japan, the US, Scotland, and Canada, and as a result, a revised version, MG-QoL15r, was developed; MG-QoL15r was used in the CHAMPION-MG trial. A total of 3 items in the original scale was reworded to improve its clinimetric properties and face and content validity. The wording, “e.g., double vision,” was added to the ocular item; “work at home” was added to the work item; and other limitations of personal independence were added to the driving item. The revised version uses a 3-response option scale (0 = not at all; 1 = somewhat; 2 = very much) with higher scores indicating worse quality of life over the past few weeks.
Luo et al. (2021)46 evaluated the psychometric properties of and compared response to disease change in MG-QoL15r, QMG, MG-ADL, and MGC in patients with autoimmune MG (N = 872). The majority of patients (59%; n = 517) were female, the mean age was 41.57 (SD = 14.60) years and 516 of 610 (85%) patients had anti-AChR antibodies. Internal consistency reliability was demonstrated by the Cronbach alpha value of 0.93 for MG-QoL15r and 0.80 for QMG, MG-ADL, and MGC. Construct validity was demonstrated for MG-QoL15r with QMG (Pearson correlation coefficient [r] = 0.550), MG-ADL (r = 0.701), and MGC (r = 0.635). Construct validity was also demonstrated for QMG with MG-ADL (r = 0.569) and MGC (r = 0.916). For discriminant validity, the MG-QoL15r and QMG scores were different between patients based on their MGFA classification and MGC scores. For responsiveness to change, the Pearson correlation coefficients between changes in the 4 scales after treatment ranged from 0.423 (MG-QoL15r and QMG) to 0.849 (MGC and QMG).
Contreras et al. (2021)49 translated and cross-culturally adapted the MG-QoL15r into Spanish and found evidence to support its internal consistency and test-retest reliability and concurrent validity (using the MG-ADL and QMG scores) and construct validity (using the MGFA classification) in Spanish-speaking patients with MG (N = 83). Note, these results are relevant for only a small proportion of patients in the CHAMPION-MG trial.
The MID in the MG-QoL15r in patients with MG has not been estimated.
The Neuro-QoL Fatigue is a generic 19-item, self-administered survey of fatigue in the past 7 days. Items are scored from 1 (never) to 5 (sometimes). Total scores range from 19 to 95, where higher scores indicate greater fatigue and greater impact of MG on activities. The Neuro-QoL Fatigue is a subscale of Neuro-QoL.13
The validity of the Neuro-QoL Fatigue in patients with MG was evaluated in the REGAIN study. Based on data from 125 patients with refractory gMG, the Neuro-QoL Fatigue was strongly correlated with the MG-QoL15 for patients treated with eculizumab (r = 0.74; 95% CI, 0.59 to 0.84; P = 0.0002) and placebo (r = 0.65; 95% CI, 0.47 to 0.78; P = 0.01).47 Strong to weak correlations of the Neuro-QoL Fatigue with the MG-ADL and QMG were also reported in this study.47
The reliability and responsiveness to change in the Neuro-QoL Fatigue in patients with MG have not been investigated.
An MID in the Neuro-QoL Fatigue in patients with MG has not been estimated.
The MGC is a 10-item instrument that measures the symptoms and signs of MG based on physician examination and patient history.28 Items are related to ptosis, double vision, eye closure, talking, chewing, swallowing, breathing, neck flexion, shoulder abduction, and hip flexion. Each item is scored on an ordinal scale with 4 possible categories and weighted. Weighting of the MGC items was established by 35 MG experts from across the world. The total score ranges from 0 to 50, with higher scores indicating more severe impairments. The MGC is composed of items originating from other scales (i.e., QMG, MMT, and MG-ADL).
Based on an assessment of 175 patients with MG, the MGC score showed strong correlations with the MG-QoL15 total score (r = 0.68; 95% CI, 0.59 to 0.75), the MG-ADL total score (r = 0.85; 95% CI, 0.77 to 0.90), and the MG-MMT total score (r = 0.80; 95% CI, 0.72 to 0.86). Longitudinal testing of the MGC and other tools, involving 151 patients over an average span of 4.7 months, showed nearly identical correlations.48
Internal consistency assessed with Cronbach alpha value was 0.66 (n = 251).40,41 Based on testing performed on 38 patients on the same day by 2 neurologists, the test-retest reliability coefficient of the MGC was 98%, with a lower bound of the 95% CI of 97%.48 In a study of 209 stable patients assessed 2 weeks apart, the intraclass correlation coefficient for the total scores was 0.82 (95% CI, 0.77 to 0.85).40,41
Responsiveness to change in the MGC in patients with MG has not been investigated.
A 3-point improvement in the MGC score was a threshold that provided the best balance of sensitivity (n = 42) and specificity (n = 93) relative to a 1-point or 2-point change when referenced to MG-QoL15 and physician impression of change for predicting clinical improvement.48
The MGFA-PIS is used to provide the physician’s global assessment of the clinical status of patients with MG after they have received treatment for MG. Based on criteria (definition) set out in the MGFA-PIS, patients can be in complete stable remission, pharmacologic remission, or have minimal manifestations of MG. Change in clinical status is categorized into the following: improved, unchanged, worse, exacerbation, and died of MG.15
Note, measurement properties and an MID are not applicable for the MGFA-PIS.
The EQ-5D-5L is a generic, self-reported measure of health status consisting of 2 parts. The descriptive system assesses HRQoL in 5 dimensions (mobility, self-care, usual activities, pain/discomfort and anxiety/depression). Each dimension has 5 increasing levels of severity/response (no problems, slight problems, moderate problems, severe problems and unable to perform/extreme problems). A unique health state profile is generated as a 5-digit code (e.g., 12345 indicates no problems with mobility, slight problems with self-care, moderate problems with usual activities, severe pain or discomfort, and extreme anxiety or depression). The health state can be converted to a summary index score based on societal (countries/regions) preference weights for the health state. Index scores range from less than 0 (negative values represent worse than dead, which is represented by 0) to 1 (full health), with higher scores representing higher health utility. Patient’s perceived health status on that day is also rated using the EQ VAS, ranging from 0 (worst imaginable health) to 100 (best imaginable health).29
The validity, reliability, and responsiveness of the EQ-5D-5L in patients with MG have not been investigated.
An MID in the EQ-5D-5L in patients with MG has not been estimated.
Note that this appendix has not been copy-edited.
|||||||| |||||||||| | ||| ||||||||| |||||||||| ||||| | ||| || | ||||||||| |
|---|---|---|---|
||| ||||| ||||||||| | |||| |||||| | |||| || |||| | |||||| |
• |||| ||||||||||||| | |||| |||||| | |||| || |||| | |||||| |
• |||| ||||||| ||||| ||||||| || ||||| || ||| ||||||| ||||||| | ||||||| | ||||| |||||| | ||||| || |||| | |||||| |
• |||| ||||||||| ||||||||||||| |||||||||||||| ||||||||| |||||||||| ||||||| |||| ||| ||||| | |||| |||||| | |||| || |||| | |||||| |
• |||| ||||||||| |||||| ||||||| |||||||| |||||||| |||||| ||| |||||||||| |||||||||| |||||| || ||| | | |||| |||||| | |||| || |||| | |||||| |
• |||| ||||||||||||| | |||| |||||| | |||| || |||| | |||||| |
• |||| ||||||||||||| | |||| |||||| | |||| || |||| | |||||| |
| ||||||||||| ||||||||| || ||||| |||||||| |||| || |||||| ||||||| ||||| |||| ||||||||| |||| |||||||| |||| |||||| ||||||||||| |||||| |||||||||| || ||||| ||||||| |||| |||||| ||||| || |||||||| ||||||||| || ||| |||||||| |||| || |||||||| ||||| || | ||||| |||||| |||| | |||||||| || |||||||||||| | ||||| || || ||||||||| |||| || |||| ||||||||||||||| |||||||| |||||||| ||||| |||||||
Note: This table has been redacted at the request of the sponsor.
|||||||| |||||||||| | |||||||| |||||||||| |||| ||| | | |||| ||| | ||||||||| |
|---|---|---|---|
||| ||||| ||||||||| | ||||||| ||||||| |||| ||||| || ||||||||||||||||| ||||||| ||||||||| || ||||| | ||||| |||||| || |||||| | |||||| |
||| | ||||||| ||||||| |||| ||||| || ||||||||||||||||| ||||||| |||| ||||| || ||||| | ||||| |||||| || |||||| | |||||| |
|||| | ||||||| ||||||| |||| ||||| || ||||||||||||||||| ||||||| |||| ||||| || ||||| | ||||| |||||| || |||||| | |||||| |
| ||||||||||| ||||||||| || |||| |||||||| |||| |||| |||||||| |||| |||||||| |||| |||||| ||||||||| |||||| |||||||||| || ||||| ||||||| || ||||| |||||| || |||| |||||||| |||| |||||| |||| | |||||||| | |||||||||||| ||||| || || ||||||||| |||| || |||| |||||||||||||| |||||||| |||||||| ||||| |||||||
Note: This table has been redacted at the request of the sponsor.
|||||||| |||||||||| | ||| ||||||||| |||||||||| ||||| | ||| || | ||||||||| |
|---|---|---|---|
||| ||||| ||||||||| | |||| |||||| | |||| || |||| | |||||| |
||| | |||| |||||| | |||| || |||| | |||||| |
|||| | |||| |||||| | |||| || |||| | |||||| |
| |||||||||| ||||||||| | |||| |||||||| |||| || ||||| |||||| ||||| |||| ||||||||| |||| |||||||| |||| || ||| |||||||| |||| || |||||||||||| |||||||||| ||||||| | |||||||| ||||| || || ||||||| |||||| |||| || |||||||| || |||||||||||| || ||||| || || ||||||||| |||| || |||| ||||||||||||| |||||||| |||||||| ||||| |||||||
Note: This table has been redacted at the request of the sponsor.
|||||||| |||||||||| | |||||||| |||||||||| |||| ||| | | |||| ||| | |||||||| |
|---|---|---|---|
||| ||||| ||||||||| | ||||||| ||||||| |||| |||| || ||||||||||||||||| ||||||| |||| ||||| || ||||| | ||||| |||||| || |||||| | |||||| |
||| | ||||||| ||||||| ||| |||| || ||||||||||||||||| ||||||| |||| ||||| || |||||| | ||||| |||||| || ||||||| | |||||| |
|||| | ||||||| ||||||| |||| |||| || ||||||||||||||||| ||||||| |||| ||||| || ||||| | ||||| |||||| || |||||| | |||||| |
|||||||||| ||||||||| || ||||| |||||||| |||| |||| ||||||||| |||| |||||||| |||| || |||| |||||| || |||| |||||||| |||| || ||||||||||||| |||||||||| |||||||| |||||| |||| | |||||||| | |||||||||||| | ||||| || || ||||||||| |||| || |||||||||||||||||| |||||||| |||||||| ||||| ||||||
Note: This table has been redacted at the request of the sponsor.
|||||||| |||||||||| | ||| ||||||||| |||||||||| ||||| | ||| | | |||||||| |
|---|---|---|---|
||| ||||| ||||||||| | |||| |||||| | |||| || ||| | |||||| |
||| | |||| |||||| | |||| || |||| | |||||| |
|||| | |||| |||||| | |||| || |||| | |||||| |
| |||||||||| ||||||||| || ||||| |||||||| |||| || |||||| |||||| ||||| |||| |||||||| |||| |||||||| |||| ||||||||| ||||||| |||||||||||| |||||||||| |||||| ||||||| || ||||| || |||| |||||||| |||| || ||||||||| ||||| || || ||||| |||||| |||| | |||||||| | |||||||||||| | ||||| || || ||||||||| |||| || |||| |||||||||||||| |||||||| |||||||| ||||| ||||||
Note: This table has been redacted at the request of the sponsor.
|||||||| |||||||||| | ||| ||||||||| |||||||||| ||||| | ||| | | |||||||| |
|---|---|---|---|
||| ||||| ||||||||| | |||| |||||| | |||| || ||| | |||||| |
||| | |||| |||||| | |||| || ||| | |||||| |
|||| | |||| |||||| | |||| || ||| | |||||| |
| |||||||||| ||||||||| ||||| |||||||| |||| || |||||| |||||| ||||| |||| |||||||| |||| |||||||| |||| ||||||||| ||||||||||||| ||||||| || ||||| || |||| |||||||| |||| | ||||||||| ||||| || | ||||| |||||| |||| | |||||||| | |||||||||||| | ||||| || || ||||||||| |||| || |||| |||||||||||||| |||||||| |||||||| ||||| ||||||
Note: This table has been redacted at the request of the sponsor.
AChR
cetylcholine receptor
AE
adverse event
BIA
budget impact analysis
gMG
generalized myasthenia gravis
ICER
incremental cost-effectiveness ratio
IVIg
IV immunoglobulin
LY
life-year
MAIC
matching-adjusted indirect comparison
MG
myasthenia gravis
MG-ADL
Myasthenia Gravis Activities of Daily Living
MGFA
Myasthenia Gravis Foundation of America
PLEX
plasma exchange plasmapheresis
QALY
quality-adjusted life-year
WTP
willingness-to-pay
The executive summary comprises 2 tables (Table 1 and Table 2) and a conclusion.
Item | Description |
|---|---|
Drug product | Ravulizumab (Ultomiris), 10 mg/mL and 100 mg/mL concentrate for solution for IV infusion |
Submitted price | Ravulizumab, 30 mL vial: $7,296.67 |
Indication | For the treatment of adult patients with anti-AChR antibody–positive gMG |
Health Canada approval status | NOC |
Health Canada review pathway | Standard |
NOC date | January 6, 2023 |
Reimbursement request | As per indication |
Sponsor | Alexion Pharma GmbH |
Submission history | Previously reviewed: Yes Indication: Paroxysmal nocturnal hemoglobinuria Recommendation date: February 11, 2022 Recommendation: Reimburse with clinical criteria and/or conditions Indication: Atypical hemolytic uremic syndrome Under review |
AChR = acetylcholine receptor; gMG = generalized myasthenia gravis; NOC = Notice of Compliance.
Table 2: Summary of Economic Evaluation
Component | Description |
|---|---|
Type of economic evaluation | Cost-utility analysis Markov model |
Target population | Adults 18 years and older diagnosed with anti-AChR antibody–positive gMG ≥ 6 months before screening, classified as MGFA class II to class IV at screening, and with an MG-ADL score of ≥ 6 |
Treatment | Ravulizumab plus usual care |
Comparators | Usual care comprised cholinesterase inhibitor (pyridostigmine) and IST (azathioprine, mycophenolate mofetil, cyclosporine, tacrolimus, methotrexate, cyclophosphamide, prednisone, methylprednisolone) |
Perspective | Canadian publicly funded health care payer |
Outcome | QALYs, LYs |
Time horizon | Lifetime (45 years) |
Key data sources | CHAMPION trial, a multicentre, double-blind, randomized, placebo-controlled, trial |
Submitted results | ICER vs. usual care = $1,512,275 per QALY gained (incremental QALYs = 1.62; incremental costs = $2,444,123) |
Key limitations |
|
CADTH reanalysis results |
|
AChR = acetylcholine receptor; gMG = generalized myasthenia gravis; ICER = incremental cost-effectiveness ratio; IST = immunosuppressive therapy; IVIg = IV immunoglobulin; LY = life-year; MAIC = matching-adjusted indirect comparison; MG-ADL = Myasthenia Gravis Activities of Daily Living; MGFA = Myasthenia Gravis Foundation of America; PLEX = plasma exchange; QALY = quality-adjusted life-year; vs. = versus; WTP = willingness-to-pay.
The CADTH clinical review concluded that evidence from the CHAMPION trial suggested that in adult patients with anti-acetylcholine receptor (AChR) antibody–positive myasthenia gravis (MG) with a Myasthenia Gravis Foundation of America (MGFA) clinical classification of class II to class IV at screening, and with a Myasthenia Gravis Activities of Daily Living (MG-ADL) score of 6 or more, ravulizumab contributed to statistically significant and potentially clinically meaningful improvement in the MG-ADL total score and MG disease severity (Quantitative Myasthenia Gravis scale total score), compared with placebo. The CADTH clinical review concluded that based on indirect evidence submitted by the sponsor, there remains uncertainty with respect to the relative efficacy and safety of ravulizumab relative to eculizumab. None of the available evidence provided a clear picture on the efficacy of ravulizumab in a specific place in the MG therapy paradigm (e.g., patients with refractory generalized myasthenia gravis [gMG] or severe but nonrefractory gMG) and compared with currently available therapies at various stages of the treatment paradigm.
CADTH undertook reanalyses to address limitations in the sponsor’s pharmacoeconomic evaluation by assuming no annual increase in the MG-ADL score for patients receiving usual care. CADTH could not address all key identified limitations, including adopting a more appropriate model structure, incorporating natural history assumptions that reflected disease progression in clinical practice, and the exclusion of relevant comparators. As several key limitations remained unresolved, the reanalysis performed by CADTH is associated with uncertainty.
In the CADTH base case, the incremental cost-effectiveness ratio (ICER) for ravulizumab plus usual care is $3,715,084 per QALY gained, compared with usual care. CADTH’s base case is aligned with the sponsor’s results; that is, there was a 0% probability of ravulizumab plus usual care being cost-effective at a willingness-to-pay (WTP) threshold of $50,000 per QALY gained, compared with usual care. A price reduction of at least 97% would be required for ravulizumab to be considered cost-effective at this WTP threshold. A 97% price reduction would reduce the unit price of a 300 mg vial of ravulizumab from $7,297 to $219, which would reduce annual per patient costs from $569,140 to $17,074 in subsequent years of treatment.
The cost-effectiveness of ravulizumab in the full Health Canada indication (which includes MGFA class I and class V, and MG-ADL score ≤ 5) is unknown as patients with MGFA class I and class V and patients with an MG-ADL total score of 5 or less were excluded from the CHAMPION trial. CADTH was additionally unable to address the lack of comparative data for ravulizumab versus other relevant comparators (including rituximab, chronic IV immunoglobulin [IVIg], and plasma exchange [PLEX]); as such, the cost-effectiveness of ravulizumab versus these comparators is unknown. The health states in the sponsor’s model were based on MG-ADL score change categories and CADTH was unable to fully validate the model inputs, including health-state utility values and rates of myasthenic exacerbations and crises.
The sponsor submitted a scenario analysis assessing the cost-effectiveness of ravulizumab with eculizumab using efficacy data from a sponsor-submitted matching-adjusted indirect comparison (MAIC). According to the CADTH clinical review, evidence from the MAIC suggested uncertainty in the relative efficacy of these treatments. The CADTH clinical review concluded that there remains uncertainty with respect to the efficacy and safety of ravulizumab relative to eculizumab; as such, the cost-effectiveness for this comparison is unknown.
This section is a summary of the feedback received from the patient groups, registered clinicians, and drug plans that participated in the CADTH review process — specifically, information that pertains to the economic submission.
Patient input was received from Muscular Dystrophy Canada, which collected patient perspectives from patients living with MG through online surveys and interviews in Canada. Approximately 19% of these patients had a confirmed diagnosis of AChR antibody–positive gMG. Patients with MG reported negative impacts of the disease on their quality of life and symptoms including fatigue, low energy levels, immobility, low strength, difficulty completing daily life activities, a loss of independence, double vision, and difficulty swallowing and speaking. Current treatments being used by patients included prednisone, pyridostigmine, thymectomy, azathioprine, and IVIg. Side effects reported by patients associated with current treatments included depression, weight gain, unstable sugar levels, diarrhea, and nausea. One patient who had experience with ravulizumab did not go into remission but did report improvement in symptoms. Treatment goals important to patients with MG included improvement in symptoms, fewer side effects, maintenance of independence, and fewer and shorter hospital admissions. Caregivers and patients with MG also valued treatments that were noninvasive and less costly.
Clinician input was received from The Neuromuscular Disease Network for Canada with the participation of a group of experts in the disease area, MG. The clinician input noted current treatments for patients with MG included symptomatic treatments such as pyridostigmine and disease-modifying treatments such as thymectomy, immunotherapy (including prednisone, azathioprine, mycophenolate mofetil, methotrexate, cyclophosphamide, or cyclosporine), IVIg, plasmapheresis, eculizumab, and rituximab. The clinicians noted clinically meaningful treatment goals included safe and effective treatment for patients with refractory and nonrefractory MG and an improved side effects profile. Clinically meaningful treatment response was described as increased survival, and decreased hospital admissions (including emergency department visits, hospital admissions, and intensive care unit stays). The clinician input noted that ravulizumab complements other treatments that act upstream in the immune-mediated damage. The input noted that ravulizumab is likely to be used as a third-line therapy concomitantly with other immunosuppressive drugs and may shift the treatment paradigm for severe and refractory patients who currently require chronic IVIg and PLEX.
The drug plans noted the current place in therapy of eculizumab (i.e., for use in refractory patients only) and the potential use of ravulizumab in patients with gMG in a broader population. The plans also noted considerations for the initiation, continuation, prescribing, and discontinuation of therapy. Further, the plans indicated that meningococcal vaccination is required before treatment.
Several of these concerns were addressed in the sponsor’s model:
model health states were based on the MG-ADL scale, which considers symptoms of MG, including double vision and difficulty swallowing and speaking
the cost of meningococcal vaccination was included in the sponsor’s pharmacoeconomic analyses and budget impact analysis (BIA)
eculizumab was considered a relevant comparator to ravulizumab in the refractory population.
In addition, CADTH addressed some of these concerns as follows:
CADTH estimated the budget impact of reimbursing ravulizumab for the AChR antibody–positive gMG population, aligning with the Health Canada indication.
CADTH was unable to address the following concerns raised from stakeholder input:
the cost-effectiveness of ravulizumab compared with rituximab, IVIg, and PLEX remains unknown.
The current review is for ravulizumab (Ultomiris) for adults aged 18 years and older with anti-AChR antibody–positive gMG.
The sponsor submitted a cost-utility analysis assessing ravulizumab plus usual care compared with usual care alone in adult patients with AChR antibody–positive gMG.1 The base-case model population was aligned with the CHAMPION trial and consisted of patients aged 18 years and older diagnosed with MG for 6 or more months before screening, classified as MGFA class II to class IV at screening, and with an MG-ADL score of 6 or more.1,2 The Health Canada indication does not specify MGFA classification and MG-ADL score.3 The modelled population, therefore, was not aligned with the Health Canada indication and reimbursement request. The comparator was described as usual care, which consisted of cholinesterase inhibitors (pyridostigmine) and immunosuppressive therapies (i.e., azathioprine, mycophenolate mofetil, cyclosporine, tacrolimus, methotrexate, cyclophosphamide, prednisone, and methylprednisolone).
Ravulizumab is available as a solution for IV infusion (300 mg per 30 mL single-use vial).3 The recommended dose for ravulizumab is weight-based and consists of a single loading dose (2,400 mg, 2,700 mg, and 3,000 mg for body weights of ≥ 40 kg to < 60 kg, ≥ 60 kg to < 100 kg, and ≥ 100 kg, respectively) followed by maintenance dosing (3,000 mg, 3,300 mg, and 3,600 mg for body weights of ≥ 40 kg to < 60 kg, ≥ 60 kg to < 100 kg, and ≥ 100 kg, respectively).3 Maintenance doses are initiated 2 weeks after the loading dose and then administered every 8 weeks thereafter.3 At the submitted price of $7,296.67 per 30 mL vial, the cost per maintenance dose is $72,967, $80,263, and $87,560 for body weights of 40 kg or more to less than 60 kg, 60 kg or more to less than 100 kg, and 100 kg or more, respectively. Assuming patients receive 6.5 administrations annually beyond the first year, the estimated annual costs of maintenance treatment ranged between $474,284 and $569,140, depending on patient weight (Table 8). In the model, ravulizumab treatment costs were based on the weight distribution observed in the CHAMPION trial (10.30% of individuals ≥ 40 kg to < 60 kg, 53.70% of individuals ≥ 60 kg to < 100 kg, and 36.00% of individuals ≥ 100 kg),2 resulting in an annual treatment cost of $632,256 per patient in the first year and $533,908 per patient in subsequent years. Usual care in the model consisted of background therapy drugs used in the CHAMPION trial and was associated with an annual cost of $1,297 per patient.1
The clinical outcomes of interest were quality-adjusted life-years (QALYs) and life-years (LYs). The economic analysis was undertaken over a lifetime time horizon (45 years) from the perspective of the Canadian public health care payer. Both costs and health outcomes were discounted at an annual rate of 1.5%.
A Markov model with 8 health states and 3-month cycle lengths was submitted by the sponsor. Patients entered the model distributed across health states characterized by the extent of their MG-ADL score improvement at 26 weeks in the CHAMPION trial (refer to Figure 1). The sponsor defined health states based on the extent of MG-ADL score improvement compared with baseline (i.e., people in the 3 to 4 MG-ADL score change category health state had to have had a score decrease of 3 points in the CHAMPION trial). In the first cycle, all patients started with a total MG-ADL score of 9.1, based on the mean baseline MG-ADL score of patients in the CHAMPION trial.2 In the next cycle, a patient’s MG-ADL score in each health state decreased based on their score change category (refer to Table 11 for the MG-ADL total score change by category). These scores were then maintained for the following 3 cycles, after which a percentage of patients on treatment could discontinue. Upon discontinuation, a patient’s MG-ADL scores increased at a rate of 0.5 points annually. Patients in the model did not transition between MG-ADL score change health states. Instead, during a given cycle, patients could experience myasthenic exacerbations or crises based on their MG-ADL score (Table 12). Those who experienced an exacerbation remained in the given health state, but a crisis could result in death.
The base-case pharmacoeconomic model in the full gMG population was primarily informed by inputs from the CHAMPION trial, a multicentre, double-blind, randomized, placebo-controlled trial.2 The model’s baseline population characteristics were derived from the CHAMPION trial (mean age = 55.5 years; percentage of patients who were female = 51.1%; mean MG-ADL total score = 9.1).2
Efficacy data were characterized by the proportion of patients distributed across MG-ADL score change categories and the MG-ADL total score change by category at 26 weeks (Table 11) taken from the CHAMPION trial.2 Ravulizumab treatment response was defined as a decrease of 3 or more points in the total MG-ADL score.1 Patients who reached this response threshold within 6 months were considered responders and continued to receive ravulizumab treatment. Patients who did not meet this threshold were considered nonresponders and were assumed to discontinue ravulizumab treatment and receive usual care thereafter. A proportion of the initial responders could also discontinue ravulizumab treatment at an annual rate of |||% based on a retrospective chart review of eculizumab patients in the US.4 Nonresponders, patients who discontinued ravulizumab, and all patients on usual care were assumed to experience a worsening disease trajectory, modelled by an annual increase in their total MG-ADL score of 0.5 points (informed by the sponsor’s assumption), which was assumed to begin 1 year after discontinuation or nonresponse.1
In each cycle, patients could experience clinical events (i.e., myasthenic exacerbations or myasthenic crises). The annual rate of patients experiencing these clinical events was determined by their total MG-ADL score (refer to Table 12). The sponsor assumed that of all clinical events, ||||% were myasthenic exacerbations while the remaining |||% were myasthenic crises.2
Patients experiencing a myasthenic crisis had an increased risk of death, with 4.47% of crises resulting in death, based on an analysis of a US sample of hospitalized patients with MG.5 Apart from myasthenic crises, patients were assumed to have the same mortality as their age- and gender-matched general population.6 Adverse events (AEs) occurring in 10% or more of patients in the CHAMPION trial were included in the model.2,7 AEs were assumed to only occur in the first 3 months of the model.
Utility values were derived by conducting post hoc analyses on the CHAMPION trial data to determine EQ-5D utility scores using MG-ADL scores and disease duration as a predictor. The sponsor used a regression equation to predict change in utility from the baseline EQ-5D score based on the baseline MG-ADL score, the MG-ADL score over time, and disease duration. In the sponsor’s approach, patients had an EQ-5D score of |||||| at baseline (in the full population) and the health utility was adjusted for the baseline MG-ADL score by using a coefficient of ||||||. The model predicted a decrease in the health utility with an increase in the MG-ADL score (using a coefficient of |||||||) and disease duration (using a coefficient of |||||||). As the health utility was predicted by the MG-ADL score and the MG-ADL score in a health state changed over time, the utility values were not specific to a health state. Myasthenic exacerbations and myasthenic crises were associated with disutilities in the model, derived from patient-level data in the CHAMPION trial (exacerbation disutility = ||||||| lasting for |||| days; crisis disutility = ||||||| lasting for |||| days).2 Utilities for AEs were obtained from published literature and were assumed to occur for 2 days to 14 days.8-11
Costs in the model included drug acquisition, treatment administration, vaccination, routine care, and the management of clinical events and AEs. Immunosuppressive therapy dosing was obtained from published literature and costs were sourced from the Ontario Drug Benefit Formulary.12-16 The proportion of patients on each drug in usual care was based on the CHAMPION trial.2 Ravulizumab administration costs included the cost of nursing time and transportation, supplies, and physician supervision.17-26 The sponsor assumed that 50% of patients incurred routine care costs, which included 1 family physician and neurologist visit every 28 days.24 Myasthenic exacerbation and crisis management costs were broken into initial acute care and postacute care costs. Initial acute care costs included outpatient care, hospital stay, stay in an intensive care unit, and rescue treatment with PLEX or IVIg with costs sourced from the Ontario Case Costing Initiative analysis tool, the Canadian Institute for Health Information, and published literature.27-30 The postacute care phase consisted of outpatient care, short-term nursing care, and PLEX or IVIg. The proportion of patients receiving each component of initial and postacute care was based on the sponsor’s assumption, the expert opinion obtained by the sponsor, and published literature.5,29 It was assumed that 100% of patients would require IVIg or PLEX in the initial acute care phase. AE management costs were based on ambulatory care codes from the Ontario Case Costing Initiative.28
All analyses were run probabilistically (5,000 iterations) with the deterministic and probabilistic results being similar. The probabilistic findings are presented as follows.
In the base case for the overall population, the sponsor reported that ravulizumab plus usual care was associated with an additional cost of $2,444,123 and 1.62 additional QALYs when compared to usual care alone, leading to an ICER of $1,512,275 per QALY gained (Table 3). Ravulizumab plus usual care was not associated with any additional LYs compared to usual care alone. At a WTP threshold of $50,000 per QALY gained, there was a 0% probability of ravulizumab being cost-effective compared to usual care. Approximately 96% of patients in each arm were alive at the end of the time horizon. Of the 1.62 incremental QALYs gained for ravulizumab plus usual care, only 0.02 (1.23%) were accrued during the trial period. The remainder of 98.76% of QALYs was accrued during the extrapolated period.
Drug acquisition costs accounted for nearly all of the incremental costs for ravulizumab ($2,624,710; 107%), which was partly offset by the reduced costs of treating myasthenic exacerbations and myasthenic crises for patients using ravulizumab compared with usual care (incremental savings = $192,469).
Table 3: Summary of the Sponsor’s Economic Evaluation Results
Drug | Total costs ($) | Incremental costs ($) | Total QALYs | Incremental QALYs | ICER vs. usual care ($/QALY) |
|---|---|---|---|---|---|
Usual care | 848,127 | Reference | 10.36 | Reference | Reference |
Ravulizumab plus usual care | 3,292,251 | 2,444,123 | 11.98 | 1.62 | 1,512,275 |
ICER = incremental cost-effectiveness ratio; QALY = quality-adjusted life-year; vs. = versus.
Source: Sponsor’s pharmacoeconomic submission.1
The sponsor conducted a variety of deterministic sensitivity analyses to test the influence that changes in individual model parameters had on the cost-effectiveness of ravulizumab. Cost-effectiveness results were robust to changes in most parameters and sponsor assumptions. The scenarios with the greatest impact on the ICER were assuming alternative estimates for change in the MG-ADL score for patients on usual care, with the ICER increasing to $2,125,767 per QALY gained when assuming an annual MG-ADL score increase of 0.25 and decreasing to $1,368,994 per QALY gained when assuming an annual MG-ADL score increase of 0.75.1 The model was also sensitive to discount rates and the use of a shorter time horizon (20 years).
The sponsor also submitted a scenario analysis assessing the cost-effectiveness of ravulizumab plus usual care compared with eculizumab plus usual care in a patient population pooled from the CHAMPION trial and the REGAIN trial. As there was no direct evidence regarding the relative efficacy of ravulizumab compared with eculizumab, efficacy for the pooled population was informed by a sponsor-commissioned MAIC, which was conducted using patient-level data from the CHAMPION (ravulizumab) and REGAIN (eculizumab) trials.2,7,31 The sponsor assumed that the mean change from baseline in the MG-ADL total score would be the same for ravulizumab and eculizumab based on the MAIC findings.31 The sponsor ||||||| ||||| |||||||| between ravulizumab and eculizumab based on the MAIC findings. Given that ravulizumab had lower treatment acquisition costs compared to eculizumab, ravulizumab dominated by eculizumab (|||| |||||||||||||, less costly). Ravulizumab plus usual care was associated with an ICER of $1,516,030 per QALY gained in this population.
CADTH identified several key limitations to the sponsor’s analysis that have notable implications on the economic analysis.
The full Health Canada population was not modelled. The sponsor-submitted analyses reflected the cost-effectiveness of ravulizumab plus usual care among patients with MGFA class II to class IV and an MG-ADL total score of 6 or more, with effectiveness informed by the CHAMPION trial.2 The CHAMPION trial excluded patients with MGFA class I and class V as well as patents with an MG-ADL total score of 5 or less.2 Given that the ravulizumab Health Canada indication for gMG is not restricted based on MGFA class or MG-ADL total score, the modelled population is narrower than that of the Health Canada indication.3 As such, the sponsor’s analyses reflect the cost-effectiveness of ravulizumab plus usual care in only a subset of the indicated population. Clinical expert feedback received by CADTH noted that while class I patients are not severe, they may be refractory to other treatments and that ravulizumab might be considered for use in this group. Further, regarding use in patients classified as MGFA class V, experts noted that ravulizumab could be useful.
CADTH was unable to address this limitation owing to a lack of clinical data. As noted in the CADTH clinical review, CADTH was unable to draw conclusions related to the efficacy of ravulizumab in patients classified as MGFA class I and class V as well as patients with an MG-ADL total score of 5 or less. As such, the clinical effectiveness and cost-effectiveness of ravulizumab in patients classified as MGFA class I and class V as well as patents with an MG-ADL total score of 5 or less is unknown, as is the cost-effectiveness of ravulizumab plus usual care in the full Health Canada indicated population.
Relevant comparators were excluded. The sponsor compared ravulizumab plus usual care to usual care alone in patients with AChR antibody–positive gMG; eculizumab plus usual care was also included as a comparator in a scenario analysis.1 The sponsor excluded rituximab as a relevant comparator; however, rituximab, while not indicated for gMG, is used as an off-label treatment for patients who are refractory to other therapies, according to clinical practice guidelines.14,32,33 This is aligned with feedback from clinical experts consulted by CADTH who indicated that there is an increasing use of rituximab in clinical practice. The sponsor also excluded IVIg and PLEX, but clinical experts consulted by CADTH noted that refractory patients have few treatment options other than chronic IVIg and PLEX, and, as such, they are relevant comparators. As these comparators were not included in the analysis, their cost-effectiveness compared with ravulizumab is unknown. Of note, these treatments are less costly than ravulizumab (Appendix 1).
CADTH could not address this limitation owing to a lack of direct or indirect comparative data. As noted in the CADTH clinical review, the comparative effectiveness of ravulizumab versus rituximab, IVIg, or PLEX is unknown.
The model structure did not adequately reflect gMG in clinical practice. The sponsor submitted a Markov model with health states defined by MG-ADL score change categories.1 Occupancy in a health state at the beginning of the model was determined by the change in the patient’s total MG-ADL score at 26 weeks compared with baseline in the CHAMPION trial.2 For example, patients with an MG-ADL total score change of 4 points were assigned to the 4 to 5 health state, and those with a score change of 5 points were assigned to the 5 to 6 health state. The distribution of patients across MG-ADL score change category health states was used to determine their total MG-ADL score in the model’s second cycle, as a patient’s total baseline MG-ADL score was decreased by the number of points associated with their score change category (Table 11). This modelling approach is uncertain for several reasons. It is uncertain whether the MG-ADL categories defined by the sponsor were clinically meaningfully different from 1 another. For example, the clinical experts consulted by CADTH for this review noted that a 3-point change in MG-ADL score may not be meaningfully different from a 4-point change. No justification was provided for the sponsor’s cut-offs used to define health states.
Additionally, because the MG-ADL score is a summary score, 2 patients in the same MG-ADL score change category could have markedly different clinical statuses. To elaborate, the MG-ADL assesses the functional ability of 8 signs or symptoms such as the ability to speak, chew, swallow, breathe, perform self-care activities, and perform physical activities, and vision-related parameters (2 items).34 A change in MG-ADL score does not speak to which element of functional ability has changed and, therefore, 2 people with the same score change could have experienced very different changes in symptoms. CADTH additionally notes that an MG-ADL score change category is not a distinct health state (i.e., it is not possible to describe the clinical picture of a patient in a given MG-ADL change category). Given this, CADTH was unable to validate health-state utility values, or clinical event rates (i.e., crises and exacerbations) by score change category. Furthermore, even though the score change category is translated to a total MG-ADL score, as the MG-ADL score is a summary score, the components of the MG-ADL scale resulting in the total MG-ADL score could be very different for patients with the same total MG-ADL score. Therefore, the use of MG-ADL scores to define health states is problematic because patients within the same MG-ADL score change category and with the same total MG-ADL score can have very different symptoms. From a methodological perspective, a health state in an economic model should represent a homogenous group of patients who have similar expected costs and quality of life considerations. The implications of heterogeneity in health states have been well documented in the literature.35
As noted in the CADTH guidelines for economic evaluation, model health states should be based on the clinical or care pathway for the condition of interest.36 No health-state transitions occurred in the model and patients did not move between sponsor-defined MG-ADL score categories. The clinical experts noted that the sponsor’s assumption that patients remain in the initial MG-ADL score change categories was not a clinically appropriate way to predict disease progression. A valid Markov model structure should allow patients to move between mutually exclusive health states and movement between health states should represent patients’ progression through the disease course, both of which were not captured appropriately in the sponsor’s model.36 This has implications for appropriately capturing differences in costs and health outcomes.36
CADTH was unable to address limitations related to the model structure, and the direction and magnitude of the impact these model structure limitations is unknown.
Natural history and long-term efficacy assumptions lacked face validity. The sponsor applied natural history assumptions after the second model cycle to model gMG disease trajectory and long-term disease outcomes for the remainder of the model time horizon. The sponsor assumed that all patients receiving usual care (i.e., patients who started treatment on usual care and patients who discontinued ravulizumab due to nonresponse [MG-ADL score change of < 3] or patients who initially responded but discontinued throughout the model time horizon) would experience a deteriorating disease course by modelling an increase in the patient’s MG-ADL score by 0.5 points each year. This value was informed by the opinion of the sponsor’s clinical expert and not based on the literature or trial findings (i.e., there was no comparative evidence to support the assumption). The clinical experts consulted by CADTH did not agree with the sponsor’s assumption that the MG-ADL score would increase over time for patients treated with usual care. The experts noted that gMG was not a progressive disease and that approximately 80% of patients would experience stable disease or have improvement. Further, a published study describing the natural history of gMG found that the majority of patients demonstrated improvement after 2 years of illness.37 Finally, only 20.2% of patients receiving placebo in the CHAMPION trial experienced clinical deterioration, indicating that not all patients on usual care would be expected to experience a worsening disease course. Therefore, the assumption of a worsening disease course for all patients receiving usual care was deemed to be inappropriate. Assuming a progressively higher total MG-ADL score for usual care patients directly impacts the health utility and clinical event rates because utility and event rates are determined by total MG-ADL scores, and biases the results in favour of ravulizumab.
Finally, the effectiveness of ravulizumab from the CHAMPION trial was captured in the sponsor’s modelling approach using the change in MG-ADL score in cycle 1 and cycle 2. The remainder of the efficacy parameters informing the MG-ADL total score was based on sponsor assumptions on long-term treatment effectiveness such as a sustained change in the MG-ADL score or progressively worsening disease course. As such, the majority of the total incremental QALYs for ravulizumab (98.76%) accrued after cycle 2 were based on extrapolation assumptions, which are highly uncertain.
In CADTH reanalyses, a stable disease course (i.e., no deterioration or improvement) was assumed for patients receiving usual care. The model was not sufficiently flexible to allow for changes that accurately reflected a fluctuating disease progression (i.e., MG-ADL scores increasing after a clinical event, patient improvement, or patient stabilization).
The comparative efficacy of ravulizumab and eculizumab is uncertain. The sponsor submitted a scenario analysis comparing the cost-effectiveness of ravulizumab plus usual care with eculizumab plus usual care and usual care alone.1 In the absence of direct comparative evidence, the sponsor conducted an MAIC to indirectly compare the relative efficacy of ravulizumab to eculizumab.31 Based on the MAIC findings, the sponsor concluded that ||||| || || |||||||||| || |||| |||||| |||| |||||||| |||||| ||||| ||||||| ||||||||||| |||||||||||||1,31 As such, in the sponsor’s scenario analysis, eculizumab and ravulizumab were ||||||| || || ||||||| ||||||||||| || ||||||| || |||| |||||| || |||||||||||
The sponsor-submitted MAIC included ||| | studies; ||| |||||||| |||||| ||||| |||||||| ||||||||||| || |||||||| || || |||||| |||||| ||||| |||||||| |||||||||| || ||||||||||| The CADTH clinical review noted that ||| |||||||| ||||| |||||||| |||||||| || || || ||||||||||| || ||||| ||||||||| |||||||| ||||||| || |||||||| || || |||||| ||||| |||| |||||||||| |||||| |||||||| || |||| |||||| |||| || ||||| |||||| |||| || |||||| ||||||||| |||| || ||||| |||||||||||||||||| ||||| || ||||||| ||||||| |||||| |||||||| || ||||||| |||||||| || |||| ||||||| || ||||| ||||||||||| ||||| || |||||||| |||||||| |||||||||||||||| ||||||||| ||||||| |||||||| |||| |||||| |||||||||| |||||| ||||| |||| || ||||| ||||||||| it cannot be determined whether all patients from the CHAMPION trial included in the MAIC were refractory. As such, the place in therapy for the 2 complement inhibitors differed between the ||| | trials and the patient populations being grouped in the MAIC may still have residual nonoverlap due to unmeasured confounders. The sponsor also submitted | |||||||||| |||||||| ||||||||| |||||||||| || || ||||||||||||| ||||| || |||||||||| ||||||| ||||||||||| |||||||||| ||||||||| |||||||| Regardless of the indirect approach taken, the CADTH clinical review concluded that the relative efficacy of ravulizumab and eculizumab was uncertain in patients with gMG as well as in any gMG subpopulation. Accordingly, relative estimates of cost-effectiveness between ravulizumab and eculizumab would be considered highly uncertain.
The sponsor’s primary economic analysis, based on the CHAMPION trial, excluded eculizumab. The sponsor only considered eculizumab as a comparator to ravulizumab in a pooled population of REGAIN and CHAMPION trial participants. While the place in therapy of eculizumab relative to ravulizumab is uncertain because the treatments were studied in distinct patient populations, it is likely that a proportion of the CHAMPION trial population would have been eligible to receive eculizumab. However, based on the available clinical evidence and structure of the model submitted by the sponsor, this could not be resolved by CADTH.
CADTH could not address this limitation because the uncertainty in the relative efficacy for ravulizumab compared with eculizumab could not be resolved given the availability of clinical evidence. Based on public list prices, ravulizumab would be expected to have lower treatment acquisition costs compared with eculizumab (Table 8).
Additional limitations were identified but were not considered to be key limitations. These limitations are outlined subsequently.
Ravulizumab discontinuation is uncertain. In the economic model, the sponsor adopted a discontinuation rate of |||% derived from a retrospective chart review of eculizumab patients in the US. The clinical experts consulted for this review were unable to validate the estimate due to lack of exposure with the drugs in clinical practice, making the generalizability of the estimate to the Canadian setting uncertain. The main reasons for discontinuation in the retrospective chart review included inadequate control of disease symptoms, no clinical improvement, intolerance to therapy, patient preference, and insurance or financial factors. Only some of these reasons align with clinical expert feedback, which indicated that the primary reason to consider complement inhibitor discontinuation would be due to the lack of clinical improvement, if other treatments could not be reduced, or intolerance. As such, the rate of treatment discontinuation is uncertain and may not be aligned with the reasons patients would discontinue complement inhibitor treatment in Canadian clinical practice. The discontinuation rate is a key driver of the cost-effectiveness results and an overestimation of discontinuation rates may bias the results in favour of ravulizumab, owing to high treatment acquisition costs.
In the scenario analysis, CADTH explored the impact of discontinuation by assuming a discontinuation rate of 0% per year.
Utility values were not specific to health states and lacked face validity. Changes in utility values from baseline were derived from a mixed-effects model using a US index to derive a regression equation. In the sponsor’s modelling approach, the baseline MG-ADL score, the MG-ADL score over time, and disease duration predicted the change in utility from the baseline EQ-5D score. As the health utility was predicted by the MG-ADL score and the MG-ADL score in a health state changed over time, the utility values were not specific to a health state. Utility values should be specific to a clinically homogeneous group of patients.36 Further, given the limitations with the sponsor’s approach to modelling disease progression based on MG-ADL scores described previously, the sponsor’s approach to linking health utilities with MG-ADL scores inappropriately estimated QALYs.
CADTH could not address this limitation.
The supplemental dosing of ravulizumab following the administration of PLEX or IVIg was not incorporated. The product monograph for ravulizumab indicates that supplemental dosing of complement inhibitor is required with PLEX or IVIg to maintain the serum concentration of the complement inhibitor.3 As per their respective product monographs, the supplemental dose of ravulizumab required is approximately half that of the most recent ravulizumab dose.3 The sponsor assumed no supplemental doses for patients on ravulizumab who received PLEX or IVIg. As such, treatment acquisition costs for ravulizumab are likely underestimated.
CADTH could not address this limitation. Given that treatment acquisition costs for ravulizumab were likely underestimated, the results are biased in favour of ravulizumab.
Poor modelling practices were employed. The sponsor’s submitted model included numerous IFERROR statements, which led to situations in which the parameter value was overwritten with an alternative value without alerting the user to the automated overwriting. The systematic use of IFERROR statements makes thorough auditing of the sponsor’s model impractical and it remains unclear whether the model was running inappropriately by overriding errors. Finally, parameter uncertainty was not adequately incorporated given that the sponsor assumed an arbitrary standard error of 10% for most model parameters. The use of an arbitrary value is inappropriate when clinical trial data are available and not using actual parameter uncertainty diminishes the value of conducting probabilistic analyses as true parameter uncertainty has not been captured.
CADTH could not address this limitation and notes that a thorough validation of the sponsor’s model was not possible.
Additionally, the following key assumptions were made by the sponsor and have been appraised by CADTH (refer to Table 4).
Table 4: Key Assumptions of the Submitted Economic Evaluation (Not Noted as Limitations to the Submission)
Sponsor’s key assumption | CADTH comment |
|---|---|
The sponsor compared ravulizumab plus usual care to a single comparator consisting of a pooled combination of usual care therapies. | Uncertain but unlikely to affect the ICER. The CHAMPION trial compared ravulizumab to placebo, not usual care.2 However, patients in both arms received usual care treatments, which could include cholinesterase inhibitors and ISTs.2 According to the CADTH clinical review report, patients entered the CHAMPION trial on various levels of usual care therapies. |
The sponsor assumed that baseline model characteristics were based on crude data from the CHAMPION trial. | CADTH noted minor differences in the baseline population characteristics reported in the pharmacoeconomic evaluation and in the full analysis set of the CHAMPION trial Clinical Study Report. These differences had minimal impact on the cost-effectiveness of ravulizumab. |
The sponsor assumed that the proportion of patients by MG-ADL score category and the continuous changes in MG-ADL was based on crude data from the CHAMPION trial. | CADTH noted differences in the reported proportion of patients by MG-ADL score category and the continuous changes in MG-ADL from the CHAMPION trial in the pharmacoeconomic submission and the CHAMPION trial Clinical Study Report. The sponsor explained these differences were due to methodological differences to account for patient dropout and missing data. CADTH noted that the reported estimates were similar, although different, and found the impact of using values used in the Clinical Study Report had minimal impact on the ICER. CADTH could not validate the estimates that were not reported in the Clinical Study Report. |
The sponsor assumed that patients who discontinued ravulizumab experienced disease progression (noted by an increase in MG-ADL score) 1 year after discontinuation. | There was no evidence to support a delay in disease progression. As such, the modelling approach is uncertain but unlikely to influence the results. |
The sponsor assumed the rate of myasthenic exacerbations would increase with an increase in MG-ADL score. | According to clinical experts consulted for this review, exacerbations are just as likely in patients with mild myasthenia as those with severe myasthenia. Therefore, the sponsor’s assumption that higher MG-ADL scores are associated with greater rates of exacerbations was deemed to be inappropriate. Given the sponsor's approach of pooling all clinical events (exacerbations and crises) to determine the event rate, and then separating them out when they occur into crises and exacerbations, CADTH was unable to remove the assumption that exacerbations are more likely with higher MG-ADL scores. CADTH explored the impact of excluding the modelled relationship between MG-ADL score and all clinical events (both exacerbations and crises) and found the sponsor’s assumption had minimal impact on the results. |
The sponsor assumed that AEs could occur only once during treatment. | This assumption is likely inappropriate but has minimal impact on the cost-effectiveness of ravulizumab. |
A disutility of ||||| was assigned to patients in myasthenic crisis based on the EQ-5D score measured before and after the patient had experienced a crisis during the CHAMPION trial. | This estimate failed to meet face validity as it placed a large proportion of patients experiencing a crisis in a state worse than death for a full month. CADTH reviewers found that this assumption had a limited effect on overall cost-effectiveness, and that no robust estimate was available in the literature. Accordingly, this value was left unadjusted for the CADTH base-case reanalysis. |
AE = adverse event; ICER = incremental cost-effectiveness ratio; IST = immunosuppressive therapy; MG-ADL = Myasthenia Gravis Activities of Daily Living; PE = pharmacoeconomic submission; vs = vs..
CADTH undertook reanalyses that addressed limitations within the model, as summarized in Table 5. The CADTH base case was derived by making changes in model parameter values and assumptions, in consultation with clinical experts. All CADTH probabilistic reanalyses were based on 5,000 iterations.
CADTH was unable to address other key limitations of the model (described earlier), including structural concerns with the submitted model that introduced significant uncertainty and natural history assumptions that did not accurately reflect disease progression. Due to these key limitations, it is uncertain that costs and health outcomes have been appropriately captured.
Table 5: CADTH Revisions to the Submitted Economic Evaluation
Stepped analysis | Sponsor’s value or assumption | CADTH value or assumption |
|---|---|---|
Corrections to sponsor’s base case | ||
None | — | — |
Changes to derive the CADTH base case | ||
1. Annual MG-ADL score increase for usual care | 0.5 | 0 |
CADTH base case | — | 1 |
MG-ADL = Myasthenia Gravis Activities of Daily Living.
CADTH undertook a stepped analysis, incorporating each change proposed in Table 5 to the sponsor’s base case to highlight the impact of each change (Table 6). In the CADTH base case, ravulizumab plus usual care was associated with higher costs (incremental costs = $2,588,863) and higher QALYs (incremental QALYs = 0.69) compared with usual care alone over a 45-year horizon, resulting in an ICER of $3,715,084 per QALY gained (Table 6). Similar to the sponsor’s base case, ravulizumab plus usual care was not associated with any additional LYs compared to usual care alone and there is a 0% probability that ravulizumab plus usual care is optimal compared to usual care alone at a WTP threshold of $50,000 per QALY gained. Of the 0.69 incremental QALYs gained for ravulizumab plus usual care, 0.02 (2.90%) were accrued during the trial period. Disaggregated results can be found in Table 13. Drug acquisition costs accounted for the majority of incremental costs for ravulizumab ($2,622,278; 101%).
Table 6: Summary of the Stepped Analysis of the CADTH Reanalysis Results
Stepped analysis | Drug | Total costs ($) | Total QALYs | ICER ($/QALY) |
|---|---|---|---|---|
Sponsor’s base case, probabilistic | Usual carea | 848,127 | 10.36 | Reference |
Ravulizumab plus usual care | 3,292,251 | 11.98 | 1,512,275 | |
Sponsor’s base case, deterministic | Usual carea | 795,814 | 10.35 | Reference |
Ravulizumab plus usual care | 3,243,117 | 11.96 | 1,519,303 | |
CADTH base case, deterministic | Usual carea | 406,220 | 13.69 | Reference |
Ravulizumab plus usual care | 2,981,243 | 14.38 | 3,697,565 | |
CADTH base case, probabilistic | Usual carea | 412,533 | 13.69 | Reference |
Ravulizumab plus usual care | 3,001,396 | 14.38 | 3,715,084 |
ICER = incremental cost-effectiveness ratio; IST = immunosuppressive therapy; QALY = quality-adjusted life-year.
aUsual care comprised cholinesterase inhibitor (pyridostigmine) and ISTs (azathioprine, mycophenolate mofetil, cyclosporine, tacrolimus, methotrexate, cyclophosphamide, prednisone, and methylprednisolone).
CADTH undertook price reduction analyses based on the sponsor’s and CADTH’s base case. The results indicate that a price reduction of at least 97% is required for ravulizumab plus usual care to be considered cost-effective compared to usual care alone at a WTP threshold of $50,000 per QALY gained (Table 7).
Table 7: CADTH Price Reduction Analyses
Analysis | ICERs for ravulizumab plus usual care vs. usual care ($/QALY) | |
|---|---|---|
Price reduction | Sponsor base case | CADTH reanalysis |
No price reduction | 1,512,275 | 3,715,084 |
10% | 1,349,874 | 3,338,781 |
20% | 1,187,473 | 2,962,477 |
30% | 1,025,072 | 2,586,174 |
40% | 862,671 | 2,209,871 |
50% | 700,269 | 1,833,567 |
60% | 537,868 | 1,457,264 |
70% | 375,467 | 1,080,960 |
80% | 213,066 | 704,657 |
90% | 50,665 | 328,353 |
100% | NA | NA |
ICER = incremental cost-effectiveness ratio; NA = not applicable; QALY = quality-adjusted life-year; vs. = versus.
CADTH also explored in a scenario analysis the impact of assuming no treatment discontinuation, in which the ICER for ravulizumab plus usual care compared with usual care alone increased to $8,934,882 per QALY (Appendix 4, Table 14).
Patients with thymoma were excluded from the CHAMPION trial but may receive ravulizumab treatment in clinical practice. The CHAMPION trial excluded patients with thymoma but the Health Canada indication covers this patient subpopulation.2 The clinical experts consulted for this review anticipated that patients with thymoma may benefit from treatment with ravulizumab. However, the cost-effectiveness of ravulizumab in patients with thymoma is unknown due to the fact that there is no efficacy data for ravulizumab in this population.
The availability of eculizumab for gMG is uncertain. The pan-Canadian Pharmaceutical Alliance negotiations for eculizumab for gMG concluded without an agreement.38 As such, it is uncertain whether eculizumab is being reimbursed by jurisdictions for gMG and its relevance as a comparator is uncertain.
The patent for eculizumab is anticipated to expire. The patent for eculizumab is expected to expire on March 15, 2027.39 If eculizumab biosimilars become available and are considered clinically equivalent to eculizumab, ravulizumab is unlikely to remain less costly than eculizumab biosimilars.
Comparator pricing is based on publicly available prices. The modelled price of eculizumab is based on public list prices and does not reflect any confidential pricing that may have been negotiated by public drug plans, in light of the CADTH recommendation and condition for a price reduction. Any estimated cost savings associated with ravulizumab may be overestimated if public drug programs listing eculizumab negotiated for a lower price.
Previous submission history of ravulizumab. Ravulizumab has been previously reviewed by CADTH for paroxysmal nocturnal hemoglobinuria and received a recommendation to reimburse with clinical criteria and/or conditions.40 The recommendation concluded that ravulizumab is potentially less costly compared to eculizumab, although there was notable uncertainty associated with this conclusion and any potential cost savings would only be realized after several decades of treatment due to loading dose costs. Ravulizumab is also currently under review for atypical hemolytic uremic syndrome (recommendation pending). The submitted price for ravulizumab was the same across indications.
There is an alternative dosage of ravulizumab. Ravulizumab is also available in 100 mg/mL vials but this dosage form was outside the scope of this review. The treatment cost of ravulizumab in this review was estimated based on the 10 mg/mL vial.
Treatment switching was not considered. The product monograph noted that for patients switching to ravulizumab from eculizumab, ravulizumab loading doses should be administered 2 weeks after the last eculizumab infusion. No treatment switching occurred in the sponsor’s model. The clinical expert consulted for this review noted that most patients will switch to ravulizumab unless a difference in efficacy is found between the 2 drugs.
The CADTH clinical review concluded that evidence from the CHAMPION trial suggested that in adult patients with AChR antibody–positive MG with MGFA class II to class IV at screening, and with an MG-ADL score of 6 or more, ravulizumab contributed to statistically significant and potentially clinically meaningful improvement in their MG-ADL total score and MG disease severity (Quantitative Myasthenia Gravis scale total score), compared with placebo. The CADTH clinical review concluded that based on indirect evidence submitted by the sponsor, there remains uncertainty with respect to the relative efficacy and safety of ravulizumab relative to eculizumab. None of the available evidence provided a clear picture on the efficacy of ravulizumab in a specific place in the MG therapy paradigm (e.g., patients with refractory gMG or severe but nonrefractory gMG) or how ravulizumab compared with currently available therapies at various stages of the treatment paradigm.
CADTH undertook reanalyses to address limitations in the sponsor’s pharmacoeconomic evaluation by assuming no annual increase in the MG-ADL score for patients receiving usual care. CADTH could not address all key identified limitations, including adopting a more appropriate model structure, incorporating natural history assumptions that reflected disease progression in clinical practice, and the exclusion of relevant comparators. As several key limitations remained unresolved, the reanalysis performed by CADTH was associated with uncertainty.
In the CADTH base case, the ICER for ravulizumab plus usual care is $3,715,084 per QALY gained, compared with usual care. CADTH’s base case is aligned with the sponsor’s results; that is, there was a 0% probability of ravulizumab plus usual care being cost-effective at a WTP threshold of $50,000 per QALY gained, compared with usual care. A price reduction of at least 97% would be required for ravulizumab to be considered cost-effective at this WTP threshold. A 97% price reduction would reduce the unit price of a 300 mg vial of ravulizumab from $7,297 to $219, which would reduce annual per patient costs from $569,140 to $17,074 in subsequent years of treatment.
The cost-effectiveness of ravulizumab in the full Health Canada indication (which includes MGFA class I and class V, and an MG-ADL score ≤ 5) is unknown as patients classified as MGFA class I and class V, and patients with an MG-ADL total score of 5 or less were excluded from the CHAMPION trial. CADTH was additionally unable to address the lack of comparative data for ravulizumab versus other relevant comparators (including rituximab and chronic IVIg and PLEX); as such, the cost-effectiveness of ravulizumab versus these comparators is unknown.
CADTH was unable to fully validate all model inputs, including health-state utility values and rates of myasthenic exacerbations and crises, owing to the model structure adopted by the sponsor. Additionally, given that the model structure does not adequately represent the gMG disease course, CADTH was unable to confirm whether the model results were robust. As such, cost-effectiveness results should be considered highly uncertain.
The sponsor submitted a scenario analysis assessing the cost-effectiveness of ravulizumab with eculizumab, using efficacy data from a sponsor-submitted MAIC. The CADTH clinical review concluded that there remains uncertainty with respect to the efficacy and safety of ravulizumab relative to eculizumab; as such, the cost-effectiveness for this comparison is unknown.
1.Pharmacoeconomic evaluation [internal sponsor's report]. In: Drug Reimbursement Review sponsor submission: Ultomiris (ravulizumab), 10 mg/mL concentrate for solution for infusion. Zurich (CH): Alexion Pharma GmBH; 2022 Oct 25.
2.Clinical Study Report: ALXN1210-MG-306. A phase 3, randomized, double-blind, placebo-controlled, multicenter study to evaluate the safety and efficacy of ravulizumab in complement-inhibitor-naïve adult patients with generalized myasthenia gravis [internal sponsor's report]. Bosston (MA): Alexion Pharmaceuticals, Inc; 2021 Oct 5.
3.PrUltomiris® (ravulizumab): 10 mg/mL concentrate for solution for infusion [DRAFT product monograph]. Zurich (CH): Alexion Pharma GmbH; 2022 Feb 24.
4.Drug Reimbursement Review sponsor submission: Ultomiris (ravulizumab), 10 mg/mL concentrate for solution for infusion [internal sponsor's package]. Zurich (CH): Alexion Pharma GmBH; 2022 Oct 25.
5.Alshekhlee A, Miles JD, Katirji B, Preston DC, Kaminski HJ. Incidence and mortality rates of myasthenia gravis and myasthenic crisis in US hospitals. Neurology. 2009;72(18):1548-1554. PubMed
6.Table: 13-10-0114-01. Life expectancy and other elements of the life table, Canada, all provinces except Prince Edward Island. Ottawa (ON): Statistics Canada; 2022: https://www150.statcan.gc.ca/t1/tbl1/en/tv.action?pid=1310011401. Accessed 2023 Jan 23.
7.Howard JR Jr, Utsugisawa K, Benatar M, et al. Safety and efficacy of eculizumab in anti-acetylcholine receptor antibody-positive refractory generalised myasthenia gravis (REGAIN): a phase 3, randomised, double-blind, placebo-controlled, multicentre study. Lancet Neurol. 2017;16(12):976-986. PubMed
8.Chirikov V, Ma I, Joshi N, et al. Cost-effectiveness of alemtuzumab in the treatment of relapsing forms of multiple sclerosis in the United States. Value Health. 2019;22(2):168-176. PubMed
9.Jit M, Cromer D, Baguelin M, Stowe J, Andrews N, Miller E. The cost-effectiveness of vaccinating pregnant women against seasonal influenza in England and Wales. Vaccine. 2010;29(1):115-122. PubMed
10.Little P, Williamson I, Warner G, Gould C, Gantley M, Kinmonth AL. Open randomised trial of prescribing strategies in managing sore throat. BMJ. 1997;314(7082):722-727. PubMed
11.Matza LS, Boye KS, Yurgin N, et al. Utilities and disutilities for type 2 diabetes treatment-related attributes. Qual Life Res. 2007;16(7):1251-1265. PubMed
12.Sanders DB, Wolfe GI, Benatar M, et al. International consensus guidance for management of myasthenia gravis: Executive summary. Neurology. 2016;87(4):419-425. PubMed
13.Jacob S, Viegas S, Lashley D, Hilton-Jones D. Myasthenia gravis and other neuromuscular junction disorders. Pract Neurol. 2009;9(6):364-371. PubMed
14.Sussman J, Farrugia ME, Maddison P, Hill M, Leite MI, Hilton-Jones D. Myasthenia gravis: Association of British Neurologists’ management guidelines. Pract Neurol. 2015;15(3):199-206. PubMed
15.Gilhus NE. Myasthenia gravis. N Engl J Med. 2016;375(26):2570-2581. PubMed
16.ClinCalc.com. Corticosteroid conversion calculator. 2023; https://clincalc.com/Corticosteroids/default.aspx. Accessed 2023 Jan 23.
17.Ontario Ministry of Health, Ontario Ministry of Long-Term Care. Ontario drug benefit formulary/comparative drug index. 2022; https://www.formulary.health.gov.on.ca/formulary/. Accessed 2022 Dec 6.
18.Government of Canada. Job Bank Canada: wage report. NOC 3012. 2019; https://www.jobbank.gc.ca/marketreport/wages-occupation/696/ca. Accessed 2023 Jan 23.
19.Schedule of benefits. Physician services under the Health insurance act. Code G359. 2015. Ottawa (ON): Government of Canada; 2015.
20.LifeSupply. SKU: B.Braun V1415-15-X. 2023; https://www.lifesupply.ca/search.php?search_query=B.Braun%20V1415-15-x.§ion=product. Accessed 2023 Jan 23.
21.LifeSupply. Covidien 8881540111 Monoject Smartip needless vial access cannula BX/100 (CS/10). 2023; https://www.lifesupply.ca/monoject-smartip-needless-vial-access-cannula-bx-100-cs-10-mdt-8881540111/. . Accessed 2023 Jan 23.
22.LifeSupply. Dressing IV transparent 3M Tegaderm HP 6 Cm X 7cm BX/100 (3M-9534HP). 2023; https://www.lifesupply.ca/dressing-iv-transparent-3m-tegaderm-hp-6-cm-x-7cm-bx-100-3m-9534hp/. Accessed 2023 Jan 23.
23.Health Quality Ontario. Home-based subcutaneous infusion of immunoglobulin for primary and secondary immunodeficiencies. Ont Health Technol Assess Ser. 2017;17(16):1-86. https://www.ncbi.nlm.nih.gov/pmc/articles/PMC6548531/pdf/ohtas-17-1.pdf. Accessed 2023 Jan 23. PubMed
24.Schedule of benefits. physician services under the health insurance act (effective July 1, 2022). Toronto (ON): Ontario Ministry of Health: https://www.health.gov.on.ca/en/pro/programs/ohip/sob/physserv/sob_master.pdf. Accessed 2023 Jan 23.
25.PrUltomiris® (ravulizumab for injection): 10 mg/mL & 100 mg/mL concentrate for solution for infusion [product monograph]. Zurich (CH): Alexion Pharma GmbH; 2023 Jan 6: https://alexion.com/documents/ultomiris_product_monograph_approved_english. Accessed 2023 Jan 23.
26.PrSoliris® (eculizumab for injection): 30 mL parenteral solution (10 mg/mL) [product monograph]. Zurich (CH): Alexion Pharma GmbH; 2021 Mar 25: https://alexion.com/Documents/Canada/Product-Monograph-Soliris-English-20Aug2018.aspx. Accessed 2023 Jan 23.
27.Care in Canadian ICUs. Ottawa (ON): Canadian Institute for Health Information (CIHI); 2016: https://secure.cihi.ca/free_products/ICU_Report_EN.pdf. Accessed 2023 Jan 23.
28.Ontario Case Costing Initiative (OCCI). Toronto (ON): Ontario Health and Long-Term Care; 2017: https://data.ontario.ca/dataset/ontario-case-costing-initiative-occi. Accessed 2022 Dec 6.
29.Neumann B, Angstwurm K, Mergenthaler P, et al. Myasthenic crisis demanding mechanical ventilation: A multicenter analysis of 250 cases. Neurology. 2020;94(3):e299-e313. PubMed
30.Furlan JC, Barth D, Barnett C, Bril V. Cost‐minimization analysis comparing intravenous immunoglobulin with plasma exchange in the management of patients with myasthenia gravis. Muscle Nerve. 2016;53(6):872-876. PubMed
31.ITC report: Efficacy of ravulizumab relative to eculizumab for the treatment of generalized myasthenia gravis [internal sponsor's report]. In: Drug Reimbursement Review sponsor submission: Ultomiris (ravulizumab), 10 mg/mL concentrate for solution for infusion. Zurich (CH): Alexion Pharma GmBH; 2022 Oct 25.
32.Narayanaswami P, Sanders DB, Wolfe G, et al. International consensus guidance for management of myasthenia gravis: 2020 update. Neurology. 2021;96(3):114-122. PubMed
33.Fowler SB, Herrington JB, Koopman WJ, Ricci M. Care of the patient with myasthenia gravis. J Neurosci Nurs. 2013;45(5):317-318. PubMed
34.Wolfe GI, Herbelin L, Nations SP, Foster B, Bryan WW, Barohn RJ. Myasthenia gravis activities of daily living profile. Neurology. 1999;52(7):1487-1489. PubMed
35.Zaric GS. The impact of ignoring population heterogeneity when Markov models are used in cost-effectiveness analysis. Med Decis Making. 2003;23(5):379-396. PubMed
36.Guidelines for the economic evaluation of health technologies: Canada. 4th ed. Ottawa (ON): CADTH; 2017: https://www.cadth.ca/guidelines-economic-evaluation-health-technologies-canada-4th-edition. Accessed 2023 Jan 23.
37.Grob D, Brunner N, Namba T, Pagala M. Lifetime course of myasthenia gravis. Muscle Nerve. 2008;37(2):141-149. PubMed
38.Soliris (eculizumab) negotiation status. Toronto (ON): Pan-Canadian Pharmaceutical Alliance (pCPA); 2023: https://www.pcpacanada.ca/negotiation/21306. Accessed 2023 Feb 1.
39.Health Canada patent register. 2022; https://pr-rdb.hc-sc.gc.ca/pr-rdb/start-debuter.do?access=external&lang=en. Accessed 2023 Jan 23.
40.Ultomiuris (ravulizumab) for paroxysmal nocturnal hemoglobunuria. Drug reimbursement review. Ottawa (ON): CADTH; 2021: https://www.cadth.ca/ravulizumab-0. Accessed 2023 Jan 23.
41.Government of Alberta. Interactive drug benefit list. 2022; https://idbl.ab.bluecross.ca/idbl/load.do. Accessed 2023 Jan 23.
42.Farmakidis C, Pasnoor M, Dimachkie MM, Barohn RJ. Treatment of myasthenia gravis. Neurol Clin. 2018;36(2):311-337. PubMed
43.DeltaPA. [Ottawa (ON)]: IQVIA; 2022: https://www.iqvia.com/. Accessed 2022 Dec 6.
44.Saskatchewan Drug Plan: search formulary. 2022; http://formulary.drugplan.ehealthsask.ca/SearchFormulary. Accessed 2022 Dec 6.
45.Heckmann JM, Rawoot A, Bateman K, Renison R, Badri M. A single-blinded trial of methotrexate versus azathioprine as steroid-sparing agents in generalized myasthenia gravis. BMC Neurol. 2011;11:97. PubMed
46.PrMestinon® and PrMestinon®-SR (pyridostigmine bromide): 60 mg tablets and 180 mg slow-release tablets [product monograph]. Laval (QC): Bausch Health; 2019 Jul 3: https://pdf.hres.ca/dpd_pm/00052033.PDF. Accessed 2023 Jan 23.
47.Melzer N, Ruck T, Fuhr P, et al. Clinical features, pathogenesis, and treatment of myasthenia gravis: a supplement to the Guidelines of the German Neurological Society. J Neurol. 2016;263(8):1473-1494. PubMed
48.Budget Impact Analysis report: Ultomiris® (rabulizumab) for injection [internal sponsor's report]. In: Drug Reimbursement Review sponsor submission: Ultomiris (ravulizumab), 10 mg/mL concentrate for solution for infusion. Zurich (CH): Alexion Pharma GmBH; 2022 Oct 25.
49.Westerberg E, Punga AR. Epidemiology of Myasthenia Gravis in Sweden 2006-2016. Brain Behav. 2020;10(11):e01819. PubMed
50.Anil R, Kumar A, Alaparthi S, et al. Exploring outcomes and characteristics of myasthenia gravis: Rationale, aims and design of registry - The EXPLORE-MG registry. J Neurol Sci. 2020;414:116830. PubMed
51.Oh SJ, Morgan MB, Lu L, et al. Racial differences in myasthenia gravis in Alabama. Muscle Nerve. 2009;39(3):328-332. PubMed
52.Pallaver F, Riviera AP, Piffer S, et al. Change in myasthenia gravis epidemiology in Trento, Italy, after twenty years. Neuroepidemiology. 2011;36(4):282-287. PubMed
53.Santos E, Coutinho E, Moreira I, et al. Epidemiology of myasthenia gravis in Northern Portugal: frequency estimates and clinical epidemiological distribution of cases. Muscle Nerve. 2016;54(3):413-421. PubMed
54.Sanders DB, Raja SM, Guptill JT, Hobson-Webb LD, Juel VC, Massey JM. The Duke myasthenia gravis clinic registry: I. Description and demographics. Muscle Nerve. 2021;63(2):209-216. PubMed
55.Hendricks TM, Bhatti MT, Hodge DO, Chen JJ. Incidence, epidemiology, and transformation of ocular myasthenia gravis: a population-based study. Am J Ophthalmol. 2019;205:99-105. PubMed
56.Petersson M, Feresiadou A, Jons D, et al. Patient-reported symptom severity in a nationwide myasthenia gravis cohort: cross-sectional analysis of the Swedish GEMG study. Neurology. 2021;97(14):e1382-1391. PubMed
Table 8: CADTH Cost Comparison Table for Complement Inhibitors Indicated for the Treatment of Generalized Myasthenia Gravis
Treatment | Strength/concentration | Form | Price ($) | Recommended dosage | Daily cost ($) | Annual cost ($) |
|---|---|---|---|---|---|---|
Ravulizumab (Ultomiris) | 10 mg/mLa | 30 mL single dose vial of concentrate for solution for IV infusion | 7,296.6700b | Loading dose, with maintenance doses given starting 2 weeks after, then administered every 8 weeks thereafter,c based on weight as follows: ≥ 40 kg to < 60 kg Loading: 2,400 mg; Maintenance: 3,000 mg ≥ 60 kg to < 100 kg Loading: 2,700 mg; Maintenance: 3,300 mg ≥ 100 kg Loading: 3,000 mg; Maintenance: 3,600 mg | ≥ 40 kg to < 60 kg Year 1d: 1,559.29 Subsequent yearse: 1,299.41 ≥ 60 kg to < 100 kg: Year 1d: 1,719.22 Subsequent yearse: 1,429.35 ≥ 100 kg Year 1d: 1,879.14 Subsequent yearse: 1,559.29 | ≥ 40 kg to < 60 kg: Year 1d: 569,140 Subsequent yearse: 474,284 ≥ 60 kg to < 100 kg: Year 1d: 627,514 Subsequent yearse: 521,712 ≥ 100 kg: Year 1d: 685,887 Subsequent yearse: 569,140 |
Eculizumab (Soliris) | 10 mg/mL | 300 mg single-use vial | 6,675.3000f | Loading: 900 mg weekly for 4 weeks, then 1,200 mg for the fifth dose 1 week later Maintenance: 1,200 mg every 2 weeks thereafter | First yearg: 1,975.16 Subsequent yearsh: 1,902.00 | First yearg: 720,932 Subsequent yearsh: 694,231 |
The comparators presented in the table above have been deemed to be appropriate based on feedback from clinical expert(s) and drug plan. Comparators may be recommended (appropriate) practice or actual practice. Existing Product Listing Agreements are not reflected in the table and as such, the table may not represent the actual costs to public drug plans.
Note: This table has not been copy-edited.
aAn additional dosage form for ravulizumab was identified (100 mg/mL) but was deemed beyond the purview of this review. No price was received for this dosage form.
bSponsor-submitted price.1
cFor patients switching from eculizumab, the loading dose of ravulizumab is given 2 weeks after the last eculizumab infusion. Maintenance doses are, then, given every 8 weeks, starting 2 weeks after the loading dose.
dYear 1 costs assume 1 loading dose and 7 maintenance doses.
eSubsequent year dosing are based on an average of 6.5 (52/8) administrations per year.
fAlberta formulary, accessed January 23, 2023.41
gYear 1 costs assume four 900 mg doses and 24 1,200 mg doses.
hSubsequent year costs assume 26 administrations per year.
Table 9: CADTH Cost Comparison Table for Generalized Myasthenia Gravis — Off-Label Treatments
Treatment | Strength/ concentration | Form | Price ($) | Recommended dosage | Daily cost ($) | Annual cost ($) |
|---|---|---|---|---|---|---|
Other biologics | ||||||
Rituximab (Rituxan) | 10 mg/mL | 10 mL 50 mL Vial for IV infusion | 482.3050a 2,411.5400a | 375 mg/m2 weekly for 4 doses Alternate dosing: 1 g, followed by 1 g 2 weeks later, and then every 6 months | NA | Cost per course: 13,505 Alternate dosing in year 1: 18,921 |
Rituximab (Truxima) | 10 mg/mL | 297.0000 1,485.0000 | NA | Cost per course: 8,316 Alternate dosing in year 1: 11,652 | ||
Glucocorticoids | ||||||
Prednisone (Winpred, generics) | 1 mg 5 mg 50 mg | Tablet | 0.1214 0.0220 0.1735 | Initiate at 10 to 20 mg/day, increase by 5 mg/day per week until stable remission (target 1 mg/kg/day) | 0.04 to 0.11 | 16 to 40 |
Alternate dosing: Initiate at 60 to 80 mg/day, then taper after improvement | 0.26 to 0.35 | 96 to 127 | ||||
Immunosuppressive drugs | ||||||
Azathioprine | 50 mg | Tablet | 0.2405 | Initiate at 50 mg/day for 5 days, and then, escalate to 2.5 to 3 mg/kg/dayd | 0.95 | 348 |
Cyclophosphamide (Procytox, generics) | 25 mg 50 mg | Tablet | 0.3545 0.4773 | 500 mg/m2 to 1,000 mg/m2 every month for 6 months | NA | Cost per course: 52 to 103 |
200 mg 500 mg 1,000 mg 2,000 mg | IV vial, powder for injection | Not available 97.8000b 177.2700b 326.0000b | NA | Cost per course: 1,064 to 1,956 | ||
Cyclosporine (Neoral, generic) | 10 mg 25 mg 50 mg 100 mg | Capsule | 0.6770 0.7870 1.5350 3.0720 | Starting dose: 100 mg twice daily Target dose: 5 mg/kg to 6 mg/kg per day in 2 divided doses, adjust for serum trough level of 75 ng/mL to 150 ng/mL | First year: 20.44 to 24.62 Subsequent years: 20.46 to 24.56 | First year: 7,462 to 8,985 Subsequent years: 7,469 to 8,964 |
Methotrexate (generic, Metoject SC) | 2.5 mg 10 mg | Tablet | 0.5027 2.7067c | 10 mg to 20 mg / week, orally or SC | 2.01 to 4.02 | 105 to 209 |
10 mg/mL 25 mg/mL 15 mg/0.3 mL 17.5 mg/0.35 20 mg/0.4 mL 22.5 mg/0.45 mL 25 mg/0.5 mL 10 mg/0.2 mL 12.5 mg/0.25 mL | Prefilled syringe for SC use | 8.9200 12.5000 24.5700 24.0000 26.2500 26.2500 29.2500 29.6400 31.2000 | 8.92 to 26.25 | 464 to 1,365 | ||
Mycophenolate mofetil (Cellcept, generics) | 250 mg | Capsule | 0.3712 | 1,000 mg twice daily | 2.97 | 1,084 |
500 mg | Tablet | 0.7423 | 2.98 | 1,087 | ||
Mycophenolate sodium (Myfortic, generics) | 180 mg 360 mg | Enteric Tablet | 0.9989 1.9977 | 720 mg twice dailye | 7.99 | 2,917 |
Tacrolimus (generics) | 0.5 mg 1 mg 5 mg | Capsule | 1.4775 1.8900 9.4650 | 3 to 5 mg per dayf | 5.69 to 9.48 | 2,075 to 3,459 |
Cholinesterase inhibitors | ||||||
Pyridostigmine (Mestinon) | 60 mg | Tablet | 0.4009 | 60 mg to 120 mg every 3 hours to 8 hours while awake | 1.20 | 439 |
180 mg | SR tablet | 1.2280 | 3.69 | 1,348 | ||
Blood products | ||||||
IV immunoglobulin | 8,277 per exacerbationg | |||||
Plasma exchange | 6,084 per exacerbationg | |||||
Note: All prices are from the Ontario Drug Benefit Formulary (accessed December 2022), unless otherwise indicated, and do not include dispensing fees.17 All cost calculations for drugs with weight or body surface area-based dosing was calculated using the mean body surface area of 1.8 m2 and mass of 65 kg. Drug wastage was included. Dosing is from a study by Farmakidis et al., unless otherwise indicated.42
Note: This table has not been copy-edited.
aOntario Drug Benefit Formulary Exceptional Access Program (accessed December 6, 2023).17
bDeltaPA database wholesale prices (accessed December 6, 2023).43
cSaskatchewan Drug Plan formulary (accessed December 6, 2023).44
dAzathioprine dosing was obtained from published literature.45
eMyfortic product monograph, dose indicated for the prophylaxis of organ rejection in patients receiving allogeneic renal transplants, confirmed with clinical experts as also use for generalized myasthenia gravis.46
fTacrolimus dose reported for patients with therapy-refractory myasthenia gravis in Clinical features, pathogenesis, and treatment of myasthenia gravis: a supplement to the Guidelines of the German Neurologic Society.47
gThe cost of IV immunoglobulin and plasma exchange was for rescue therapy and included cost of blood products and hospital costs in 2014 Canadian dollars.30 Due to confidential prices of IV immunoglobulin products and plasma exchange, chronic treatment cost is unknown.
Note that this table has not been copy-edited.
Note that this appendix has not been copy-edited.
Description | Yes/no | Comments |
|---|---|---|
Population is relevant, with no critical intervention missing, and no relevant outcome missing | No | Refer to limitation “The full Health Canada population was not modelled” and “Relevant comparators were excluded.” |
Model has been adequately programmed and has sufficient face validity | No | Refer to limitation “Poor modelling practices were employed” and “The model structure does not adequately reflect generalized myasthenia gravis in clinical practice.” |
Model structure is adequate for decision problem | No | Refer to limitation “The model structure does not adequately reflect generalized myasthenia gravis in clinical practice.” |
Data incorporation into the model has been done adequately (e.g., parameters for probabilistic analysis) | No | Refer to limitation “Poor modelling practices were employed.” |
Parameter and structural uncertainty were adequately assessed; analyses were adequate to inform the decision problem | No | Refer to limitation, “Poor modelling practices were employed.” Additionally, CADTH was unable to test several key model assumptions. For example, CADTH was unable to test uncertainty around the assumption of annual MG-ADL increase and explore alternative scenarios of disease progression such as patient improvement. |
The submission was well organized and complete; the information was easy to locate (clear and transparent reporting; technical documentation available in enough details) | No | Explanation of model structure was inadequate. For example, it was difficult to understand the movement of individuals through health states. CADTH also requested additional information to understand the differences between inputs in the CHAMPION trial CSR and inputs used in the PE model. |
CSR = Clinical Study Report; PE = pharmacoeconomic.
Note that this appendix has not been copy-edited.
ITC = indirect treatment comparison, MG = myasthenia gravis; MG-ADL = Myasthenia Gravis Activities of Daily Living.
Source: Sponsor’s pharmacoeconomic submission.1
Table 11: Proportion of Patients in Each MG-ADL Score Change Category at Month 6 and Mean Change in MG-ADL Score Within Each Category
MG-ADL total score change category | Proportion of patients in each category | Mean change in MG-ADL score within each category | ||
|---|---|---|---|---|
Ravulizumab plus usual care | Usual care | Ravulizumab plus usual care | Usual care | |
< 3 | ||||% | ||||% | ||||| | ||||| |
≥ 3 | ||||% | ||||% | || | || |
≥ 4 | ||||% | ||||% | || | || |
≥ 5 | ||||% | ||||% | || | || |
≥ 6 | ||||% | |||% | || | || |
≥ 7 | ||||% | |||% | || | || |
≥ 8 | |||% | |||% | ||||| | ||||| |
MG-ADL = Myasthenia Gravis Activities of Daily Living.
Source: Sponsor’s pharmacoeconomic submission.1
Table 12: Estimated Annual Clinical Event Rate by MG-ADL Total Score
MG-ADL total score | Annual clinical event rate |
|---|---|
0 to 4 | |||| |
4 to 7 | |||| |
7 to 10 | |||| |
10 to 13 | |||| |
13 to 16 | |||| |
16 to 19 | |||| |
19 to 22 | |||| |
22 + | |||| |
MG-ADL = Myasthenia Gravis Activities of Daily Living.
Source: Sponsor’s pharmacoeconomic model.1
Note that this appendix has not been copy-edited.
Table 13: Disaggregated Summary of CADTH’s Economic Evaluation Results
Parameter | Ravulizumab plus usual care | Usual care | Incremental |
|---|---|---|---|
Discounted LYs | |||
Total | 23.74 | 23.74 | 0.00 |
Discounted QALYs | |||
Total | 14.38 | 13.69 | 0.69 |
By health state | |||
Score change < 3 | 5.34 | 8.39 | –3.05 |
Score change 3 to 4 | 1.84 | 1.33 | 0.52 |
Score change 4 to 5 | 1.53 | 1.30 | 0.23 |
Score change 5 to 6 | 1.64 | 1.38 | 0.26 |
Score change 6 to 7 | 1.66 | 0.71 | 0.94 |
Score change 7 to 8 | 0.75 | 0.39 | 0.36 |
Score change ≥ 8 | 1.62 | 0.20 | 1.42 |
Discounted costs ($) | |||
Total | 3,001,396 | 412,533 | 2,588,864 |
Ravulizumab drug acquisition | 2,622,278 | 0 | 2,622,278 |
Ravulizumab infusion | 11,528 | 0 | 11,528 |
Meningococcal vaccination | 348 | 0 | 348 |
Usual care drug acquisition | 38,993 | 38,992 | 1 |
Routine care | 25,105 | 25,105 | 0 |
Clinical event management | 302,981 | 348,257 | –45,277 |
AE management | 164 | 178 | –14 |
ICER ($/QALY gained) | 3,715,084 | ||
AE = adverse events ICER = incremental cost-effectiveness ratio; LY = life-year; QALY = quality-adjusted life-year.
Source: Sponsor’s pharmacoeconomic submission.1
Table 14: Summary of the Scenario Analyses of the CADTH Base-Case Results
Stepped analysis | Drug | Total costs ($) | Total QALYs | ICER ($/QALYs) |
|---|---|---|---|---|
CADTH base case | Usual care | 412,533 | 13.69 | Reference |
Ravulizumab plus usual care | 3,001,396 | 14.38 | 3,715,084 | |
CADTH scenario analysis - 0% discontinuation | Usual care | 406,220 | 13.69 | Reference |
Ravulizumab plus usual care | 6,628,565 | 14.38 | 8,934,882 |
ICER = incremental cost-effectiveness ratio; QALY = quality-adjusted life-year.
Note that this appendix has not been copy-edited.
Table 15: Summary of Key Take-Aways
Key take-aways of the BIA |
|---|
|
The sponsor submitted a BIA48 estimating the incremental budget impact of reimbursing ravulizumab for patients aged 18 years and older with anti-AChR antibody–positive gMG. The BIA was undertaken from the perspective of the Canadian public drug plans over a 3-year time horizon (2024 to 2026), and the sponsor’s pan-Canadian estimates reflect the aggregated results from provincial budgets (excluding Quebec). Key inputs to the BIA are documented in Table 16.
The sponsor estimated the number of eligible patients for ravulizumab treatment using an epidemiologic approach with data obtained from published sources and sponsor’s clinical experts.49-56 The sponsor adopted a crude MG prevalence rate of 361 per 1,000,000 persons and narrowed the population to those who have gMG, identified by an MGFA clinical classification of class II to class IV and an MG-ADL total score of 6 or more (Table 16).49 Comparators included eculizumab and usual care. Usual care consisted of a basket of cholinesterase inhibitors (pyridostigmine) and immunosuppressive therapies (azathioprine, mycophenolate mofetil, cyclosporine, tacrolimus, methotrexate, cyclophosphamide, prednisone, methylprednisolone) and the proportion of patients on each drug was derived using the CHAMPION trial.2 Drug dosages were obtained from published literature for usual care and from product monographs for ravulizumab and eculizumab.3,12-16,26 Ravulizumab costs were estimated by calculating a weighed annual cost using the weight distribution from the CHAMPION trial and were incorporated as first year costs (which included loading doses and vaccination costs) and subsequent year costs (which included maintenance dose). The sponsor estimated an annual discontinuation rate of |||% for ravulizumab and eculizumab based on a retrospective chart review of eculizumab patients in the US.48 The sponsor assumed no patients on usual care discontinue treatment.
Table 16: Summary of Key Model Parameters
Parameter | Sponsor’s estimate (reported as year 1/year 2/year 3 if appropriate) |
|---|---|
Target population | |
MG prevalence | 361 in 1,000,00049 |
Proportion of adult patients with MG | 97.0%49 |
Proportion of gMG (MGFA class II to class IV) in MG | |
Proportion of anti-AChR antibody–positive gMG in gMG | |
Proportion of with MG-ADL score of 6 or more | 17.0%56 |
Proportion of treated population | 100.0%a |
Proportion of patients with gMG with an MGFA class II to class IV and an MG-ADL total score ≥ 6 who require treatment | 80.0%a |
Proportion of patients covered by public drug programs | 100.0%a |
Number of patients eligible for drug under review | 917 / 928 / 938 |
Discontinuation rate of ravulizumab and eculizumab (annual) | |||%1 |
Discontinuation rate of usual care | 0% |
Market uptake (3 years) | |
Uptake (reference scenario) Usual care Eculizumab | 95% / 95% / 95% 5% / 5% / 5% |
Uptake (new drug scenario) Ravulizumab Usual care Eculizumab | 10% / 20% / 30% 86% / 78% / 69% 4% / 2% / 1% |
Cost of treatment (per patient) | |
Cost of treatment over year Ravulizumab – new patientsb, c Ravulizumab – existing patientsb, c Usual care Eculizumab – new patientsd Eculizumab – existing patientsd | $582,386 $535,375 $1,297 $736,190 $696,138 |
Cost of vaccination (per patient) | |
Meningococcal vaccinatione | $348 |
AChR = acetylcholine receptor; gMG = generalized myasthenia gravis; MG = myasthenia gravis; MG-ADL = Myasthenia Gravis Activities of Daily Living; MGFA = Myasthenia Gravis Foundation of America.
aSponsor’s assumption.
bThe weighted cost of ravulizumab treatment costs was estimated using the weight distribution observed in the CHAMPION trial (10.30% of individuals between 40 kg to 60 kg, 53.70% of individuals between 60 kg and 100 kg, and 36.00% of individuals equal or greater than 100 kg).2
cThe treatment cost of new patients included the cost of a loading dose and 6.3 maintenance doses, while the treatment cost of existing patients included the cost of 6.5 maintenance doses.
dThe treatment cost of new patients included the cost of a loading dose and 24 maintenance doses, while the treatment cost of existing patients included the cost of 26 maintenance doses.
eThe vaccination cost comprised 2 doses of Bexsero (multicomponent Meningococcal B vaccine), and 1 dose of Nimenrix (meningococcal polysaccharide groups A, C, Y, and W-135 conjugate vaccine), as well as a vaccination administration cost per dose.
The sponsor estimated the net 3-year budget impact of introducing ravulizumab for treatment of patients aged 18 years and older with AChR antibody–positive gMG to be $251,298,334 (year 1 = $47,426,640; year 2 = $81,520,705; year 3 = $122,350,989).
CADTH identified several key limitations to the sponsor’s analysis that have notable implications on the results of the BIA:
The full Health Canada population was not modelled. The sponsor-submitted analyses reflected the budget impact of reimbursing ravulizumab plus usual care among patients with MGFA class II to IV and an MG-ADL total score of greater than or equal to 6, aligned with the CHAMPION trial inclusion criteria.2 The CHAMPION trial excluded patients with MGFA class I and V as well as patents with an MG-ADL total score of 5 or less.2 Given that the ravulizumab Health Canada indication for gMG is not restricted based on MGFA class or MG-ADL total score, the modelled population is narrower than the Health Canada indication.3 Clinical expert feedback received by CADTH noted that while class I patients are not severe, they can be refractory and that ravulizumab would ideally be considered for use in this group. Further, regarding use in class V patients, experts noted that ravulizumab could be useful.
In CADTH reanalysis, the eligible population was not restricted by MGFA class and MG-ADL score, aligning with the full Health Canada indicated population. CADTH explored the budget impact of reimbursing ravulizumab in the CHAMPION trial population (i.e., MGFA class II to class IV and an MG-ADL total score ≥ 6) in a scenario analysis.
The BIA excluded relevant comparators. The sponsor’s BIA excluded rituximab, IVIg, and PLEX as relevant comparators. Clinical experts consulted for this review noted that these treatments are used off-label to treat patients who are refractory to other treatments. The experts noted that should ravulizumab be reimbursed for gMG, it would be expected to displace rituximab and IVIg or PLEX, further indicating their appropriateness as comparators to ravulizumab.
CADTH could not address this limitation. The sponsor’s submitted budget impact model was not flexible to include additional comparators or estimate the budget impact in subpopulation of refractory patients (i.e., patients who may use rituximab, IVIg, or PLEX). As such, the estimated budget impact is highly uncertain.
Treatment costs of ravulizumab and eculizumab were underestimated. In the submitted BIA model, the treatment cost of ravulizumab and eculizumab included drug acquisition cost, and meningococcal vaccination cost. In the economic evaluation, the sponsor included the cost of usual care when estimating the treatment cost of ravulizumab and eculizumab. Given ravulizumab and eculizumab are add-on therapies to usual care, the cost of usual care should be included when estimating the total treatment costs for ravulizumab and eculizumab.
In CADTH reanalysis, the cost of usual care was included in estimating the treatment cost of ravulizumab and eculizumab.
The percentage patients who require treatment was underestimated. The sponsor restricted the eligible population to those who require treatment, which was assumed to be 80% of patients based on assumption. However, the clinical experts consulted for this review noted that the proportion of patients with gMG with an MGFA class II to class IV and an MG-ADL total score of 6 or more who require treatment may have been an underestimate by the sponsor given that nearly all symptomatic patients are expected to be treated.
In CADTH reanalysis, the proportion of patients who require treatment was assumed to be 100%.
The reference scenario market share of eculizumab may be overestimated. The sponsor estimated that eculizumab has a market share of 5% at baseline. However, clinical experts noted that only 1%2% of patients with gMG are receiving eculizumab in clinical practice.
In reanalysis, CADTH assumed that eculizumab has a market share of 1.5% a baseline. CADTH maintained the sponsor’s assumptions on market share displacement.
MG prevalence is uncertain. The sponsor adopted an MG prevalence of 361 in 1,000,000 based on data acquired from 4 Swedish health registers.49 The clinical experts noted that the MG prevalence in Canada may be lower than the estimate based on a Swedish population and may be in the range of 100 to 200 per million (1 in 5 to 10,000).
In scenario analyses, CADTH explored the impact of assuming MG prevalence of 100 per million and
The public coverage rate is uncertain. The sponsor assumed a public coverage rate of 100%.1 Although the sponsor assumed a public coverage rate of 100%, the clinical experts noted that some patients less than 60 years may not be eligible for public coverage and the proportion of patients covered by public drug programs may be closer to 80%.
In scenario analyses, CADTH explored the impact of assuming a public coverage rate of 80%.
The market share of ravulizumab may be underestimated. The sponsor assumed ravulizumab has a market share of 10%, 20% and 30% in year 1, year 2, and year 3, respectively. The clinical experts consulted for this review noted the market share of ravulizumab may be in the range of 15% by year 3 should ravulizumab be publicly reimbursed in only the refractory population. Given the sponsor’s budget impact model was missing comparators relevant to the refractory population and did not include the flexibility to estimate the budget impact for subpopulation of the total population, CADTH could not estimate the budget impact in the refractory population. The budget impact for the total and refractory population is highly uncertain.
CADTH explored uncertainty in the uptake of ravulizumab in scenario analyses by increasing the uptake of ravulizumab by 25% (12.50%, 25% and 37.50% in year 1, year 2, and year 3).
CADTH corrected the sponsor’s base case by removing vaccination administration costs, which are not relevant to the public drug payer perspective. CADTH revised the sponsor’s base case by aligning the reimbursed population with the Health Canada indication, including the cost of usual care to the treatment cost of ravulizumab and eculizumab, assuming all symptomatic AChR antibody–positive patients require treatment and aligning the market share of eculizumab with clinical expert expectations (Table 17).
Table 17: CADTH Revisions to the Submitted Budget Impact Analysis
Stepped analysis | Sponsor’s value or assumption | CADTH value or assumption |
|---|---|---|
Corrections to sponsor’s base case | ||
1. Vaccination administration costs | Included | Excluded |
Changes to derive the CADTH base case | ||
1. Proportion of gMG (MGFA class II - IV) in MG | 76.0% | 100% |
2. Proportion of with MG-ADL score of ≥ 6 | 17.0% | 100% |
3. Cost of usual care in addition to ravulizumab and eculizumab | Not included | Included |
4. Percentage of patients who require treatment | 80% | 100% |
5. Market shares Reference scenario (same for all years) | Usual care: 95.00% Eculizumab: 5.00% | Usual care: 98.50% Eculizumab: 1.50% |
New drug scenario (year 1/year 2/year 3) | Ravulizumab: 10.00% / 20.00% / 30.00% Usual care: 86.00% / 78.00% / 69.00% Eculizumab: 4.00% / 2.00% / 1.00% | Ravulizumab: 10.00% / 20.00% / 30.00% Usual care: 89.93% / 79.96% / 69.98% Eculizumab: 0.07% / 0.04% / 0.02% |
CADTH base case | Reanalysis 1 + 2 + 3 + 4 + 5 | |
MG = Myasthenia Gravis; MG-ADL = Myasthenia Gravis Activities of Daily Living; MGFA = Myasthenia Gravis Foundation of America.
The results of the CADTH step-wise reanalysis are presented in summary format in Table 18 and a more detailed breakdown is presented in Table 19. In the CADTH reanalysis, the 3-year budget impact of reimbursing ravulizumab plus usual care from the public drug plan perspective for adults with AChR antibody–positive gMG increased to $2,647,080,911 (year 1 = $436,033,428; year 2 = $878,648,052; year 3 = $1,332,399,432). The estimated budget impact decreased to $342,002,854 over 3 years when eligible population was restricted by MGFA class and MG-ADL score to align with the CHAMPION trial. However, the budget impact excluded relevant comparators, especially for the population refractory to other treatments, and is highly uncertain.
Table 18: Summary of the CADTH Reanalyses of the BIA
Stepped analysis | 3-year total |
|---|---|
Submitted base case | $251,298,334 |
Sponsor’s base case, corrected | $251,290,273 |
CADTH reanalysis 1 | $330,645,096 |
CADTH reanalysis 2 | $1,478,178,077 |
CADTH reanalysis 3 | $251,894,716 |
CADTH reanalysis 4 | $314,112,841 |
CADTH reanalysis 5 | $272,957,497 |
CADTH base case | $2,647,080,911 |
BIA = budget impact analysis.
Table 19: Detailed Breakdown of the CADTH Reanalyses of the BIA
Stepped analysis | Scenario | Year 0 (current situation) | Year 1 | Year 2 | Year 3 | 3-year total |
|---|---|---|---|---|---|---|
Submitted base case | Reference | $29,872,201 | $30,290,652 | $30,653,308 | $31,015,964 | $91,959,924 |
New drug | $29,872,201 | $77,717,292 | $112,174,013 | $153,366,953 | $343,258,258 | |
Budget impact | $0 | $47,426,640 | $81,520,705 | $122,350,989 | $251,298,334 | |
CADTH base case | Reference | $94,810,943 | $96,123,581 | $97,274,140 | $98,424,698 | $291,822,419 |
New drug | $94,810,943 | $532,157,009 | $975,922,191 | $1,430,824,130 | $2,938,903,331 | |
Budget impact | $0 | $436,033,428 | $878,648,052 | $1,332,399,432 | $2,647,080,911 | |
CADTH scenario analysis: Reimbursement in patients aligned with CHAMPION trial population | Reference | $12,249,574 | $12,419,167 | $12,567,819 | $12,716,471 | $37,703,457 |
New drug | $12,249,574 | $68,754,686 | $126,089,147 | $184,862,478 | $379,706,310 | |
Budget impact | $0 | $56,335,519 | $113,521,328 | $172,146,007 | $342,002,854 | |
CADTH scenario analysis: MG prevalence 100 per million | Reference | $26,263,419 | $26,627,031 | $26,945,745 | $27,264,459 | $80,837,235 |
New drug | $26,263,419 | $147,411,914 | $270,338,557 | $396,350,175 | $814,100,646 | |
Budget impact | $0 | $120,784,883 | $243,392,812 | $369,085,715 | $733,263,410 | |
CADTH scenario analysis: Public coverage rate of 80% | Reference | $75,848,754 | $76,898,865 | $77,819,312 | $78,739,759 | $233,457,935 |
New drug | $75,848,754 | $425,725,607 | $780,737,753 | $1,144,659,304 | $2,351,122,665 | |
Budget impact | $0 | $348,826,742 | $702,918,441 | $1,065,919,546 | $2,117,664,729 | |
CADTH scenario analysis: market share of ravulizumab is 25% higher per year | Reference | $94,810,943 | $96,123,581 | $97,274,140 | $98,424,698 | $291,822,419 |
New drug | $94,810,943 | $661,339,817 | $1,216,446,198 | $1,785,273,861 | $3,663,059,876 | |
Budget impact | $0 | $565,216,236 | $1,119,172,058 | $1,686,849,162 | $3,371,237,456 | |
CADTH scenario analysis: Include administration costs | Reference | $95,245,288 | $96,564,263 | $97,720,096 | $98,875,928 | $293,160,287 |
New drug | $95,245,288 | $533,442,110 | $978,277,411 | $1,434,278,668 | $2,945,998,189 | |
Budget impact | $0 | $436,877,847 | $880,557,315 | $1,335,402,739 | $2,652,837,901 | |
CADTH scenario analysis: 97% price reduction | Reference | $94,810,943 | $96,123,581 | $97,274,140 | $98,424,698 | $291,822,419 |
New drug | $94,810,943 | $31,201,904 | $42,969,781 | $55,846,460 | $130,018,145 | |
Budget impact | $0 | –$64,921,677 | –$54,304,359 | –$42,578,239 | –$161,804,275 |
BIA = budget impact analysis; MG = Myasthenia Gravis; MG-ADL = Myasthenia Gravis Activities of Daily Living; MGFA = Myasthenia Gravis Foundation of America.
CADTH also conducted additional scenario analyses to address remaining uncertainty, using the CADTH base case. Results are provided in Table 19. The scenario analyses included:
assuming ravulizumab is only reimbursed in patients with MGFA class II-IV and MG-ADL score
assuming MG prevalence of 100 per million
assuming public coverage rate of 80%
assuming that the uptake of ravulizumab is 25% higher per year than assumed by the sponsor
including complement inhibitor administration costs
assuming that the price of ravulizumab is reduced by 97%.
Muscular Dystrophy Canada is registered with CADTH.
Muscular Dystrophy Canada (MDC) supports people affected by muscular dystrophies and related muscle diseases. Together, these rare conditions are referred to as “neuromuscular disorders.” Neuromuscular disorders are a group of diseases that weaken the body’s muscles. The causes, symptoms, age of onset, severity and progression vary depending on the exact diagnosis and the individual.
Since 1954, Muscular Dystrophy Canada has been the leading health charity and voice of the neuromuscular community in Canada. MDC is a sophisticated network of informed professionals, service specialists, and volunteers who deeply understand neuromuscular disorders. MDC represents 30,896 Canadians impacted by neuromuscular disorders including 12,047 persons with neuromuscular disorders, and 19,155 family members/caregivers.
MDC’s mission is to enhance the lives of those impacted by neuromuscular disorders by continually working to provide ongoing support and resources while relentlessly searching for a cure through well-funded research.
MDC has a full spectrum of programs, services, and supports for the thousands of Canadians of all ages living with a neuromuscular disorder that include: systems navigation, education and knowledge translation, access to financial supports for critical life-changing equipment and services to improve quality of life, peer-to-peer networking, emotional support, evidence- based information for new treatments, medical advances, and clinical trials and advocacy. Plus, MDC invests in transformative research to work towards more answers, therapies, and hopefully, potential cures.
Funded by Canadians from coast to coast, our investment in the research community is advancing the development of important new treatments. Our programs and services play a critical role in informing and supporting members of the neuromuscular community by funding equipment to improve daily life; hosting family and caregiver retreats; providing emotional and educational support; and with providing access to vital resources and support systems. Our advocacy efforts focus on enhancing public policy at all levels of government to bring about positive change. We are currently working to bring new treatments and trials to Canada. Advances in medicine have resulted in individuals with neuromuscular disorders living longer but not necessarily living better. As their disorder progresses and changes, so do their needs and financial strains.
Our desire is to provide support through all stages of disease progression by providing the tools, resources and support individuals need to live a full and rich life.
Myasthenia gravis (MG) is one of the neuromuscular disorders that falls under MDC’s umbrella. There is expected to be approximately 10, 000 patients affected by MG in Canada.
MG is a rare and chronic autoimmune disease in which autoantibodies attack specific proteins in the neuromuscular junction, resulting in muscle weakness. Many patients develop generalized MG resulting in severe fatigable muscle weakness with difficulties in facial expression, speech, swallowing, and mobility.
Muscular Dystrophy Canada has Neuromuscular Service Support Staff in all provinces across Canada. As part of the System Navigation Program, the Neuromuscular Service Support Staff provide front-line support to thousands of Canadians affected by neuromuscular disorders. The program operates on collaboration and patient engagement principles. Neuromuscular Service Support Staff work directly with patients and family members to identify non-medical needs (e.g., housing, transportation, access to equipment, information on clinical trials) and provide them access to the right resources in a personalized customized manner. Neuromuscular Service Support Staff work in partnership with patients and their families to address barriers, network and make connections with others in the community, share education materials and resources, enhance life skills and self-coping strategies, embrace inclusion and ultimately provide supports to help positively improve the overall well-being and quality of life of the patient and their family members.
The Neuromuscular Service Support Staff identified and contacted adults living with Myasthenia gravis to participate in a healthcare experience survey (available in English and French) and semi- structured virtual (phone, Zoom) interviews. We shared the survey with members by e-blasts, personalized invites and Canadian patient online groups (i.e., Canadian Snowflakes -Myasthenia Gravis Support Group).
The following submission reflects data from a total of 149 individuals impacted by MG, 29 of which demonstrated confirmed diagnosis of AChR antibody-positive generalized Myasthenia Gravis through clinical reports. The respondents included 57 males and 92 females between ages 23 to 75 from all provinces in Canada, with 9 responses from Quebec.
We sought the opinion on the value of having Ravulizumab (Ultomiris) approved for use in Canada for those affected by AChR antibody-positive generalized Myasthenia Gravis. A qualitative descriptive approach, employing the technique of constant comparison, was used to produce a thematic analysis. We have included patients’ quotes to ensure their voices are captured in this report and to provide context for quantitative elements. A report capturing all patient comments is also available for review.
In response to the question posed in the MDC survey: "Can you describe how Myasthenia gravis impacts your day-to-day life and quality of life? Are there any aspects of Myasthenia gravis that are more important to control than others?" - the following 5 key themes were identified (in order of frequently reported): 1- significant impact on fatigue, energy levels and quality of sleep; 2- significant impact on mobility and strength; 3- significant impact on independence and social participation; 4- significant impact on eyes/vision; 5-significant impact on speech and swallowing. The below quotes from individuals affected by Myasthenia gravis highlight that the impact of MG is not purely physical, but that the condition impacts mental health, quality of life and the wellbeing of families.
“I experience fatigue daily and cannot function.”
“I need to slow down and recover. I avoid social interactions as I get very tired.”
“I work full time, but I work from home. If I overdo things I will need to rest. It could hit me the same day or the next day. I may be fatigued a good part of the day.”
“Tire very easily. Do 10 minutes of housework then have to rest. Some days l can do this and some days I can’t do anything.”
“Have trouble sleeping. Meds caused me to go on insulin, so my blood sugars skyrocketed and that gave me neuropathy and the pain and numbness. Am too tired for social life.”
“The ALWAYS PRESENT indescribable fatigue is the worst.”
“I typically require a 15- or 20-minute rest after having a shower!”
“I lack stamina.”
“Most days I have to sleep for a couple of hours in the afternoon due to fatigue.”
“I have to plan my day so I have energy to do anything. If I have a shower then I am out of energy and strength for the rest of the day.”
“Can only walk around one city block Bake one batch of cookies and arms are heavy and tired Can only do one chore before having to rest.”
“The most bothersome aspects of gMG are: reduced endurance to complete project without many rests; early fatigue of eye muscles for reading.”
“You are expected to function as a person who can give 100% of energy at any given moment. But you can’t with MG.”
“I can't walk without a walker, I can't stand for any length of time, can't sleep at night because it aches.”
“Going anywhere with more than 3 stairs is impossible.”
“A lot of my weakness is on my left side, causing difficulty getting into the passenger side of a vehicle, inability to lift things or dropping them and sometimes falls.”
“Chronic muscle weakness”
“Breathing is often affected, limiting my ability to walk, climb stairs, or bend over to tie my shoes.”
“I do not have sufficient strength for many activities which require repetitive movement (most sports many household chores, computer work, writing, reading, talking).”
“Some days it is difficult to just walk. Muscles seem be tense and not allowing me to do things.”
“I cannot walk down the street without falling. I cannot hold up a blow dryer to dry my hair.”
“I had to give up driving and independence. Now have to rely on my son and grandson to do things for me.”
“I am unable to work, need to rest frequently, need help with activities like washing my hair, etc.”
“Standing to cook or do dishes takes 3x longer. On bad/weak days I feel like a prisoner in my own house.”
“Because I was only diagnosed a year ago, I’m still learning about how MG affects me and what my limitations are. I’m worried that my husband and I will never be able to travel again.”
“I have symptoms every day. Difficulty completing activities of daily living. No longer able to work. Can only drive short distances. I miss out on socializing due to mobility and fatigued.”
“I need to take Mestinon daily and have to try hard to avoid a Myasthenia flare up. Prior to diagnosis, I have spent long weeks and even months quite disabled and dependent on others for care. It affects social life, professional life, and all areas of my life.”
“I wake up short of breath at night, I choke on food and my own saliva. I feel like I can’t be left alone.”
“Not able to do dishes and laundry and everyday normal tasks. some days it's not bad and then it will go for a couple of days and then it will flare up.”
“Not being able to do anything with others. I can't get in a vehicle and can't lift my legs. I can't go out to see other people. I did have a scooter, but it got burned up and I don't have a scooter anymore.”
“Visiting with friends and family tire me out. Can’t get to church. Can’t go to play darts. It is very depressing knowing that there is no cure and that this is my way of life now.”
“I am very restricted in my abilities and require assistance. Loss of independence, social interaction, and employment.”
“MG forced me into retiring earlier than I would have otherwise.”
“Loss of independence is awful. I can’t do activities on spur of moment, have to be carefully planned and at times have to decline, have had to drop out of some activities.”
“It has tremendously affected my independence. I cannot drive. They took my license away. I don't have a scooter. Not being able to be with my friends or anything. The only way to see people is for them to come to me.”
“I can no longer work. This impacts my finances and how I spend money.”
“I am a very independent person and now I am scared to be alone for long periods of time.”
“I can't drive at night or for long periods, I can't clean my own house, I can't cook for long periods of time, etc.”
“I have to have someone drive me to any appointments out of time. I also have to have help with some ADLs.”
“One of the first symptoms of MG is a defect in eyesight and then a weakness in muscle, if one is lucky and MG is diagnosed at an early age (I was 24 and I think that I was fortunate that I had knowledgeable physicians) that the shock of the diagnosis is easier to accept.”
“It affects my eyes the most.”
“I was diagnosed 34 years ago with MG and have been on Mestinon for the whole time. I do get fatigued when I am in a situation that requires a lot of speaking (work, meetings) in my mouth, face, throat, and eyes. I have to get lots of rest and prepare ahead of time with my Mestinon so it will be controlled.”
“I frequently go cross eyed.”
“Ptosis, difficulty chewing and swallowing. Multiple acute hospitalizations.”
“Double vision interferes with reading.”
“I have double vision and just could not do ordinary everyday things that others take for granted, like drive myself for coffee!”
“Left eye was most bothersome but I can still see out of it.”
“Double vision is the most bothersome as it affects my ability to drive, read,etc.”
“I tend to choke on my own saliva and food.”
“The ability to swallow and have my facial muscles work properly is very important as it affects my daily life at work. When they don’t, it’s very frustrating because you cannot take too much Mestinon to correct it. It’s time released and dosage is every 4 hours.”
“Choking on food or saliva interferes with breathing as diaphragm muscles become weak.”
“I think people not understanding or even knowing about it as it’s one of those invisible illnesses. I’m not in a wheelchair and outwardly appear to be “fine”, but it’s what’s going on inside is something only I know unless I start slurring my speech. When that happens, people who don’t know me or anything about me having MG, might think I’m intoxicated.
In response to the question posed by MDC: “How are you managing MG with currently available treatments or therapies. For each therapy what are the benefits seen, and side effects experienced? Do you have any difficulties accessing these treatments?” - the following 3 key themes emerged: experience with prednisone, but minimal benefits; experience with mestinon; experience with thymectomy.
The below quotes from individuals affected by MG highlight that while supportive treatments has contributed to positive health outcomes, there remains significant concerns over long-term/sustained benefits.
“If I don't take my medication, I'd be dead. No side effects except I was on prednisone and getting depressed and putting on weight. It's a bad pill to be on so the doctor cut it back.”
“I am on prednisone, but I don't like it. I can't afford it and have to choose between food and medication and it causes diabetes which is my main concern.”
“I have been on prednisone for four years. It took several rounds of IVIGs waiting for Mycophenolate to work.”
“I was put on prednisone increased to 50 mg. Not helping mg. Put my blood sugars out of wak. So had to go on insulin. That gave me neuropathy with nerve pain and numbness. Put on cellcept 500 mg 2 times a day while slowly decreasing prednisone. And increased cellcept to 750. So now I am taking mestinon 30 mg 3 times a day, cellcept 750 2times a day, and prednisone 2.5 mg every other day. My swallowing is somewhat better as it doesn’t happen as often. I still get cross eyed and still get tired easily.”
“Mestinon did not work for me. I receive Rituximab infusions and I have been on Prednisone for about 3 1/2 years. I have made changes to my diet and have not gained weight on Prednisone.”
“I feel that the Mestinon drug has been the most beneficial in terms of managing my symptoms well. However, the side effects are annoying at times. Diarrhea, nausea, jumpy legs. Those are a daily occurrence for me, and I have to allow built in time to deal with that. That’s the only treatment I’ve ever been prescribed.”
“Mestinon started with 30 mg 3 times a day. 45 minutes before meals. Not helping much. Increased to 60 mg 3 times a day. That gave me cramps in my feet and hands. Reduced back to 30 mg 3 times a day.”
“Mestinon helps but not always on bad days. Currently starting to use a Cubii in hopes of gaining leg strength. Bought a walker to use outside of the house which helps.”
“Huperzine A - like Mestinon, doesn’t seem to work for me. I will still often take one if I’m going out, just in case it’s making a difference so subtle that I’m not noticing.”
“I have only been offered Mestinon. It helps all the time but it doesn't help as much when I am in a more severe flare up.”
“Once I was diagnosed in 1988, I immediately had a thymectomy. It didn’t change my symptoms as far as I could tell, and it was a painful recovery.”
“Thymectomy - had thymus w/thymoma removed via median sternotomy in May. I think this is what gave me a vast improvement in my eyes. I no longer have double vision and my eyes close properly at night so they’re not always dry and watery. I don’t even wear swim goggles to bed anymore. My eyes also aren’t so light sensitive anymore. This is the only improvement I’ve experienced since thymectomy, but I’m hopeful that there are more coming.”
“Prednisone- huge negative psychological symptoms with psychosis Azathioprine- not effective IVIG- my savior. Every two weeks.”
“Treatments have been many and honestly too overwhelming. It’s a guessing game i.e. trial and error. Seronegative patients not eligible for any of the advanced treatments. Not fair. I get IVIG which means I am stuck at the hospital for up to 7 hours 2 days every 3 weeks. Immune suppressants caused frequent infections and pneumonia; prednisone caused a vascular necrosis in both hips resulting in fractures.”
“Standard treatments such as IVIG has helped. Equally important are the dietary, relaxation, exercise and physio routines I practice daily.”
“Mestinon - does not seem to have an effect on my symptoms. Azothiaprine- started taking in January of 2022. I don’t think it’s made any improvement for me. IVIG - used last Christmas at the time of my diagnosis because my symptoms were mostly bulbar, and neurologist was concerned that I could be headed towards crisis. IVIG worked for me, and I felt so much better… for a couple of weeks Also used before my thymectomy to make sure that I was as strong as possible before surgery.”
Patients identified three aspects of MG that they want better controlled, these included: decreased intensity of exacerbations and side effects, maintenance of independence, and less serious hospital admissions. Patients stated that they would be willing to deal with side effects of medications if these aspects of MG were better controlled. Patients stated that current medications seem to be decreasing the number of exacerbations but not the impact on overall quality of life.
Desires for treatment include:
“Sometimes I have trouble swallowing the pills and they get stuck in my throat. I would love them to be more of a capsule that floats when you swallow rather than a chalky pill. If it gets stuck it’s awful because it starts to dissolve, and the taste is just awful!”
“Something that could take away the aches and the pain all over especially in my legs. I can't sleep in a bed. I sleep in a remote-controlled chair.”
“I would like a treatment that does not lead to diabetes.”
“Target treatment for MG instead of general immunosuppression.”
“I would like to see more options available. I would also like to see costs of infusions to be lowered.”
“I would love to have a drug that I could take once a day in the morning and that could be time released over 24 hours. Right now, I have to make sure I take my Mestinon 30 minutes prior to eating and that can be tricky sometimes to schedule when I’m not in control of that or at work.”
“A treatment that lasts long and doesn’t take so long to work.”
“I would like a treatment that addresses all symptoms without creating side effects that are sometimes worse than the symptoms would certainly be nice, though. Remission for all.”
“More muscle strength and stamina. Would love to be able to go for a walk.”
“I would like for there to be treatments that don't cause other serious problems like compromised immunity, cancer, etc.”
“Less side effects, something that would improve quality of life and regain our independence.”
When considered therapy, patients, families and caregiver consider mode of delivery, side effects, time, frequency of treatments, convenience (e.g., travel time to clinic, parking) and impact on finances (cost). It was consistently noted that low invasiveness, limiting hospital visits, safety/low side effects and low costs were highly valued when considering a treatment. Not requiring the hospital to administer the drug. Having the ability to take medication at home would simplify the process by allowing persons affected to have more control. A treatment that has continuous presence in the system may provide with a more constant response Less time in hospitals was indicated as highly valued and welcomed especially in the era of COVID-19. If families were faced with the decision to choose a different therapy, they would consider potential side effects reported by the “new” versus “current” therapy. They would consider the ease of accessibility of treatment and whether private/provincial insurance would cover costs.
Only one adult indicated they received the drug under review as part of the clinical trial. In short, the individual shared:
“I have found Ultomiris very helpful. I am not in remission, but my symptoms are improving and for a longer period of time.”
100% reported that they did have diagnostic testing completed with at least a blood test; but many also had single fiber electromyography to confirm diagnosis. 50% of respondents reported significant difficulty getting diagnosed. The vast majority found it to be a cost-effective but lengthy process. They noted delays, misdiagnoses and costs incurred. For those who received a diagnosis as part of a crisis or medical event/hospitalization, the diagnosis was reported as smooth (25%).
Below are quotes that further highlight the experiences of patients and caregivers with the testing.
“Easy access to testing. I had headaches from the testing, and it started with a twitch with my left eye. My doctor sent me to the hospital and the doctors confirmed I had MG. It was covered by the province (Ontario). I had to pay for gas to go to the hospital.”
“It was easy to get to the testing. I didn't feel any challenges. Everything went smoothly with the testing. OHIP covered the cost of the testing.”
“It took a bit of time and a few visits to my GP, walk-in clinics and ER departments before we came up with the possibility of MG. Eventually, my GP ordered one simple blood test that showed that I am ACHR+. He then sent out a referral request for a neurologist.”
“I was very sick at the time of diagnosis, so I had no issues. My neurologist had no doubts it was MG. Confirmed by SNFEMG.”
“I was rushed to hospital because I couldn't breathe. I had just had a triple bypass and valve replaced two weeks prior was only five minutes away from hospital and diagnosed within the hour of arrival I believe they did blood tests. OHIP payed then but now living in BC. treatment started right away.”
“I visited 3 doctors in two different countries before getting properly diagnosed. It took 4 years.”
“I had to pay for the blood test which gets sent to the University of British Columbia. I was tested for the generalized form of MG which I do not have. It was ruled out and I was told I do not have MG. Because I was not tested for MuSK MG, I was hospitalized for 3 months. The blood test that was $50.00 was missed and so the hospital stay was very costly to the system.”
“I went to the doctor and then was sent on a huge runaround of doctors. I was sent to a dentist as they thought it was TMJ! After a few months I finally was sent to a neurologist, but he wouldn’t even consider me because I was only 24. My family doctor was amazing and even sat with me in his office and had me describe my symptoms while he flipped through his medical book. He was the one who thought I had MG. Finally, after a few months of my above symptoms happening to me daily, I woke up one morning and I could not swallow my own saliva! I sounded drunk, couldn’t speak, move my tongue, etc. that I headed to Emergency, and they dealt with it asap. There they tested me with the tension test and came to a diagnosis.”
“I have had a very hard time getting diagnosed. There has not been agreement among the physicians who have assessed me. Some say I have MuSK MG based on clinical assessment and also positive MuSK antibodies. The physician who I was sent to did not believe I have MG because I did not have a positive SFEMG. She did not believe my symptoms were caused by MG and she did not consider my antibodies for MuSK relevant at all. It has been in reliably frustrating dealing with physicians like her. I am very relieved to have a neurologist now who understands there can be quite a diversity in MG presentations.”
“Testing done through academic centre so no cost to me. Sfemg done at first referral visit and positive, so diagnosis was made that day. Took almost 2 years after that to finally get positive blood results. All genetic testing and muscle biopsy done in that time.”
“Pretty much right after that, I was scheduled for a thymectomy within a month and put on Mestinon. In Canada, there was no payment for the surgery, but the drugs were expensive. Fortunately, I had good benefits coverage at work. I haven’t had coverage for the past 8 years so that’s out of pocket for me and costly. Mestinon monthly is about $125 which is not a lot I realize but it is on top of everything else. It’s another expense for sure but a vital one.”
“Was tested at one neurologist who sent me for bloodwork at a cost of $145.00. He then sent me to a neuromuscular specialist who was 60 miles away. He tested me and had more blood work done. The bloodwork was sent from Toronto to Vancouver. It took 4 months for the results. Then Covid came along and had difficulty getting a follow up appointment. So after 18 months I was diagnosed with generalized mg. Yes, I had to pay for travelling and parking. It was an extra cost out of my budget.”
“I saw one neurologist who sent me for a blood test because he thought I may have myasthenia gravis, but he said it came back negative. He thought I may have had a stroke. That was negative. I had double vision, weak muscles, I couldn’t without falling down, so I was covered in bruises. The doctor more or less told me it was all in my head. I was falling at work, I was falling downstairs and I had to lift my leg from the gas pedal in my car to the break with my hand because it would not move by itself. I went back to see this doctor and showed him how I was covered in bruises, and he sent me to see someone at the University Hospital. There the Neurologist give me a test, and the doctor said you have MG. All in all it took two years. Most frustrating.”
“I think the CDEC should know that people who live with Myasthenia Gravis are desperate to get their lives back. They should know that some people currently live with MG have literally tried every treatment currently available and all have either never worked to begin with or have stopped working. I think they should know that we deserve as many options as possible.”
To maintain the objectivity and credibility of the CADTH reimbursement review process, all participants in the drug review processes must disclose any real, potential, or perceived conflicts of interest. This Patient Group Conflict of Interest Declaration is required for participation. Declarations made do not negate or preclude the use of the patient group input. CADTH may contact your group with further questions, as needed.
Did you receive help from outside your patient group to complete this submission?
No.
Did you receive help from outside your patient group to collect or analyze data used in this submission?
No.
List any companies or organizations that have provided your group with financial payment over the past two years AND who may have direct or indirect interest in the drug under review.
Table 1: Financial Disclosures for Muscular Dystrophy Canada
Company | $0 to 5,000 | $5,001 to 10,000 | $10,001 to 50,000 | In Excess of $50,000 |
|---|---|---|---|---|
Alexion Pharma Canada | — | — | — | X* |
*$90, 000 – all for educational initiatives: Roundtables Webinars Walk4MD community event
The Neuromuscular Disease Network for Canada (NMD4C) is the new pan-Canadian network that brings together the country’s leading clinical, scientific, technical, and patient expertise to improve care, research, and collaboration in neuromuscular disease.
Launched in January 2020 with funding from the Canadian Institutes of Health Research (CIHR) and Muscular Dystrophy Canada (MDC), NMD4C builds on existing national initiatives such as the Canadian Neuromuscular Disease Registry (CNDR), the Canadian Pediatric Neuromuscular Group (CPNG), and the former neuromuscular network CAN-NMD. The mission of NMD4C is to improve the care, research and treatment of NMDs for all Canadians. Its vision is to be a comprehensive, inclusive, open and enduring network through which Canadian stakeholders can share expertise and data and collaborate on joint activities and research for the benefit of Canadian patients.
The network’s goals are to:
Formalize and sustain a network of NMD stakeholders united around a cohesive three-year work plan.
Train and educate the next generation of NMD stakeholders (clinicians, scientists, and patient advocates).
Raise the standard of care for NMD and access to therapies across Canada.
Strengthen biomedical and clinical infrastructure to build research capacity in Canada.
Clinicians with experience treating generalized Myasthenia Gravis (gMG), including clinicians with experience with ravulizumab, eculizumab and efgartigimod were asked to contribute to this submission. These expert clinicians contribute to the knowledge of gMG and its treatments and are involved in clinical and observational research, clinical guidelines development and health technology assessment. The clinicians contributing herein are familiar with the data from clinical trials on treatments for gMG, and, specifically, for ravulizumab.
The current mainstay of therapies for myasthenia gravis (MG) includes supportive therapies, symptomatic treatments and disease modifying strategies.
Given that myasthenia gravis can affect critical bulbar and respiratory functions and result in severe deficits leading to life-threatening manifestations, critical care and ventilatory support is an important part of acute MG management during times of MG crisis. Similarly, involvement of allied health partners includes optimizing safe swallowing strategies which can include appropriate temporary use of feeding tubes as well as engagement of physical and occupational therapists to maximize mobility and daily functioning given the fatigable weakness which can occur due to neuromuscular junction defect.
Symptomatic therapy in MG is primarily restricted to the use of pyridostigmine, which is administered either as immediate or controlled release formulations. Immediate release pyridostigmine at a dose of 60 mg orally dosed 3-4 times a day can often provide transient relief of fatigable weakness for patients, including weakness of the limbs, neck, bulbar and ocular weakness manifesting as diplopia and ptosis. The effects are usually transient however, and often have a limited sustained effect over time, however, most patients continue to use this treatment even if using immunotherapy due to the extra benefits in function they can receive with treatment. Controlled release formulations at 180 mg orally can also be used, and are sometimes used prior to bedtime in addition to daytime immediate release treatments to mitigate early morning symptoms if they occur.
One disease modifying therapy for patients with acetylcholine receptor positive MG includes thymectomy in younger patients (<60), as the thymus gland is implicated in the pathogenesis in patients with these patients regardless of thymus pathology. In patients with thymic tumours and MG, thymectomy is a critical part of MG management, however, these patients often require ongoing immunotherapy. In addition to thymectomy, immunotherapy in MG also includes management of acute MG worsening or crisis which can involve bulbar or respiratory failure. Treatment with intravenous immunoglobulin (IVIG) and plasmapheresis are often used in these situations due to their rapid and prominent effects which can help avoid or recover from crisis and prevent mortality which can occur if these manifestations remain untreated. IVIG is usually used at a dose of 2 grams / kilogram given over 2-5 days. The challenge with these therapies outside the setting of crisis or imminent crisis is that the effects are usually transient, lasting a few weeks, and additional ongoing immunotherapy is often needed.
Chronic immunotherapeutic strategies including steroid treatment, usually prednisone at doses up to 1 mg / kg as well as steroid sparing agents which include azathioprine at doses of 2-3 mg/kg/day and mycophenolate mofetil at doses up to 3g/day or myfortic as an alternative up to 1080 mg bid. Other steroid sparing agents used include methotrexate up to 25 mg / week and less commonly tacrolimus, although this medication is used with more frequency in other countries (Japan). All of these steroid sparing therapies have slow onset of action, (in some cases greater than 1 year), combination therapy with steroids is common. Because of the limited options, partial response, potential for adverse effects and lack of tolerance, maintenance IVIG or plasmapheresis is sometimes used to keep patients stable and out of the hospital and intensive care. In recent years, eculizumab, a complement inhibitor, has been available for use for refractory myasthenia gravis as a regular infusion. In addition, rituximab, a B-cell inhibitor, can have efficacy in patients with MG, particularly in MuSK antibody positive myasthenia as well as cases of refractory acetylcholine receptor antibody positive MG. In certain refractory cases, additional immunotherapy with cyclophosphamide or cyclosporine can be considered for treatment.
Goals of therapy are to minimize morbidity and mortality from MG, keep patients out of hospital and improve quality of life. As many patients with MG are young who are caring for families and actively working, maintaining these vocational activities are also important outcome for patients. Although most patients with MG can recover even from severe MG crisis, prevention of repeated attacks or prolonged, untreated or partially treated MG and is also a goal of treatment as it can result in fixed and difficult to subsequently manage weakness.
Considering the treatment goals, please describe goals (needs) that are not being met by currently available treatments.
There are currently limited options for patients with very active disease, who are refractory to the currently available treatments in Canada. This includes limited response to the traditional immunotherapies including steroid and steroid sparing agents as well as thymectomy. In addition, these treatment strategies can take time to take effect, in the order of months for many of the oral medications and years in the case of thymectomy. During this time, patients can have significant limitations which can affect their function, quality of life and even be life threatening if the disease is particularly active. In many instances, patients who have previously been stable on one or a combination of immunotherapies can have a disease flare which then requires a change in therapy which can take equally long to gain control of, or an increase in doses of steroids which again can be associated with significant adverse effects.
IVIG and plasmapheresis can be challenging for patients to tolerate or practically continue indefinitely due to venous access issues, need for frequent treatments or cumulative side effects and risks with each infusion or exchange. In addition, some patients may not respond to these therapies or lose the effect of therapy over time. Rituximab also has limited effect in many cases of MG and additional concerns over significantly sustained immunosuppression (6 months+), which can be considered in cases of refractory MG, however, with limited high-level evidence of efficacy in non-MuSK MG. Eculizumab is now available for treatment of refractory acetylcholine receptor MG, however multiple other additional therapies need to be tried prior to considering this treatment strategy. During this time patients can remain not optimized and with significant disability. As such, a treatment need is additional safe and effective treatments both for refractory and non-refractory but active MG patients.
Other unmet needs include therapies with improved side effect profiles. Steroids are often needed to maintain control of the disease early and late in the course of illness but cumulative steroid doses over time in particular can have prominent acute and long term sequalae. Certain co-morbidities limit the use of steroids i.e. diabetes, a history of hematological abnormalities or thrombotic changes in the case of IVIG and liver dysfunction in the case of azathioprine or other steroid sparing agents. Other unmet needs include agents for seronegative patients or patients with thymoma, which are often excluded from trials and treatment indications, as well as treatments for pediatric patients who are similarly excluded.
How would the drug under review fit into the current treatment paradigm?
As a long-acting inhibitor of the complement cascade (infusion every 2 months) Ravulizumab acts downstream by preventing the formation of terminal attack complex, the final effector of the immune system. In this way it will complement other treatments that act upstream in the immune mediated damage.
Conversely, concomitant use of plasma exchange or intravenous immunoglobulin may reduce the efficacy of Ravulizumab by reducing its concentrations.
Ravulizumab addresses the underlying disease process by inhibiting the immune mediated damage to the neuromuscular junction rather than being a symptomatic treatment. A few other MG treatments that address the underlying drug mechanisms (i.e. Eculizumab, Efgartigimod) have been approved by the FDA.
Ravulizumab is likely to be used as a third line therapy in patients with MG. It is likely to be an add on therapy to other immunosuppressive agents in refractory disease. In the Champion trial 90% patients were on at least one immunosuppressive agent; approximately 50% were on two or more.
Ravulizumab may also be considered in those rare patients who are intolerant to other immunomodulatory treatments.
Ravulizumab is unlikely to cause a shift in the routine treatment paradigms for MG. It is likely to affect the treatment paradigm of severe and refractory MG patients who are not responsive to first- and second-line therapies and require chronic IVIg infusions or plasma exchanges.
It would be appropriate to recommend that MG patients try other treatments before initiating Ravulizumab, which requires periodic intravenous infusions on an indefinite basis, is unlikely to induce long term disease remission, is likely to be expensive, will likely not be available in smaller cities/centers, and requires extensive expertise.
Ravulizumab will be contraindicated in patients who have had previous infection with N. Meningitidis.
Which patients would be best suited for treatment with the drug under review? Which patients would be least suitable for treatment with the drug under review?
Adult patients who are seropositive for acetylcholine receptor antibodies and have generalized MG. This comprises the most common MG patient population.
There is no data on efficacy of Ravulizumab for a minority population of MG patients – including those under 18 years of age, those who had thymectomy within a year, those with thymic carcinoma, pregnant or breastfeeding women, patients with Anti-MuSK or anti- LRP4 antibodies or seronegative patients. These patients would not be a candidate for treatment with Ravulizumab.
Patients that have severe and refractory seropositive MG that has not responded to oral immunosuppressive therapies and are dependent on periodic plasma exchanges or IVIg therapy in the long term.
Candidate patients for Ravulizumab therapy would have MGFA Class III (moderately severe) or Class IV (severe) disease with significant long-term impairment of activities of daily living – chewing and swallowing difficulties, slurred speech, shortness of breath at rest or on mild exertion, difficulty getting out of chair and/or lifting their arms above the shoulders.
Patients who are best suited for Ravulizumab will be identified clinically by their treating neurologists who have extensive expertise in managing MG. They should be well versed with the medical history of the candidate patient, including drugs that have been previously tried for MG and their response.
The diagnosis must have been confirmed clinically and supported by confirmatory laboratory tests before treatment with Ravulizumab. Futhermore, in patients with confirmed MG, it needs to be confirmed that thesymptoms are actually due to MG and not due to a concurrent disease.
Serum acetylcholine receptor antibodies. A CT chest is needed to rule out thymoma/thymic carcinoma, as these patients were excluded from the trial.
Diagnostic delay and/or misdiagnosis of MG is not uncommon. The diagnosis of MG maybe delayed for about 2 to 3 years, particularly in patients with milder symptoms at onset.
There are no clinical or laboratory indicators that may help to identify patients who are likely to respond to Ravulizumab. It is likely that those who have previously responded to short acting complement inhibitors (i.e. Soliris) would also respond to Ravulizumab.
What outcomes are used to determine whether a patient is responding to treatment in clinical practice? How often should treatment response be assessed?
Given the severe nature of MG in many instances, outcomes which can determine a patient’s response to therapy can include increased survival, avoidance of emergency room visits or hospital admissions or admissions to the intensive care unit. Need for rescue as well as maintenance therapy with IVIG and plasmapheresis can also serve as a measure of success of a new treatment if this is being used frequently or on an ongoing basis. Reduction in the dose and/or duration of concomitant steroids has been used as an outcome measure due to the significant morbidity associated with steroids.
Other outcomes in MG are aimed at measuring the level of fatigable weakness in bulbar, limb, axial, respiratory and ocular spheres, which can occur through patient or physician reported outcomes. A physician-based test which has been used in previous clinical and trial efforts is the quantitative myasthenia gravis scale (QMGS), which measures the level of fatigability of skeletal muscle largely using timed tests. A patient reported outcome which measure limitations in the activities of daily living specific to MG includes the MG-ADL, which has been used frequently now as a primary outcome in new MG trials. Outcomes which use a combination of physician and patient reported items include the myasthenia gravis impairment index (MGII) as well as the MG composite (MGC), also used in trials and are validated. Quality of life scales specific to MG including the MG-QOL-15, which is a health-related quality of life measure also used as an outcome to assess the effectiveness of MG treatments.
These outcome measures are used not only in clinical trials but are also used commonly in clinical practice to follow patients with MG. Magnitudes of clinically significant and relevant responses to treatment have been established for all of the outcome measures mentioned. Although there may be some inter-rater variability in the physician reported outcomes, many of the fatigability assessments are timed tests, which are less vulnerable to physician-based variance. The frequency with which the assessments occur depend on the specific clinical scenario – for acute MG worsening, assessments happen very frequently, including daily assessments until the patient is clinically stable. In the setting of chronic MG trials, assessment frequency varies, and can occur very few weeks. Follow-up frequency in the clinic is also variable depending on the patient severity, and in generally stable patients occurring on average every 3-6 months, during which the outcome measures are assessed.
What factors should be considered when deciding to discontinue treatment with the drug under review?
When deciding to discontinue treatment, one should consider the amount of clinical improvement or response, the duration of time spent in clinically stable state, the adverse events associated with the treatments and the inconvenience associated with the therapy. Appropriate clinical response is aimed at reaching full remission or minimal manifestations of fatigability in relation to MG with the minimal amount of medications used for therapy. In certain clinical scenarios with very active MG, higher levels of disease activity can be considered depending on the individual patient scenario.
In the case of ravalizumab, the onset of action has been stated to be rapid starting at the one week mark and after ongoing treatments every 8 weeks, treatment was sustained for a period of 26 weeks. Given that this was the time internal during which other interventions were kept unchanged in the trial, it is recommended that patients continue with treatment for at least this duration. After response and during this period of treatment with ravalizumab, patients should discuss with their treating neurologist additional management strategies which could include reduction of other MG medications. After the 26 weeks mark, additional discussions on discontinuation of ravalizumab can occur if clinical response is adequate, and with remission or minimal manifestations in the ideal setting. This strategy should be undertaken with the recognition that worsening of MG could occur with decrease or discontinuation of any previously instituted or add on therapies, and with the specific strategy individualized to each patient.
As per the top line trial data to date, the drug appeared to be well tolerated when compared to placebo, however, close attention should be taken during the treatment with ravalizumab, specifically monitoring for tolerance and potential infections which would warrant discontinuation. It is noted that withdrawals were not elevated in the ravalizumab arm in the trial compared to placebo during the study period. Similarly, convenience and tolerance of the infusion by the patients should be taken into account when deciding to discontinue ravalizumab, which is expected to be favorable for patients compared to other more frequent infusions such as eculizumab.
What settings are appropriate for treatment with [drug under review]? Is a specialist required to diagnose, treat, and monitor patients who might receive [drug under review]?
Ravalizumab has been shown to be safely and effectively infused either in specialty clinics or at home currently in other comparable jurisdictions to Canada including the United States. This is similarly recommended for administration in Canada as are other similar immunotherapies. Important items to consider for the infusion team include appropriate nursing experience managing intravenous medications, familiarity with venous access issues and potential adverse effects which could occur during the treatments and how to manage these effectively. In addition, the team should have a general knowledge of MG, including recognition of worsening of strength requiring review of treatment strategies by the treating medical team and physician as well as the potential for concerning bulbar and respiratory failure requiring urgent assessment and treatment. Because of the complexity of the clinical and treatment aspects of MG as well as the fact that it is a rare disease, it is recommended that neurology specialists manage patients with MG, including the diagnostic, treatment and monitoring of patients receiving ravalizumab. Given the added complexity of MG management in recent years including the use of new immunotherapies, it is recommended that neurology specialists managing ravalizumab have expertise in the assessment and management of MG.
The results from the ongoing open label phase of the study will provide further information on the long term usage of Ravalizumab.
To maintain the objectivity and credibility of the CADTH drug review programs, all participants in the drug review processes must disclose any real, potential, or perceived conflicts of interest. This conflict of interest declaration is required for participation.
Declarations made do not negate or preclude the use of the clinician group input. CADTH may contact your group with further questions, as needed. Please refer to the Procedures for CADTH Drug Reimbursement Reviews (section 6.3) for further details.
Did you receive help from outside your clinician group to complete this submission?
No. This submission was completed exclusively by NMD4C.
Did you receive help from outside your clinician group to collect or analyze any information used in this submission?
No. Information and data was analyzed with researchers and clinicians associated with NMD4C.
List any companies or organizations that have provided your group with financial payment over the past two years AND who may have direct or indirect interest in the drug under review.
Name: Hans Katzberg
Position: Associate Professor of Medicine, University of Toronto
Date: 17-11-2022
Table 2: COI Declaration for The Neuromuscular Disease Network for Canada — Clinician 1
Company | $0 to 5,000 | $5,001 to 10,000 | $10,001 to 50,000 | In Excess of $50,000 |
|---|---|---|---|---|
Akcea | X | — | — | — |
Alnylam | X | — | — | — |
UCB | — | X | — | — |
CSL Behring | — | X | — | — |
Alexion | — | X | — | — |
Argenx | X | — | — | — |
Octapharma | X | — | — | — |
Roche | X | — | — | — |
Merz | — | X | — | — |
Dyne | X | — | — | — |
Terumo | X | — | — | — |
Name: Zaeem A. Siddiqi
Position: Professor of Medicine/Neurology, University of Alberta
Date: 17-11-2022
Table 3: COI Declaration for The Neuromuscular Disease Network for Canada — Clinician 2
Company | $0 to 5,000 | $5,001 to 10,000 | $10,001 to 50,000 | In Excess of $50,000 |
|---|---|---|---|---|
Akcea | X | — | — | — |
Alnylam | X | — | — | — |
UCB | X | — | — | — |
CSL Behring | X | — | — | — |
Alexion | X | — | — | — |
Argenx | X | — | — | — |
Octapharma | X | — | — | — |
Takeda | X | — | — | — |
Name: Vera Bril
Position: Professor of Neurology, University of Toronto
Date: 18/11/2022
Table 4: COI Declaration for The Neuromuscular Disease Network for Canada — Clinician 3
Company | $0 to 5,000 | $5,001 to 10,000 | $10,001 to 50,000 | In Excess of $50,000 |
|---|---|---|---|---|
UCB | — | X | — | — |
Alnylam | X | — | — | — |
CSL Behring | — | X | — | — |
Takeda | X | — | — | — |
AZ-Alexion | X | — | — | — |
Argenx | X | — | — | — |
Roche | X | — | — | — |
Akcea | X | — | — | — |
Ionis | X | — | — | — |
Sanofi | X | — | — | — |
Janssen | X | — | — | — |
Name: Elizabeth Pringle
Position: Associate Professor, Faculty of Medicine, University of Ottawa
Date: 18/11/2022
Table 5: COI Declaration for The Neuromuscular Disease Network for Canada — Clinician 4
Company | $0 to 5,000 | $5,001 to 10,000 | $10,001 to 50,000 | In Excess of $50,000 |
|---|---|---|---|---|
No COI | — | — | — | — |
ISSN: 2563-6596
Disclaimer: The information in this document is intended to help Canadian health care decision-makers, health care professionals, health systems leaders, and policy-makers make well-informed decisions and thereby improve the quality of health care services. While patients and others may access this document, the document is made available for informational purposes only and no representations or warranties are made with respect to its fitness for any particular purpose. The information in this document should not be used as a substitute for professional medical advice or as a substitute for the application of clinical judgment in respect of the care of a particular patient or other professional judgment in any decision-making process. The Canadian Agency for Drugs and Technologies in Health (CADTH) does not endorse any information, drugs, therapies, treatments, products, processes, or services.
While care has been taken to ensure that the information prepared by CADTH in this document is accurate, complete, and up-to-date as at the applicable date the material was first published by CADTH, CADTH does not make any guarantees to that effect. CADTH does not guarantee and is not responsible for the quality, currency, propriety, accuracy, or reasonableness of any statements, information, or conclusions contained in any third-party materials used in preparing this document. The views and opinions of third parties published in this document do not necessarily state or reflect those of CADTH.
CADTH is not responsible for any errors, omissions, injury, loss, or damage arising from or relating to the use (or misuse) of any information, statements, or conclusions contained in or implied by the contents of this document or any of the source materials.
This document may contain links to third-party websites. CADTH does not have control over the content of such sites. Use of third-party sites is governed by the third-party website owners’ own terms and conditions set out for such sites. CADTH does not make any guarantee with respect to any information contained on such third-party sites and CADTH is not responsible for any injury, loss, or damage suffered as a result of using such third-party sites. CADTH has no responsibility for the collection, use, and disclosure of personal information by third-party sites.
Subject to the aforementioned limitations, the views expressed herein are those of CADTH and do not necessarily represent the views of Canada’s federal, provincial, or territorial governments or any third party supplier of information.
This document is prepared and intended for use in the context of the Canadian health care system. The use of this document outside of Canada is done so at the user’s own risk.
This disclaimer and any questions or matters of any nature arising from or relating to the content or use (or misuse) of this document will be governed by and interpreted in accordance with the laws of the Province of Ontario and the laws of Canada applicable therein, and all proceedings shall be subject to the exclusive jurisdiction of the courts of the Province of Ontario, Canada.
The copyright and other intellectual property rights in this document are owned by CADTH and its licensors. These rights are protected by the Canadian Copyright Act and other national and international laws and agreements. Users are permitted to make copies of this document for non-commercial purposes only, provided it is not modified when reproduced and appropriate credit is given to CADTH and its licensors.
Redactions: Confidential information in this document may be redacted at the request of the sponsor in accordance with the CADTH Drug Reimbursement Review Confidentiality Guidelines
Stakeholder Input: The views expressed in each submission are those of the submitting organization or individual; not necessarily the views of CADTH or of other organizations. As such, they are independent of CADTH and do not necessarily represent or reflect the view of CADTH. No endorsement by CADTH is intended or should be inferred. By filing with CADTH, the submitting organization or individual agrees to the full disclosure of the information. CADTH does not edit the content of the submissions.
CADTH does use reasonable care to prevent disclosure of personal information in posted material; however, it is ultimately the submitter’s responsibility to ensure no identifying personal information or personal health information is included in the submission. The name of the submitting organization or individual and all conflict of interest information are included in the submission; however, the name of the author, including the name of an individual patient or caregiver submitting the patient input, are not posted.
Accessibility: CADTH is committed to treating people with disabilities in a way that respects their dignity and independence, supports them in accessing material in a timely manner, and provides a robust feedback process to support continuous improvement. All materials prepared by CADTH are available in an accessible format. Where materials provided to CADTH by a submitting organization or individual are not available in an accessible format, CADTH will provide a summary document upon request. More details on CADTH’s accessibility policies can be found here.
About CADTH: CADTH is an independent, not-for-profit organization responsible for providing Canada’s health care decision-makers with objective evidence to help make informed decisions about the optimal use of drugs, medical devices, diagnostics, and procedures in our health care system.
Funding: CADTH receives funding from Canada’s federal, provincial, and territorial governments, with the exception of Quebec.